克孜勒努尔组深层煤层游离气含气饱和度计算
Calculation of free gas saturation in deep coal seams in the Kezilenuer Formation
通讯作者: 孙建孟(1964-),男,教授,博导,长期从事测井解释及数字岩心领域的研究与教学工作。Email:sunjm@upc.edu.cn
第一作者:
责任编辑: 沈效群
收稿日期: 2024-10-10 修回日期: 2024-12-4
| 基金资助: |
|
Received: 2024-10-10 Revised: 2024-12-4
深部煤层复杂的地质环境和温度等造成吸附负效应增强,游离气产出。游离气饱和度作为储量预测及指导优化采排方案设计的典型参数,对其进行准确揭示具有重要意义。本文以塔里木盆地库车北部构造带侏罗系克孜勒努尔组超深层(>4 km)煤层气为研究对象,基于等温吸附及现场解析、反推法、阿尔奇公式、元素改进体积模量方法、Gassmann-Wood公式和Gassmann-Brie方程,计算了目的层游离气含气饱和度,结合二维核磁实验资料对比分析了这几种饱和度计算方法,结果表明:元素改进体积模量方法、Gassmann-Wood公式与Gassmann-Brie方程更适合研究区域深层煤层游离气饱和度的计算。研究结果可为该区块深层游离气饱和度计算提供重要参考,进一步指导并推进研究区深层煤层气的勘探开发。
关键词:
Compared to shallow coal seams, deep coal seams have gradually transitioned into a complex geologic environment characterized by high temperatures, pressures, and in situ stresses, and low permeability. Temperature and other conditions result in enhanced negative adsorption effects, leading to free gas production. Free gas saturation serves as a typical parameter for predicting reserves and guiding the optimal design of production and drainage plans, rendering its accurate determination highly significant. This study investigated the coalbed methane in the Jurassic Kezilenuer Formation in the tectonic zone north of the Kuqa depression within the Tarim Basin. It calculated the free gas saturation in the target layer based on adsorption isotherms, field analysis, inversion, the element-modified bulk modulus method, and the Archie, Gassmann-Wood, and Gassmann-Brie equations. Furthermore, it comparatively analyzed the results derived from these calculation methods combined with two-dimensional nuclear magnetic resonance data. The results indicate that the element-modified bulk modulus method and the Gassmann-Wood and Gassmann-Brie equations are more appropriate calculation methods for the study area. Overall, the results of this study provide a valuable reference for calculating free gas saturation in deep coal seams in the study area, further guiding and advancing the exploration and production of deep coalbed methane.
Keywords:
本文引用格式
别康, 蔡天, 信毅, 刘粤蛟, 韩闯, 孙建孟.
BIE Kang, CAI Tian, XIN Yi, LIU Yue-Jiao, HAN Chuang, SUN Jian-Meng.
