多层泡棉复合吸波材料在探地雷达天线设计中的应用
Application study of multi-layer foam composite microwave-absorbing materials in GPR antenna design
第一作者:
责任编辑: 叶佩
收稿日期: 2024-12-15 修回日期: 2025-03-21
| 基金资助: |
|
Received: 2024-12-15 Revised: 2025-03-21
本文旨在进行吸波材料在时域脉冲探地雷达天线设计中的应用研究。首先分析了电磁波在吸波材料介质界面及内部的传播机理,在理论分析的基础上采用多层泡棉复合吸波材料对天线进行不同方式的加载,使用CST电磁仿真软件对不同加载方式的天线进行了波形保真度、天线增益、端口驻波比等参数的仿真比较,并结合实际应用场景进行了发射天线、接收天线、分层大地及地下目标物系统建模仿真,通过比较天线在不同加载方式下目标回波信号特点,得出了多层泡棉复合类吸波材料在探地雷达天线中的最佳加载方式。按照本文提出的加载方式进行了带屏蔽壳体的平板型偶极天线设计与加工,并搭载LTD-2600探地雷达进行了贴地与架空情况下的实地测试,测试图像可明显看出地下5.6 m处地层异常信号,可为探地雷达天线设计及工程应用提供有效指导。
关键词:
This study focuses on the application of microwave-absorbing materials in the design of time-domain pulsed ground-penetrating radar(GPR) antennae.First,this study analyzed the propagation mechanisms of electromagnetic waves inside and at the medium interface of microwave-absorbing materials.Second,this study applied multi-layer foam composite microwave-absorbing materials to antennae in various loading configurations.Third,based on the CST electromagnetic simulation software,this study compared parameters like waveform fidelity,antenna gain,and voltage standing wave ratio(VSWR) for antennae with different loading configurations.Fourth,this study performed systematic modeling and simulation for the transmitting antenna,receiving antenna,stratified ground,and subsurface targets in combination with a real-world application scenario.By examining the characteristics of the target echo signal under various loading configurations for antennae,this study determined the optimal loading configuration of multi-layer foam composite microwave-absorbing materials for GPR antennae.Using the optimal loading configuration, this study designed and fabricated a flat dipole antenna with a shielding shell.Finally,this study conducted field tests using the LTD-2600 GPR with this flat dipole antenna on the ground surface and at an elevated position,clearly revealing abnormal stratigraphic signals at a depth of 5.6 m.Therefore,this study can effectively guide the design and engineering applications of GPR antennae.
