地下供水管线渗漏的探地雷达模拟探测试验分析
Simulated detection experiments of underground water supply pipeline leakage based on ground penetrating radar
通讯作者: 王洪华(1986-),男,副教授,主要从事探地雷达正反演理论及应用研究工作。Email:wanghonghua5@163.com
第一作者:
责任编辑: 叶佩
收稿日期: 2022-05-17 修回日期: 2023-04-7
| 基金资助: |
|
Received: 2022-05-17 Revised: 2023-04-7
地下供水管线作为城市基础设施的重要部分,由于年久失修、腐蚀、施工质量不佳等原因,常常发生管线渗漏及破裂问题。利用无损检测方法准确识别地下供水管线的渗漏位置及影响区域,对其早期预警和后续治理具有重要意义。本文利用探地雷达(GPR)方法对地下供水管线渗漏进行模拟探测试验与分析。首先,基于GeoStudio软件中的SEEP/W模块建立砂土中供水管线渗漏模型并计算其不同渗漏位置和渗漏时间的体积含水量,然后根据Topp公式和电导率与含水量的经验公式构建相应供水管线渗漏的相对介电常数和电导率模型。在此基础上,利用时域有限差分法(FDTD)对不同渗漏位置、不同渗漏时间的供水管线渗漏模型进行GPR模拟探测,并对模拟结果进行分析。最后,开展供水管线渗漏的GPR物理模拟探测试验,并与数值模拟结果进行对比分析。结果表明:与供水管线未渗漏的双曲线绕射波相比,上侧渗漏时,渗漏时间越长,渗漏区域越大,双曲线绕射波出现时间越早,能量越弱,其顶点水平位置保持不变;下侧渗漏时,出现2条分别向上和向下移动的双曲线绕射波,且渗漏时间越长,2条双曲线绕射波能量越弱且越分离,其顶点水平位置保持不变;左(右)侧渗漏时,渗漏时间越长,双曲线绕射波能量越弱,且顶点越向左(右)上偏移。模拟探测研究成果可为供水管线渗漏问题的早期预警和后期治理提供较为可靠的依据。
关键词:
As an important part of urban infrastructure, underground water supply pipelines frequently leak or break due to disrepair,corrosion,and poor construction quality.It is of great significance to identify the leakage locations and affected areas of underground water supply pipelines using a non-destructive testing method for the purpose of early warning and follow-up treatment.This study conducted simulated detection experiments and analysis of underground water supply pipeline leakage using the ground penetrating radar (GPR) method.Firstly,this study established the leakage model of water supply pipelines in sandy soil using the SEEP/W module in the GeoStudio software and calculated the volumetric water content of different leakage locations and leakage times.Then,it established the relative dielectric constant and conductivity model for water supply pipeline leakage using the Topp equation and the empirical equations of electrical conductivity and water content.On this basis,this study conducted the GPR simulated detection of the water supply pipeline leakage model with different leakage locations and different leakage times using the finite difference time domain (FDTD) method and analyzed the simulation results.Finally,this study conducted the GPR-based physical simulated detection tests of water supply pipeline leakage and compared the test results with the numerical simulation results.The study results are as follows.Compared with the hyperbolic diffracted wave of the water supply pipelines without leakage,that of the water supply pipelines with leakage at different locations are stated as follows.For the leakage on the upper side,a longer leakage area and a larger leakage area were associated with an earlier present hyperbolic diffracted wave with weaker energy,while the horizontal position of the hyperbolic diffracted wave's vertex remained unchanged.For the leakage on the lower side,two hyperbolic diffracted waves appeared,which moved up and down individually.Moreover,a longer leakage time corresponded to two weaker and more separated hyperbolic diffracted waves.The horizontal positions of the hyperbolic diffracted waves' vertexes remained unchanged.For the leakage on the left (right) side,a longer leakage time was associated with a weaker hyperbolic diffracted wave,whose vertex deviated farther toward the upper left (right).The simulated detection results of this study can provide a reliable basis for early warning and follow-up treatment of water supply pipeline leakage.
Keywords:
本文引用格式
王欲成, 王洪华, 苏鹏锦, 龚俊波, 席宇何.
WANG Yu-Cheng, WANG Hong-Hua, SU Peng-Jin, GONG Jun-Bo, XI Yu-He.