0 引言
我国拥有丰富的煤层气地质资源,具初步测算,可达约70×1012 m3,其中,深度超过2 000 m的深层—超深层资源量占据主导地位,约有40×
煤层气是吸附成藏的非常规天然气,包括吸附气、溶解气及游离气三大部分[10]。在煤层欠饱和状态下,由于吸附未满,此时煤层气只含吸附气,不存在溶解气,更不会有游离气[11],只有在吸附饱和及溶解饱和状态下,才会存在游离气(此时的游离气含量为总含气量减去吸附气及溶解气含量),所以目前关于吸附气的研究较多,对游离气的研究较少[12]。我国对于煤层气的研究同致密砂岩及页岩等油气领域一样,相对欧美起步较晚,深层煤层气作为油田勘探新领域,从岩石物理实验到测井解释关键参数建模与评价方法及标准均存在极大的完善空间[13]。游离气饱和度作为深部煤层气储量预测及指导优化采排方案设计的典型参数,对其准确揭示具有重要意义[14]。
煤的含气饱和度一般分为吸附气饱和度和游离气饱和度。吸附气饱和度是煤的实测含气量与理论的吸附气量的比值,主要反映煤岩的吸附能力,而游离气饱和度是指游离气在孔隙中的体积占比。何发岐等[15]将实测含气量与Langmuir等温吸附式得到的吸附气量的差值作为实际游离气含量,将在默认煤层吸附饱和的情况下根据气体状态平衡方程得到的游离气最大含气量作为理论含气量,两者之比为游离气饱和度;该方法考虑了吸附甲烷所占孔隙体积,但没有考虑溶解气含量。石军太等[12]基于Langmuir等温吸附式、亨利定律以及物质平衡原理,建立了深部煤层气的游离气饱和度模型;该方法考虑了溶解气的存在,但是吸附层体积仍采用估计值。目前,对深部煤层气的游离气饱和度的计算模型较少,对深层煤层气的研究不够深入,因此亟须建立更多的煤层气饱和度模型来为深部煤层气的进一步发展提供支撑。
1 研究区地质概况及含气性特征
研究靶区为塔里木盆地库车坳陷北部构造带侏罗系克孜勒努尔组。库车坳陷位于塔里木盆地北缘,主要被北部南天山造山带及南部塔北隆起包夹,该区已建成克深、迪那、大北及中秋等多个中—大型天然气田,是塔里木盆地重要油气产区[16](图1a)。北部构造带位于库车坳陷最北缘,面积达6 800 km2,第四次资源量预测达5.65×108 t,潜力巨大[17]。库车坳陷自2016年以来,已经进入了整体勘探阶段,虽陆续发现了多个油气富集区,但资源探明量不足10%。勘探实践表明,北部构造带构造样式极其复杂、油气藏类型多样、储层敏感性及非均质性较强,对地质特征的认识不清是制约其发展的一大因素[18](图1b)。目前,已发现的油气富集区集中在北部构造带的迪北—吐孜—吐格构造带[19],研究区位于迪北和吐孜构造带中间的依深构造带,目前属于勘探开发新区。
图1
图1
库车坳陷北部构造带的构造位置(a)和构造纲要(b)[18]
Fig.1
Structural location (a) and structural outline (b) of the northern tectonic belt of Kuche Depression
库车坳陷北部构造带露头岩样及钻井结果显示地层主要为中生界—新生界,局部地区(吐格尔明地区)存在元古宇变质岩基底。该区域受燕山运动和喜马拉雅运动的影响,主要发育3套不整合,分别为上侏罗统—下白垩统不整合、下白垩统—古近系不整合以及新近系—第四系不整合。此外,局部地区存在其他层位之间的不整合,如吐格尔明背斜南翼中侏罗统克孜勒努尔组与新近系吉迪克组之间的超覆不整合[20]。目前,已发现的主要含气层位包括下侏罗统阿合组、阳霞组和中侏罗统克孜勒努尔组,局部地区还包括新近系吉迪克组,本文研究目的层即为克孜勒努尔组。
克孜勒努尔组埋藏相对较深,靶区深度大于4 000 m,具备了深层煤层气“高温、高压、高地应力及低渗透率”的三高一低典型特征,储层物性较好(平均孔隙度7%),但单层煤层厚度薄(2~10 m),岩性以煤—泥组合为主,顶底板封盖性好,主要含有6套煤层,大规模勘探开发潜力大[21]。由于研究区目的层的深度已远超深层煤层气的标准,且超深层测井存在测井工作难度大、测井资料难以测全等问题,因此煤层气测井解释难度大,亟须新的研究方法来推进超深层煤层气的勘探开发。
2 游离气饱和度计算模型对比