Keywords:
本文引用格式
殷岳萌, 王成浩, 李少龙, 张照, 徐飞.
YIN Yue-Meng, WANG Cheng-Hao, LI Shao-Long, ZHANG-Zhao , XU-Fei .
0 引言
探地雷达是利用高频电磁波探测地下或结构体内部情况的一种无损检测技术,是当前隧道超前预报、桥隧质量检测、地下管线、地下工事及其他隐蔽目标探测的主要手段,在桥隧建设及维护的全过程中发挥着重要作用。探地雷达主要由雷达主机和天线组成,其中天线对系统规模及探测灵敏度起着至关重要的作用[1
相较于常规雷达隐身及电磁屏蔽,探地雷达系统对吸波材料的要求更加苛刻,吸波材料在桥隧检测探地雷达天线中的作用主要体现在以下几方面。
1)消除多次波:当电磁波遇到天线周围的金属屏蔽壳时,会发生全反射,形成多次波或多径效应,在进行时域回波分析时会造成虚假目标或恒定背景干扰,影响雷达图像的质量和地下目标的精确探测。吸波材料可以吸收这些反射回来的多次波,降低辐射波形的振铃效应(即强烈的高频振荡),提高信号的纯净度和探测深度。
2)扩展天线频带:当前主流脉冲体制探地雷达系统属于时域超宽带雷达系统,天线相对带宽一般要求100%以上,用于辐射和接收信号的天线因受工程应用平台限制和便携性要求的约束,天线尺寸往往受到明显的限制,工作频带的下限属于电小天线,辐射电阻较小且电抗波动较大,与收发机之间存在阻抗匹配困难的问题,将吸波材料作为负载进行天线近场加载,可以扩展其低频匹配性能,提高系统效率,同时提升辐射信号的保真度。这也是吸波材料在探地雷达系统应用中与雷达隐身、电磁屏蔽之间最大的差别。
3)改善信号质量:通过吸收杂散信号和环境干扰,吸波材料有助于提升雷达信号的信噪比(SNR),使得探地雷达图像更加清晰、准确,提高对地下目标的识别和定位能力。
基于上述的特殊需求,和诸多因素之间相互牵制的现状,探地雷达吸波材料类型的选取、电磁参数的确定、以及在天线系统中的加载方式需要精心设计与调试。
本文对吸波材料在探地雷达系统中的工作机理进行了详细分析,并根据分析所得规律使用CST进行了多层泡棉复合吸波材料加载的探地雷达天线系统仿真与优化。优化过程中结合某型吸波材料电磁参数测试数据,进行透波层、渐变层、吸收层设置,并进行了多种排布方式的仿真与比较,最终优化得到的天线辐射效率高、波形保真度好,通过系统探测仿真得到的单道波形曲线进一步对优化结果的有效性进行了验证。
1 吸波材料在探地雷达系统中的工作机理
1.1 电磁波在材料界面的反射与阻抗匹配
探地雷达系统中的吸波材料一般位于天线与屏蔽壳之间,用于吸收天线振子背向辐射,以及天线振子与屏蔽壳体之间的振荡波。
当入射波射到材料表面时,将有一部分电磁波被反射,一部分被衰减,其余的电磁波会透过材料。电磁波在材料内部的传输是一个较为复杂的过程,一般要经过多次反射,其传输路径伴随有介电损耗、磁损耗。从宏观角度可以把电磁波与吸波材料之间的相互作用归纳为3个部分,即反射波、透射波和电磁损耗,可以用下式表示[1]:
式中:T为功率传输系数,R为功率反射系数,A为衰减系数。
为最大可能地进行电磁波的吸收,吸波材料需要满足如下两条基本要求:
1)入射电磁波最大限度地进入材料内部,而不是在其表面就被反射,即要求在材料入射表面处阻抗匹配;
2)进入吸波材料内部的电磁波能够迅速被吸收衰减,即要求材料内部有很好的衰减特性。
基于上述要求,在探地雷达天线所用吸波材料设计中需要设置透波层和吸收层,本文结合工程实际在某型探地雷达天线设计中通过使用不同电磁参数的吸波材料充当透波层、渐变层、吸收层,使得位于天线振子与屏蔽壳体之间的非必要电磁波被高效吸收。多层泡棉复合吸波材料的排列方式如图1所示,图中εi、μi分别表示该区域材料的介电常数和磁导率。
图1
图1
多层界面反射及衰减原理示意
Fig.1
Schematic of the wave reflection and attenuation at the interface
吸波材料对电磁波的反射率大小与界面两边的介电常数ε、磁导率μ密切相关,假设电磁波由材料m入射到材料n,其界面反射系数可以由式(2)定量计算[1]:
式中:
式中:ε'、ε″分别表示材料介电常数的实部和虚部;μ'、μ″表示磁导率的实部与虚部。由式(2)可知,界面两边材料的电磁参数差异越大,反射率越大,穿过界面进入材料内部的电磁波将越少。不同材料的波阻抗很难做到完全一致,因此只要有异质材料界面,就一定会存在电磁波反射。为了尽可能的降低材料界面反射,需要力争使各层材料的特性阻抗尽量接近自由空间波阻抗。