0 引言
探地雷达(ground penetrating radar,GPR)作为一种以介质电磁性质差异为基础的无损检测方法,已被广泛应用于地下管线检测中,在精准确定管线位置、大小和材质等方面取得了良好效果[3⇓⇓-6]。近年来,GPR开始应用于地下供水管线渗漏问题探测中,与常规的水压计量分析,听音检漏处理等方法相比[7⇓-9],具有探测效率高、分辨率高等优点,得到广泛关注。Lai等[10]开展了砂土材料中金属供水管线和PVC供水管线上侧渗漏的GPR物理模拟探测试验,并分析了2种管线渗漏不同时间的GPR响应特征;Lau等[11]根据供水管线的双曲线特征,提出了一种渗漏区域介质的电磁波速度估计方法,并通过物理模拟试验得出了供水管线渗漏影响区域的电磁波速度比无渗漏要小5%~10%的结论;李方震等[12]利用分频技术及道积分技术对供水管线渗漏的GPR探测数据进行了属性分析,结果能有效地反映供水管线的渗漏程度;胡群芳等[13]通过三维物理探测实验,对比了供水管线渗漏前后的GPR剖面,得出了GPR方法可有效圈定供水管线渗漏区域和渗漏位置的结论;宋涵韬等[14]利用基于时域有限差分法(finite difference time domain,FDTD)计算了砂土地层中管线无充填物、充填油污及油污渗漏条件下的GPR剖面,并对结果进行了详细分析;沈宇鹏等[15]使用GPRMax软件对不同深度、管径、渗漏位置的供水管线渗漏进行了模拟探测,为GPR探测地下供水管线渗漏工程问题提出识别依据。因此,采用无损检测方法对地下供水管线渗漏问题进行探测,显得尤为必要。
本文在上述研究基础上,首先采用GeoStudio软件建立不同渗漏方向、渗漏时间下的地下供水管线渗漏模型,并结合FDTD对不同模型进行GPR模拟与分析,然后与物理模型的探测结果对比,分析不同渗漏位置和渗漏时间的渗漏区域GPR剖面特征,为供水管线渗漏位置及渗漏区域的精确定位提供技术支撑。
1 基于GeoStudio软件构建地下供水管线渗漏模型
1)新建项目选择SEEP/W模块,分析类型选择稳态分析并设置其控制、收敛性、时间等参数,如最大迭代次数、允许值、导数改变量、平衡求解器、潜在渗流参数值、开始时间与结束时间。
2)设置模型的空间大小,网格间距等参数及供水管线的位置和大小。
3)设置模型的材料参数,如孔隙水压力、体积含水量函数、饱和土水含量、渗透系数函数、饱和渗透率与残余水饱和度,并将构建的材料指定给供水管线周围区域。
4)输入模型的边界条件,分别构建类型为压力水土、单位流量及水头的3个边界条件并设置相应的参数。将类型为压力水土的边界条件指定给模型底边界。输入渗漏位置。
5)输入SEEP/W瞬态分析选择SEEP/W分析为父项,并设置其控制、收敛性及时间等参数,在收敛性选项窗口中设置最大迭代次数、允许值、导数改变量、平衡求解器与潜在渗流参数值;在时间选项窗口中设置持续时间、步长和步长增长方式等参数值。在瞬态分析下,将4)中类型为单位流量的边界条件指定给管线、类型为水头的边界条件指定给渗漏位置。
6)绘制网格属性,设置全局单元尺寸。
7)模型求解,获得模型中不同渗漏时间的体积含水量分布。
根据上述方法,利用GeoStudio软件建立了一个大小为6.0 m×6.0 m的地下供水管线渗漏模型。供水管线如图1中白色圆圈所示,管线圆心位置为(3.0 m,3.75 m),直径为0.5 m。背景介质为砂土,其饱和土水含量为0.35 m3/m3,饱和渗透率为5×10-5 m/s,残余水饱和度为0.001 m3/m3,孔隙水压力为0.01 kPa。当渗漏位置分别位于上侧(3.0 m,4.0 m)、下侧(3.0 m,3.5 m)、左侧(2.75 m,3.75 m)和右侧(3.25 m,3.75 m)时,渗漏2 h后砂土的体积含水量分别如图1a~d所示。由图可见,当供水管线渗漏时,形成的渗漏区由两部分组成,一部分为管线周边的饱和区域,另一部分为外围的非饱和区域;渗漏位置不同,形成的渗漏区域形态各不相同。
图1
图1
供水管线不同位置渗漏2.0 h后的体积含水量分布
a—上侧渗漏;b—下侧渗漏;c—左侧渗漏;d—右侧渗漏
Fig.1
Volumetric water content distribution of water supply pipeline after 2.0 h leakage at different locations
a—upper leakage;b—lower leakage;c—left leakage;d—right leakage
根据Topp公式[20],可将砂土体积含水量转化为相对介电常数,其表达式为
式中:
利用电导率与砂土含水量的经验换算公式[21]:
可计算砂土的电导率。式中
图2
图2
供水管线不同位置渗漏2.0 h后的相对介电常数分布
a—上侧渗漏;b—下侧渗漏;c—左侧渗漏;d—右侧渗漏
Fig.2
Relative permittivity distribution of water supply pipeline at different leakage position for 2.0 h leakage
a—upper leakage;b—lower leakage;c—left leakage;d—right leakage
图3
图3
供水管线不同位置渗漏2.0 h后的电导率分布
a—上侧渗漏;b—下侧渗漏;c—左侧渗漏;d—右侧渗漏
Fig.3
Distribution diagram of conductivity of water supply pipeline after leakage of 2.0 h at different locations
a—upper leakage;b—lower leakage;c—left leakage;d—right leakage
2 地下供水管线渗漏模型的GPR正演模拟及分析
2.1 供水管线未渗漏
图4a是一个大小为6.0 m×6.0 m的供水管线未渗漏模型示意,其中a、b、c、d分别为供水管线上侧、下侧、左侧、右侧渗漏位置。背景介质为砂土,其相对介电常数为3.03,电导率为0.005 S/m;背景介质中埋有一根直径为0.5 m的充满水管线,其圆心位置为(3.0 m,2.25 m)。利用FDTD对该模型进行计算时的空间步长为0.01 m×0.01 m,激励源为中心频率为400 MHz的Ricker子波。采用剖面法观测方式进行模拟,其收发天线间距0.01 m,测量点距为0.1 m,时窗为40 ns,时间步长为0.02 ns。
图4
图4
供水管线未渗漏相对介电常数模型(a)及其GPR模拟剖面(b)
Fig.4
No leakage of water supply line relative permittivity model(a) and its simulated GPR profile(b)
2.2 供水管线上侧渗漏
图5为供水管线上侧渗漏0.5 h、1.0 h、2.0 h和3.0 h后的相对介电常数模型,由图可知:渗漏区域呈对称分布,渗漏0.5 h后,供水管线上方砂土含水量增高,因而其相对介电常数变大;水平中心位置(3.0 m)处,从深度1.2 m至管线顶部的相对介电常数值从3.27逐渐增大至81.7,相应的电导率从0.005 S/m增大至9.4 S/m,变化趋势与相对介电常数相同;管线下方由于渗漏时间较短,其相对介电常数无变化。渗漏1.0 h后,渗漏区开始扩大至管线两侧和下方,相对介电常数开始增大;渗漏2.0 h、3.0 h后,渗漏区已经扩大至管线下方,供水管线周围的相对介电常数由内到外逐渐减小。
图5
图5
供水管线上侧渗漏0.5 h(a)、1.0 h(b)、2.0 h(c)、3.0 h(d)后的相对介电常数模型
Fig.5
The permittivity model of water supply line after upper side leakage 0.5 h(a),1.0 h(b),2.0 h(c) and 3.0 h(d)
图6
图6
供水管线上侧渗漏 0.5 h(a)、1.0 h(b)、2.0 h (c)、3.0 h(d)后的GPR模拟剖面
Fig.6
GPR simulated profile of water supply line after upper side leakage 0.5 h(a),1.0 h(b),2.0 h(c) and 3.0 h(d)
为进一步分析供水管线上侧渗漏不同时间的GPR信号特征,提取水平中心位置(3.0 m)处的单道波形进行对比,如图7所示。由于渗漏时间越长,渗漏区的砂土含水量越高,电导率越高,电磁波衰减更严重,双曲线绕射波能量越弱。
图7
图7
Fig.7
Comparison of Single waveform at horizontal center position in
2.3 供水管线下侧渗漏
图8为供水管线下侧渗漏0.5 h、1.0 h、2.0 h和3.0 h后的相对介电常数模型,由图可知,渗漏0.5 h,1.0 h后,渗漏区逐渐扩大至管线上方与两侧,其相对介电常数随含水量的增高而增大;渗漏2.0 h,3.0 h后,上方与两侧的砂土含水量逐渐达到饱和状态,相对介电常数保持稳定;而下方的含水量和相对介电常数仍在继续增加,供水管线周围的相对介电常数由内到外逐渐减小。