2.1 基于等温吸附及现场解析分析资料计算
目前,主要基于等温吸附实验及现场解析实验资料来计算游离气含量(本文中的解析是指气体从煤心中释放出来的过程,涉及渗流、扩散、吸附/解吸等多种运移机制;而解吸特指吸附气从矿物或有机质表面发生脱附的过程)。由于深层煤层气中大部分是吸附气和游离气,溶解气占比较小,可以忽略不计,因此游离气含量可由现场解析所得总含气量与理论吸附气含量相减求得[22]:
式中:Sr为含气饱和度,%;V总为现场解析气含量,包括解吸气、残余气(指解析实验结束后很久才散发出的气,通常需要碎样后测量得到)与损失气(钻井、提钻以及将煤心装入解析罐的过程中逸散出来的气体,通常为岩石孔隙中的游离气及吸附在岩心表面的吸附气,通过理论计算获取),m3/t; V为实测储层压力投影到吸附等温线上所对应的饱和含气量(吸附气理论含气量),m3/t;Q为游离气含量,m3/t;VL为兰氏体积,m3/t;P为储层压力,MPa;PL为兰氏压力,MPa。
因为游离气含量也与孔隙度、煤层气原始状态体积系数以及游离气饱和度有关,因此游离气含量也可表示为
式中:φ为孔隙度;Sg为游离气饱和度;ρb为煤密度;Bg为气体原始状态体积系数。
体积系数可先采用Standing(1981)提供的干气相关式计算拟对比温度和拟对比压力,再根据李相方等[23]提出的LXF-RMP模型计算压缩因子,最后利用气体状态方程得到气体原始状态体积系数,公式如下:
式中:Ppc为拟临界压力,MPa;Tpc为拟临界温度,K;γg为天然气相对密度;Tpr为拟对比温度;T为储层温度,K;Ppr为拟对比压力;P为储层压力;Bg为气体原始状态体积系数,无量纲;PSC为标况下压力,MPa;Z为压缩系数,无量纲。
结合式(2)、(4)即可求取游离气饱和度Sg。因为该方法不考虑溶解气的存在,通常会导致计算所得的游离气饱和度偏大。
2.2 反推法计算游离气饱和度
在本次游离气饱和度计算中,假设煤层吸附饱和且溶解过饱和,即同时存在吸附气、溶解气和游离气,结合现场解析资料、等温吸附实验和岩石物理实验来反推游离气饱和度。该方法考虑了溶解气对游离气饱和度的影响,同时由于吸附气主要以吸附态存在于煤分子结构间,因此假设有效孔隙中吸附气占比10%。
首先利用亨利定律计算单位体积水中溶解气的体积[24]:
式中:Csg为单位体积水中溶解气的体积,m3/m3;P为压力,MPa;Hs为亨利常数,MPa。
由于亨利常数随温度的升高而增加,因此可以通过实验得到亨利常数与温度的相关关系。本文采用石军太等[12]得到的亨利常数与温度的拟合公式来计算吸附饱和后单位体积水中溶解气的体积,因此达到饱和后的方煤(1 m3的煤)溶解气含量即为
式中:Vsg为方煤溶解气含量,m3/m3;φa为除去吸附层的孔隙度。
由于煤储层中的吸附气主要以吸附作用存在于煤分子结构间,而游离气主要储存于煤层的大中孔隙内,煤储层的有效孔隙中主要为游离气,因此本次假设有效孔隙中吸附气占比10%,除去吸附气后的孔隙度计算公式即为
式中:φi为煤有效孔隙;φa为吸附气所占有效孔隙;α为吸附气所占有效孔隙比例,取10%;ρSC为标况下煤的密度,kg/m3;Vag为方煤吸附气含量,m3/m3;ρa为煤层气吸附相密度,取280 kg/m3;ρ空气为空气密度,kg/m3。
方煤游离气含量(Vfg)可表示为
非吸附气含量Vbsc等于游离气含量与溶解气含量之和,可表示为
因此,游离气饱和度公式可表示为
2.3 阿尔奇公式
利用岩石物理实验可以得到岩电参数的取值,再根据阿尔奇公式计算含水饱和度,游离气饱和度即为百分比减去含水饱和度。公式如下:
式中:a、b、m、n为岩电参数,通过岩电实验获得;RW为地层水电阻率,Ω·m;φ为孔隙度;Rt为视电阻率,Ω·m;SW为含水饱和度。
2.4 基于岩性扫描测井改进体积模量计算
根据岩石物理体积模型,当储层孔隙饱含水时的体积模量可表示为
式中:Kwsat为饱含水时的体积模量,GPa;Kma为岩石骨架体积模量,GPa;KW为水的体积模量,GPa。
根据岩石体积物理模型,可以将真实地层的体积模量看为岩石骨架体积模量、水以及气的体积模量与其相应占比的乘积之和,同时真实地层的体积模量可以根据纵横波速以及密度来计算。因此,含气饱和度可表示为[27]
