多层泡棉复合吸波材料在探地雷达天线设计中的应用 |
| 殷岳萌, 王成浩, 李少龙, 张照, 徐飞 |
|
Application study of multi-layer foam composite microwave-absorbing materials in GPR antenna design |
| YIN Yue-Meng, WANG Cheng-Hao, LI Shao-Long, ZHANG-Zhao , XU-Fei |
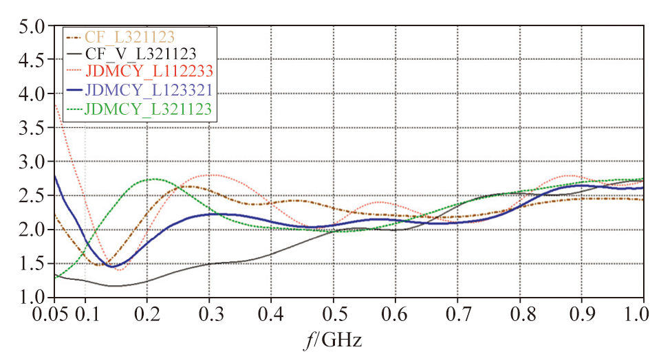
| 图5 端口驻波比仿真曲线 |
| Fig.5 Curve of VSWR |
|