图8
图8
供水管线下侧渗漏 0.5 h(a)、1.0 h(b)、2.0 h(c)、3.0 h(d)后的相对介电常数模型
Fig.8
The permittivity model of water supply pipeline after below leakage 0.5 h(a),1.0 h(b),2.0 h(c) and 3.0 h(d)
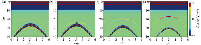
图9为图8中供水管线下侧渗漏模型的GPR模拟剖面,由图可见:供水管线渗漏0.5 h后,约24.0 ns时刻开始出现双曲线绕射波如图9a所示,与图4b中供水管线未渗漏时出现时间相同,这是由于此时供水管线上方未受到渗漏的影响所致。渗漏1.0 h、2.0 h、3.0 h后,管线上方开始受渗漏的影响,出现电性差异较为明显的分界面,因而图中出现2条双曲线绕射波,第一条双曲线绕射波的顶点出现时间分别为21.1 ns、17.4 ns和 15.2 ns,第二条双曲线绕射的顶点出现时间分别为24.1 ns、25.9 ns和27.7 ns。渗漏时间越长,第一条双曲线绕射波出现时间越早且越平缓,第二条双曲线绕射波出现时间越晚且双曲线曲率越大,但2条双曲线绕射波顶点位置都位于水平中心处,保持不变。
图9
图9
供水管线下侧渗漏 0.5 h(a)、1.0 h(b)、2.0 h(c)、3.0 h(d)后的GPR模拟剖面
Fig.9
GPR simulated profile water supply pipeline after below leakage 0.5 h(a),1.0 h(b),2.0 h(c) and 3.0 h(d)
图10
图10
Fig.10
Comparison of Single waveform at horizontal center position in
2.4 供水管线左(右)侧渗漏
图11
图11
供水管线左侧渗漏0.5 h(a)、1.0 h(b)、2.0 h(c)、3.0 h(d)后的相对介电常数模型
Fig.11
The permittivity model of water supply pipeline after left leakage 0.5 h(a),1.0 h(b),2.0 h(c) and 3.0 h(d)
图12
图12
供水管线右侧渗漏0.5 h(a)、1.0 h(b)、2.0 h(c)、3.0 h(d)后的相对介电常数模型
Fig.12
The permittivity model of water supply pipeline after right leakage 0.5 h(a),1.0 h(b),2.0 h(c) and 3.0 h(d)
图13为图11中供水管线左侧渗漏模型的GPR模拟剖面。如图13所示,当左侧渗漏0.5 h后,在水平位置2.8 m处约18.6 ns出现双曲线绕射波,与未渗漏时水平位置3.0 m出现时间为24.0 ns的双曲线绕射波相比,其顶点明显向左上偏移,双曲线绕射波出现时间更早。由于供水管线及其右侧渗漏区的影响,在约27.6 ns出现另一条非对称的双曲线绕射波。渗漏1.0 h、2.0 h、3.0 h后,第一条双曲线绕射波的顶点分别向左移动至2.75 m、2.65 m、2.5 m,双曲线绕射波顶点出现时间分别为31.2 ns、10.5 ns、7.8 ns。由此可见:当地下供水管线左侧渗漏时,渗漏时间越长,双曲线绕射波出现时间越早,顶点位置越往左上侧偏移。右侧渗漏时,GPR模拟剖面中的双曲线绕射波分布特征与左侧渗漏时刚好相反,渗漏时间越长,双曲线绕射波出现时间越早,顶点位置越往右上侧偏移(图14)。
图13
图13
供水管线左侧渗漏 0.5 h(a)、1.0 h(b)、2.0 h(c)、3.0 h(d)后的GPR模拟剖面
Fig.13
GPR simulated profile of water supply pipeline after left leakage 0.5 h(a), 1.0 h(b), 2.0 h(c) and 3.0 h(d)
图14
图14
供水管线右侧渗漏 0.5 h(a)、1.0 h(b)、2.0 h(c)、3.0 h(d)后的GPR模拟剖面
Fig.14
GPR simulated profile of water supply pipeline after right leakage 0.5 h(a), 1.0 h(b), 2.0 h(c) and 3.0 h(d)
图15
图15
Fig.15