式中:Ksat为真实地层的体积模量,GPa;Kg为气的体积模量,GPa;ρsat为密度,g/cm3;vP为纵波波速,km/s;vS为横波波速,km/s。
为降低储层矿物对岩石体积模量的影响,可以采用岩性扫描测井计算岩石骨架体积模量(表1)。由于岩性扫描测井可以得到不同矿物成分的占比,因此岩石骨架的体积模量(Kma)可以看作是不同矿物成分的体积模量与其占比的乘积之和:
式中:K表示某岩石组分的体积模量,GPa;V表示某岩石组分的占比,%。
| 方解石 | 煤 | 白云石 | 伊利石 | 钾长石 | 钠长石 | 黄铁矿 | 石英 | 油 | 气 | 水 | |
|---|---|---|---|---|---|---|---|---|---|---|---|
| 体积模量 | 70 | 1 | 95 | 21 | 75.6 | 75.6 | 147 | 37 | 1 | 0.05 | 2.6 |
| 剪切模量 | 29 | 0.46 | 45 | 7 | 25.6 | 25.6 | 133 | 44 | 0 | 0 | 0 |
2.5 Gassmann-Wood方程
Gassmann-Wood方程是基于Gassmann理论,同时结合Wood方程构建的饱和度模型。Gassmann理论公式如下[30]
式中:Kdry和Gdry分别为干岩石的体积模量和剪切模量,GPa;Kfl为孔隙流体体积模量,GPa;G为剪切模量,GPa。
在Gassmann方程中引入Biot参数,可以连接干岩石与饱含水岩石的弹性特性关系,反映岩石骨架体积模量和剪切模量与岩石真实体积模量和剪切模量之间的相关关系,从而更加准确地反映弹性特性变化,因此式(25)变为[31]:
式中:K、G分别为真实的体积模量和剪切模量,GPa;β为Biot参数,
Wood提出的混合流体的体积模量可以表示为[32]:
式中:Kf为孔隙流体体积模量,GPa,可先由式(26)计算得到M值大小,再根据
当岩石孔隙较小时,孔隙流体具有非均质性,由于气和水的体积模量相差较大,造成体积模量结果变化较大,此时Wood方程的计算结果可能不适用[33]。
2.6 Gassmann-Brie公式
考虑岩石的非均质性及流体类型等因素,当岩石中同时含有气和水时,体积模量可表示为[34]
式中:e为流体混合指数,一般取40。通过式(29)即可推出游离气饱和度计算公式:
3 饱和度模型计算效果对比与分析
由于二维核磁测井不受岩石骨架、井眼、岩性等条件的影响,能够克服以体积模型为基础的常规测井方法计算饱和度的缺陷[35],因此以二维核磁测井计算所得饱和度为基准,对比以上6种方法计算所得饱和度值,分析造成误差的主要原因并指出最适用于研究区的饱和度模型。
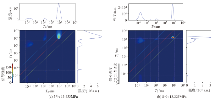
图2为研究区5号与8号煤岩心在不同压力下等温吸附与核磁联测实验结果,所用仪器采样频率为333.333 kHz,主频为21 MHz,回波间隔为0.2 ms。由图可知,研究区煤心的核磁分布呈三峰形态,第一个峰的峰面积随压力变化的规律符合兰格缪尔变化规律[36],说明第一个峰以吸附态甲烷为主,为吸附峰;第二个峰的峰面积与压力呈线性关系,T2时间范围较大,主要反映岩石较大孔隙中的游离态甲烷,为游离峰,这也在一定程度上证实了研究区游离气的存在;第三个峰峰面积也与压力呈线性关系,谱峰右移现象明显,而且其T2时间范围(>100 ms)与自由态甲烷一致[37],所以反映自由空间内的自由甲烷(实验测试时充入样品缸中的甲烷)。
图2
图2
研究区5号与8号煤的等温吸附与核磁联测实验结果
Fig.2
Experimental results of isothermal adsorption and nuclear magnetic co-measurement of coal No.5 and No.8 in the study area
图3为研究区5号和8号煤的二维核磁实验结果。图中显示:5号煤,吸附气的T2值为0.05~0.45 ms、T1值为490~3 700 ms,游离气的T2值为8.5~26 ms、T1值为3 800~10 000 ms;8号煤,吸附气的T2值为0.065~0.62 ms、T1值为280~1 100 ms, 游离气的T2值为8~20 ms、T1值为600~1 100 ms。