1.2 电磁波在材料内部的衰减
当电磁波入射到材料界面后,未被反射的部分将穿过界面进入材料内部,在传播的过程中将进一步在材料内部衰减。随着电磁波深入材料的内部,其能量和电磁波传输的距离则呈现出指数型衰减,如式(5)所示[2]:
式中:E0为电场振幅;γ为传播常数;z是沿传播方向行进的距离;ω是电磁波的角频率;t是时间参量。式(5)表明,材料内电磁波的传播常数γ和传输距离z直接决定了电磁波的衰减行为。对于实际材料来说,传播距离z体现为材料的厚度,而传播常数则是材料自身性质的体现,由材料介电常数和磁导率共同决定。传播常数的实部α和虚部β可分别由式(6)确定[3]:
从式(7)、(8)可以看出,当且仅当材料的介电常数虚部ε″和磁导率虚部μ″均为0时,传播常数的实部α为0,此时电磁波在介质材料内部传播时只会产生速度变化,而不会被衰减。因此,ε″和μ″是影响吸波材料对电磁波衰减的两个重要参量,分别表征着介质材料对电磁波的介电损耗能力和磁损耗能力。
2 吸波材料在探地雷达系统中的工作机理
2.1 电磁波在材料界面的反射与阻抗匹配
本节结合某工程应用,对已完成初步设计的某型探地雷达收发天线进行多层泡棉复合吸波材料的加载,对不同加载方式的天线进行波形保真度、增益、端口阻抗匹配等参数比较,并结合实际应用场景进行发射天线、接收天线、探测场景及目标物的系统级建模,通过比较天线在不同加载方式下接收到的回波信号,进行吸波材料加载方式的研究。
图2
仿真模型中吸波材料电磁参数使用实际泡棉吸波材料测试数值。基于探地雷达系统对多层泡棉吸波材料的渐变需求和工程实施的便利性,本文在天线设计中使用了3种材料,其相对介电常数实部和损耗角正切测试曲线如图3a、b所示 其中L1、L2、L3用于区分3种吸波材料。从图中曲线可以看出,L1层的介电常数最小且接近于空气介电常数,其损耗角正切值也最小,L3层的介电常数最大,损耗角正切值也最高,通过前面的分析可知L1、L2、L3分别适合充当匹配层、渐变层和吸收层。
图3
图3
实测吸波材料电磁参数曲线
Fig.3
Tested electric parameter of the used absorption materials
考虑实际工程中天线加工及安装的便利性,本文的研究中吸波材料排布方式采取如下3种情况:①平行振子竖向分层(JDMCY),即吸波材料平行于天线振子板及屏蔽壳顶部,并在垂直方向分层放置;②垂直振子水平分层(CF_V),即吸波材料垂直于天线振子及屏蔽壳顶部,并在水平方向分层放置;③平行振子向两侧渐变分布(CF),即吸波材料垂直于天线振子,从天线中心向两侧分层放置,分别如图4a~c所示。各种排布方式中,吸波材料被等分成6份,填满屏蔽壳内部。
图4
图4
吸波材料排布方式示意
Fig.4
Schematic diagram of the arrangement of absorbing materials
2.2 仿真结果
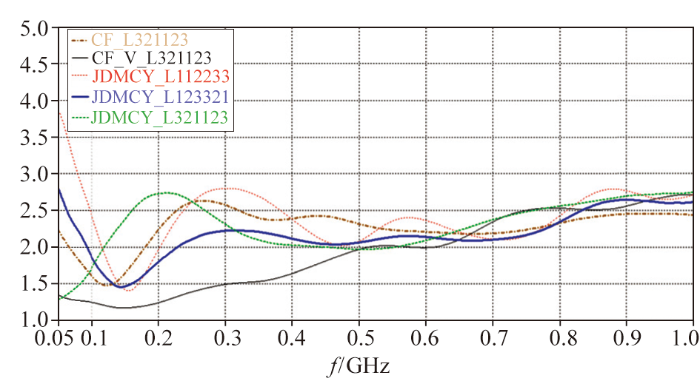
图5
图6
图7
图8为系统仿真中几种加载方式下接收天线端口电压曲线,仿真中使用了实际发射机测试波形作为激励,图中marker 4处的峰值为直耦波,marker 1为地面与空气交界面处的反射波,marker 2为第一、二层地面交界面处的反射波,marker 3为地下2 m处的金属板反射波,也是该模型中设置的探测目标。从图中曲线来看,几种方式的加载都能收到明显的目标回波,CF_L321123方式幅度最高,但在直耦波与地面反射波之间的拖尾较重,JDMCY_L112233幅度最小,目标的细节显示不明显,总体来看还是JDMCY_L123321方式较好,拖尾较小且各典型目标处的信息显示比较充分,目标回波也相对较强。
图8
图8
接收天线端口电压(系统仿真)
Fig.8
Voltage at the port of receiving antenna(system simulation)
2.3 实测结果
将本文设计的天线搭载LTD-2600探地雷达主机平台进行实地测试,测试点选在某已知存在地层差异的场地进行,测试中发射机采用中心频率为150 MHz的高斯脉冲源,通过等效取样接收机获取回波信号。为比较离地高度对天线测试性能的影响,测试中选取了贴地测试与架空测试,天线测试状态照片如图9所示,其中架空测试中分别进行了天线底部离地h=30、60 cm两种状态(天线下方采用介电常数与空气接近的泡沫材料支撑),测试结果分别如图10a、b、c所示。从图10a可以清楚地看到地面反射波位置在12.5 ns处,在125 ns深度处存在明显的地层差异;从图10b、c的架空测试图可以看出,随着天线的抬高,目标层位分别下移约2、4 ns,目标层位较贴地状态有所劣化,同时背景噪声增加,但目标层位依然清晰可见,系统设置的介电常数为9,可计算得知该目标层位于地下5.6 m处。