Single channel waveform comparison at horizontal center in
3 供水管线渗漏的物理模拟探测与分析
图16
图16
地下供水管线渗漏物理模型(a)与现场测线布置(b)
Fig.16
Physical model of underground water supply pipeline leakage(a) and layout of survey lines(b)
图17
图17
供水管线上侧渗漏 0 min(a)、20.0 min(b)、40.0 min(c)、60.0 min(d)后的GPR物理模拟剖面
Fig.17
GPR physical simulation profile of water supply line after upper leakage 0 min(a), 20.0 min(b), 40.0 min(c) and 60.0 min(d)
当供水管线下侧渗漏不同时间后,进行模拟探测获得的结果如图18所示。由图可见,下侧渗漏20.0 min 、40.0 min、60.0 min后都出现3条能量较强的双曲线绕射波;第一条绕射波顶点出现的时间分别为2.5 ns、2.2 ns、2.2 ns,与管线未渗漏时双曲线绕射波顶点出现时间3.1 ns相比更早;水平位置分别为0.92 m、0.96 m、0.92 m,由于测量误差的原因,水平位置有微小的偏差。由此可见,渗漏时间越长,双曲线绕射波的顶点出现时间越早,水平位置基本保持不变。
图18
图18
供水管线下侧渗漏 0 min(a)、20.0 min(b)、40.0 min(c)和60.0 min(d)后的GPR物理模拟剖面
Fig.18
GPR physical simulation profile of water supply pipeline after bellow leakage 0 min(a), 20.0 min(b), 40.0 min(c) and 60.0 min(d)
图19
图19
供水管线左侧渗漏 0 min(a)、20.0 min(b)、40.0 min(c)、60.0 min(d)后的GPR物理模拟剖面
Fig.19
GPR physical simulation profile of water supply line after left leakage 0 min(a), 20.0 min(b), 40.0 min(c) and 60.0 min(d)
图20
图20
供水管线右侧渗漏 0 min(a)、20.0 min(b)、40.0 min(c)、60.0 min(d)后的GPR物理模拟剖面
Fig.20
GPR physical simulation profile of water supply line after right leakage 0 min(a), 20.0 min(b), 40.0 min(c) and 60.0 min(d)
4 结论
本文针对地下供水管线渗漏GPR探测问题,首先利用GeoStudio软件构建了供水管线渗漏模型,后利用FDTD模拟了供水管线未渗漏及渗漏位置分别为上侧、下侧、左侧和右侧不同渗漏时间的GPR数值模拟剖面,并与GPR物理模拟剖面进行对比分析,结果表明:与管线未渗漏时产生的双曲线绕射波相比,渗漏时间越长,渗漏区域越大,砂土含水量越高,电导率越高,电磁波衰减更严重,双曲线绕射波能量越弱。上侧渗漏时,渗漏时间越长,渗漏区域越大,双曲线绕射波出现时间越早,能量越弱,其顶点水平位置保持不变;下侧渗漏时,出现2条分别向上和向下移动双曲线绕射波,且渗漏时间越长,2条双曲线绕射波越弱且越分离,其顶点水平位置保持不变;左(右)侧渗漏时,渗漏时间越长,双曲线绕射波能量越弱,双曲线绕射波出现时间越早,且顶点越向左(右)上偏移。模拟探测结果可为精确判别供水管线渗漏位置及其渗漏区域提供可靠的技术支撑。
参考文献
管线渗漏异常探地雷达数据的电场分量成像分析
[J].
Study on electric field component imaging of leakage in pipeline using GPR
[J].
污水管线渗漏诱发地面下陷数值分析
[J].
Numerical analysis of ground subsidence induced by leakage of sewage pipeline
[J].
基于GPRMax2D的地下管线精细化探测方法
[J].
Refined detection method of underground pipeline based on GPRMax2D
[J].