图3
图3
研究区煤样品的二维核磁实验结果
Fig.3
Two-dimensional nuclear magnetic experiment results of coal samples in the study area
图4
图4
二维核磁流体识别标准图谱及解析气统计
Fig.4
2D NMR identification standard map and analytical gas statistics
图5
图5
不同方法游离气饱和度计算结果对比
Fig.5
Comparison chart of free gas saturation calculation results using different methods
图5显示阿尔奇公式计算结果与二维核磁结果相差较大。可能阿尔奇公式不适用于深煤层,推测可能是由于裂缝孔隙的影响造成计算结果误差较大,基于数字岩心技术进行实际岩心的模拟仿真或将厘清其影响机制。基于岩性扫描测井改进体积模量计算方法在某些时候计算结果较为准确,比如2号和6号煤样,而其他煤样误差较大,推测可能是由于岩性变化较大所致。对于其他方法,由反推法、Gassmann-Wood和Gassmann-Brie方程计算所得游离气饱和度较稳定,相对误差在0.5以下,推测是由于游离气含量极少、溶解气含量不可忽略以及常规取心过程中气体的损失等因素所致。综合对比显示,Gassmann-Brie方法计算所得游离气饱和度与二维核磁计算所得结果最接近。
实验结果表明,本研究区的游离气含量较少,游离气饱和度总体在9%左右,基于等温吸附及现场解析、反推法、阿尔奇公式、元素改进体积模量方法、Gassmann-Wood公式、Gassmann-Brie方程计算所得游离气饱和度均存在一定程度的误差。这可能是由于煤层深度大、游离气含量较少等因素所致。另外,取心方式也可能是造成计算误差较大的一大因素,研究区多开展的是常规的密闭取心,不同于保压取心,常规取心过程中损失的煤层气(损失气)会造成测试数据失真,导致构建的计算模型偏差较大,需结合密闭取心进一步校正饱和度的计算方法。因此,在构建及优选计算游离气饱和度方法时,应充分考虑样品的具体情况以及方法的适用条件。对于本研究区,等温吸附与现场解析法、反推法及阿尔奇公式不适用;相对而言,Gassmann-Wood公式与Gassmann-Brie方程更适合于本区深层煤层气游离气饱和度的计算。
应用以上6种游离气饱和度计算方法,在CIFLog里挂接程序处理研究区X井(图6)。对比结果可以发现:Gassmann-Wood与Gassmann-Brie方法计算所得游离气饱和度较为接近;基于岩性扫描测井改进体积模量计算方法、反推法与等温吸附与解析法计算结果较为接近且计算结果偏小;阿尔奇公式不适用于深层煤层气的游离气饱和度计算。
图6
图6
研究区X井游离气饱和度计算结果
Fig.6
The calculated results of free gas saturation in Well X of the study area
4 结论
研究区属于勘探开发新区,煤层深度大,实验资料较少,游离气饱和度精准计算困难。本次研究选用不同方法计算游离气饱和度并进行对比分析,可为该区块深层游离气饱和度计算提供参考。通过6种不同方法计算游离气饱和度并与二维核磁计算结果进行对比,表明阿尔奇公式不适用于研究区深层煤层气,等温吸附、现场解析法与反推法计算结果偏小。相对而言,Gassmann-Wood公式与Gassmann-Brie方程计算游离气饱和度的结果较为稳定,更适合于研究区深层煤层气游离气饱和度计算,推测是因其他方法受常规取心所得含气量的误差较大以及游离气含量较少所致。研究区的游离气含量较少,游离气饱和度较小,在9%左右。
参考文献
An approach to grading coalbed methane resources in China for the purpose of implementing a differential production subsidy
[J].