图9
图10
3 结论及讨论
1)探地雷达天线的设计是诸多因素综合的结果,吸波材料对于提高大天线的探测精度、深度以及整体性能至关重要,吸波材料的类型、电参数以及材料的加载方式对探地雷达系统的性能影响极为重要,为得到纯净的探地雷达回波图像,需要根据雷达工作频段进行吸波材料类型的选取,并结合天线形式及典型应用场景进行系统电磁仿真分析,从而确定有效空间下吸波材料的最佳排布方式。
2)结合电磁仿真和工程应用实际,在进行电性吸波材料加载时,一般可采取3种左右的均匀吸波材料通过特定排布,构建透波区、渐变区、吸收区,以便在提升系统探测灵敏度的同时达到宽频带范围内的杂波吸收。
3)通过文中对3种加载方式的总体比较来看,在平行振子竖向分层(JDMCY)的加载方式下,辐射信号的保真度较高、拖尾小,且带内增益相对适宜,且在系统仿真中的单道波形相对纯净。
4)从本文仿真和实测结果来看,在进行探地雷达天线吸波材料加载时,可将重吸收层设置在天线振子与屏蔽壳中间区域,在紧贴天线振子和屏蔽壳的区域设置透波层,并在透波层与重吸收层之间增加渐变过渡层。
5)使用本文提出的加载方式设计的带有屏蔽壳的平板型偶极天线搭载LTD-2600探地雷达主机可有效进行地下目标探测,本文所述设计方法及结果可直接应用于探地雷达天线工程,为隧道超前预报、桥隧质量检测及地下目标探测用雷达天线的设计与工程实践提供有效指导。
参考文献
提高地质雷达隧道衬砌质量检测效果的几点措施
[J].
Measures to improve effect tunnel lining testing by means of ground penetrating radar
[J].
探地雷达应用中的几个基本问题
[J].
Some basic problems in the application of ground-penetration radar
[J].
三维探地雷达数值模拟中UPML边界研究
[J].
Study of UPML boundary for three dimensional GPR simulation
[J].
实时三维探地雷达关键技术的设计与实现
[J].
Design and implementation of key technologies of real-time 3D ground penetrating radar
[J].
一种低频探地雷达天线屏蔽装置实验研究
[J].
Experimental research on a shielding device of low frequency ground penetrating radar antenna
[J].
地质雷达超前探测在煤矿的应用
[J].
Application of geological radar advanced detection in coal mine
[J].
具有屏蔽腔和吸波材料的探地雷达天线的FDTD分析
[J].
FDTD analysis of ground penetrating radar antennas with shields and absorbers
[J].
探地雷达阻性加载天线的应用研究
[J].
Analysis on resistive loaded antenna for GPR application
[J].
一种用于高速公路探地雷达的新型时域超宽带TEM喇叭天线
[J].
Novel time-domain Ultral-wide band TEM Horn antenna for highway GPR applications
[J].
雷达探测隧道壁后空洞的现场验证及空洞影响分析
[J].
In-situ verification of voids behind tunnel lining detected by ground penetrating radar and numerical analysis of influence of voids on tunnel structure
[J].
面向基础设施的三维探地雷达属性成像及信息可视化研究
[J].
Three-dimensional ground penetrating radar attribute imaging and information visualization for urban infrastructure
[J].
/
| 〈 |
|
〉 |