地下管线综合探测技术在道路改造中的应用
[J].
The application of comprehensive detection technology for underground pipes and cables to road rebuilding
[J].
Efficient GPR data acquisition to detect underground pipes
[J].DOI:10.1016/j.ndteint.2017.06.002 URL [本文引用: 1]
探地雷达探测地下管线的能力
[J].
The capacity of the ground-penetrating radar for detecting underground pipelines
[J].
Water-column mass losses during the emptying of a large-scale pipeline by pressurized air
[J].DOI:10.3176/proc.2015.1.02 URL [本文引用: 1]
供水管道泄漏声信号特性
[J].为了对供水管道泄漏声波信号进行检测,分析了管道泄漏声波的产生机理、检测原理和管道泄漏声波信号的频率特性及衰减特性.采用CS3型水听器在模拟供水管道的环境中进行管道泄漏实验,采用MATLAB软件对实验采集到的泄漏声波信号进行分析.结果表明,管道泄漏的声波是60~70Hz的低频信号,其中稳定泄漏和末端泄漏的衰减特性不同,实验结果证明了管内听音技术用于检测供水管道泄漏信号的准确性和该检测技术的可行性.
Acoustic signal characteristic for water supply pipeline leakage
[J].<FONT face=Verdana>In order to detect the acoustic signal of water supply pipeline leakage, the generating mechanism and detecting principle of pipeline leakage sound wave as well as the frequency and attenuation characteristics of pipeline leakage acoustic signal were analyzed. The pipeline leakage experiments were implemented in the simulated water supply pipeline using the CS3 type hydrophone, and the leakage acoustic signals collected in the experiment were analyzed by MATLAB software. The results show that the sound wave of pipeline leakage is the low frequency signal of 60 to 70Hz, where the attenuation characteristics of stable leakage and end leakage are different. The experimental results prove that the listening technology inside pipe is accurate for detecting the leakage signal of water supply pipeline and the detecting technology is feasible.</FONT>
供水管道在线泄露检测方法
[J].
On-line water-pipeline leak detection method
[J].
Perturbation mapping of water leak in buried water pipes via laboratory validation experiments with high-frequency ground penetrating radar (GPR)
[J].
Characterizing pipe leakage with a combination of GPR wave velocity algorithms
[J].DOI:10.1016/j.tust.2020.103740 URL [本文引用: 1]
探地雷达识别管线渗漏病害的试验研究
[J].
Study on application of test method for GPR pipeline seepage defects
[J].
三维探地雷达在城市市政管线渗漏探测中的应用
[J].
Application of 3D ground penetrating radar to leakage detection of urban underground pipes
[J].
地下管线及油污泄漏地质雷达正演模拟研究
[J].
Study on forward modeling of underground pipelines and oil leakage by ground penetrating radar
[J].
城市供水管道渗漏程度的渗流模型分析与探地雷达信号正演
[J].
Different degrees of water pipelines leakage model analysis and GPR signal forward simulation
[J].
基于GeoStudio的边坡稳定性分析及支护方案选择的理论探讨
[J].
Theoretical analysis of slope stability and support scheme selection based on software GeoStudio
[J].
台州东部新区围区海水入侵抗渗计算
[J].
Calculation of anti-seepage of seawater intrusion in Taizhou eastern new reclamation area
[J].
降雨—蒸发—蒸腾耦合作用下的中小型尾矿库重金属Cu2+迁移规律研究
[J].
Research on migration rule of heavy metal Cu2+ in small and medium-sized tailings ponds under rainfall-evaporation-transpiration coupling
[J].
Electromagnetic determination of soil water content:Measurements in coaxial transmission lines
[J].DOI:10.1029/WR016i003p00574 URL [本文引用: 1]
Effect of soil water on apparent soil electrical conductivity and texture relationships in a dryland field
[J].DOI:10.1016/j.biosystemseng.2006.01.002 URL [本文引用: 1]
煤火区浅部松散煤体及采空区的探地雷达响应特征
[J].
GPR response characteristics of shallow loose coal seam and goaf in the coalfield combustion area
[J].
钢筋混凝土缺陷的探地雷达检测模拟与成像效果
[J].
Modeling and imaging effects of GPR detection of reinforced concrete defects
[J].
/
| 〈 |
|
〉 |