煤层气储层地质研究进展
[J].
Research progress of coalbed methane reservoir geology
[J].
我国“十四五” 煤层气勘探开发新进展与前景展望
[J].
DOI:10.3969/j.issn.1672-7703.2024.01.001
[本文引用: 1]
煤层气开发有助于推动我国早日实现碳达峰碳中和目标。我国煤层气开发已基本实现产业化,但受理论技术等因素制约,发展规模与丰富的资源条件不匹配。“十四五”以来,我国煤层气勘探开发取得5个方面的新进展:一是我国开始进入深层煤层气规模开发新阶段,煤层气产量增速明显加快;二是深层煤层气勘探开发取得重大突破,极大拓展了产业发展空间;三是老气田低效区、薄煤层等难采资源增产改造效果显著;四是与“十三五”期间相比,攻关领域由中—浅层煤层气为主转为以深层煤层气为主,以水平井大规模分段压裂技术为代表的煤层气理论技术在地质认识、钻完井、压裂、排采四大关键环节均取得重大创新,产气效果明显提升;五是煤层气产业发展政策环境持续优化。初步研判,我国深层煤层气资源丰富,埋深大于1500m的煤层气资源量约是1500m以浅的资源量2倍以上;我国已探明煤层气储量以中—浅层为主,但采出程度仅为7%,剩余资源规模可观,而老气田还发育丰富的薄煤层气,已证实是现实接替资源。因此,深层煤层气的重大突破和老气田增产改造的成功成为引领我国煤层气产业加速发展的主要推动力,发展前景良好。在综合多家机构和专家研究结果的基础上,研究认为我国煤层气产量2025年有望达到100×10<sup>8</sup>m<sup>3</sup>,2035年达到300×10<sup>8</sup>m<sup>3</sup>。但我国煤层气快速发展面临着深煤层、薄煤层等新领域煤层气地质理论认识有待深入系统研究,深层煤层气勘探开发工程技术仍处于攻关阶段,产业发展政策支持力度仍有待完善等挑战。因此,建议加强新领域煤层气风险勘探和选区评价、加强高效勘探开发理论技术攻关以及加强煤层气产业政策支持和发展引导。
New progress and prospect of coalbed methane exploration and development in China during the 14th Five-Year Plan period
[J].
沁水盆地榆社武乡区块深部煤层气地质特征研究及可改造性评价
[J].
Study on geological characteristics of deep CBM in Yushewu block,Qinshui basin and evaluation of transformability
[J].
In situ gas content and extraction potential of ultra-deep coalbed methane in the Sichuan basin,China
[J].
Simulation of deep-coalbed-methane permeability and production assuming variable pore-volume compressibility
[J].
鄂尔多斯盆地东缘深部煤层气成藏演化规律与勘探开发实践
[J].
DOI:10.7623/syxb202311002
[本文引用: 1]
中国深部煤层气(埋深>1 500 m)资源丰富,具有吸附气与游离气共存的赋存特征,其赋存状态、成藏特征和开发规律与中—浅部煤层气存在显著差异,成藏演化规律尚不清晰制约了其高效勘探与开发。以鄂尔多斯盆地东缘大宁—吉县区块深部8号煤层为例,通过精细刻画深部煤层气的成藏特征,模拟深部煤层的埋藏演化史、热演化史、生烃演化史,完善了深部煤层气的富集成藏规律和成藏模式,并提出了针对性勘探开发对策。研究结果表明,大宁—吉县区块深部8号煤层全区发育、有机质热演化程度高、干酪根类型为Ⅲ型、生烃潜力大,总生烃强度为(20.2~34.7)×10<sup>8</sup>m<sup>3</sup>/km<sup>2</sup>;深部煤储层发育割理、裂隙、组织孔、胞腔孔、气孔、晶间孔和溶蚀孔等储集空间,为深部游离态煤层气提供了良好的储集条件;构造-岩性-水动力耦合封闭利于深部煤层气保存。研究区深部煤层的成藏演化可以划分为初始生烃阶段(阶段Ⅰ,306~251 Ma)、第1次热成因生烃阶段(阶段Ⅱ,251~203 Ma)、有机质热演化作用减缓阶段(阶段Ⅲ,203~145 Ma)、生烃高峰阶段(阶段Ⅳ,145~130 Ma)和成藏状态定型阶段(阶段Ⅴ,130 Ma至今)5个阶段。研究区深部煤层气表现为游离态与吸附态共存,提出了深部煤层气"广覆式生烃、箱式封闭、微构造调整、自生自储、毯式成藏"的富集成藏规律,建立了微幅褶皱与物性耦合控藏(Ⅰ型)、微幅单斜与水动力耦合控藏(Ⅱ型)、物性与水动力耦合控藏(Ⅲ型)3类深部煤层气成藏模式。研究认识有效指导了大宁—吉县区块深部煤层气勘探有利区的优选,建立了深部煤储层有利区评价指标体系,针对不同成藏模式发育区,提出了差异化开发方案,助力研究区实现了深部煤层气真正意义上的效益开发。研究认识对于中国其他区块开展深部煤层气勘探与开发具有重要参考与借鉴意义。
Evolution law of deep coalbed methane reservoir formation and exploration and development practice in the eastern margin of Ordos Basin
[J].
DOI:10.7623/syxb202311002
[本文引用: 1]
China's deep coalbed methane (CBM) resources, with the burial depths exceeding 1 500 m, are abundant and coexist with adsorbed and free gases. The occurrence state, accumulation characteristics, and development laws of deep CBM differ significantly from those of mid-shallow CBM, and the unclear evolution patterns have restricted its efficient exploration and development. Taking the No.8 deep coal seam in Daning-Jixian block on the eastern margin of Ordos Basin for example, this study finely characterizes the accumulation characteristics of deep CBM and simulates the burial evolution history, thermal evolution history, and hydrocarbon generation history of deep coal seams, thus improving the deep CBM enrichment and accumulation laws and patterns; moreover, the targeted exploration and development strategies are proposed. The results show that the No.8 deep coal seam is widespread in Daning-Jixian block, with high organic matter thermal maturity and Type III kerogen. This indicates significant hydrocarbon generation potential, with the total hydrocarbon intensity of (20.2-34.7) ×10<sup>8</sup>m<sup>3</sup>/km<sup>2</sup>. The deep coal reservoir develops cleats, fractures, texture pores, cell pores, gas pores, intergranular pores, and dissolution pores, providing favorable conditions for the accumulation of deep free-state CBM. The structural-lithologic-hydrodynamic coupling closure is favorable for the preservation of deep CBM. The evolution stages of hydrocarbon accumulation in deep coal seams in the study area include the initial hydrocarbon generation stage (Stage I, 306-251 Ma), the first thermal hydrocarbon generation stage (Stage II, 251-203 Ma), the decreasing stage of organic matter thermal evolution (Stage III, 203-145 Ma), the hydrocarbon generation peak stage (Stage IV, 145-130 Ma), and the final formation stage of the oil/gas accumulation pattern (Stage V, 130 Ma to present). The deep CBM under free and adsorbed states coexist in the study area. On this basis, the paper proposes the hydrocarbon enrichment and accumulation pattern of "wide covering hydrocarbon generation, box-type closure, microstructure adjustment, self-generation and self-storage, and blanket-type accumulation", and establishes three types of deep CBM accumulation models:microfold and physical property coupling control (Type I), microfault monocline and hydrodynamic force coupling control (Type II), and physical property and hydrodynamic force coupling control (Type III) on reservoir accumulation. These understandings can effectively guide the selection of favorable areas for deep CBM exploration in Daning-Jixian block, establish an evaluation index system for favorable areas in deep coal reservoirs, propose differentiated development plans for exploration areas with different accumulation models, and help achieve the truly efficient and low-cost development of deep CBM in the study area. The research findings have important reference significance for carrying out deep CBM exploration and development in other blocks in China.
煤层气系统的定义、内涵、形成及应用——以鄂尔多斯盆地石炭系—二叠系煤层为例
[J].
Definition,connotation,formation and application of coalbed methane system:A case study on the Carboniferous-Permian coal seams in the Ordos Basin
[J].
Evaluation of gas contents for a multi-seam deep coalbed methane reservoir and their geological controls:In situ direct method versus indirect method
[J].
Geological characteristics and coalbed methane adsorbability of shallow coal rock in Qinshui Basin,China
[J].
煤层气赋存的分形特征研究
[J].
DOI:10.6038/cjg2019M0337
[本文引用: 1]
本文利用红外热成像手段,对微小煤样内的甲烷吸附区进行了观察,并评估其吸附特征与在煤中的分布规律.研究表明煤中存在不同尺度与甲烷吸附能力的甲烷富集区,吸附/解吸甲烷时,甲烷富集区比邻近区域具有更明显的升温/降温现象.通过图像处理的方法对不同吸附压力条件下的红外热像图中的甲烷富集区进行提取,采用盒维数进行统计发现甲烷富集区符合分形规律.试验表明随着吸附压力升高,甲烷富集区的分形维数增大,分布初值减小.对两个不同煤田的煤层气富集区进行统计表明:从微米级到千米级尺度范围内,甲烷富集区分布具有分形特征,且分形维数均在1.5~2.00之间.
Study on fractal characteristics of coalbed gas occurrence
[J].
深部煤层气游离气饱和度计算模型及其应用
[J].
A calculation model of free gas saturation in deep coalbed methane reservoirs and its application
[J].
鄂尔多斯盆地东缘深部煤层气高效开发理论技术体系
[J].
Theoretical and technological system for Highly efficient development of deep coalbed methane in the Eastern edge of Erdos Basin
[J].
中国深部煤层气地质研究进展
[J].
DOI:10.7623/syxb202311004
[本文引用: 1]
深部煤层气是中国未来天然气规模性增储上产的重要领域,回顾深部煤层气地质研究历史与进展,评述面临问题和探索方向,可为发展适应性勘探开发技术提供借鉴。分析表明,中国在20余年的深部煤层气地质研究中主要取得3方面进展。第一,界定了深部煤层气基本概念及其科学内涵,发现深部煤层吸附气含量存在临界深度,这一深度主要取决于地温梯度和地应力梯度两者的耦合关系,其他地质因素对临界深度具有调整作用;吸附气含量降低可能导致游离气含量随之增高,结果是形成煤层气在深度序列上的有序聚集,在深部形成富含游离气的高饱和—超饱和煤层气藏。第二,对深部煤层地质属性的研究进展显著,认识到深部煤层吸附性减弱及游离气含量增高是地层压力正效应与地层温度负效应之间动态平衡的结果;发现在深度剖面上地应力状态转折带附近存在煤层"高渗窗",与深部煤层可改造性相关的地层温度、压力指标可能具有"门限"性质,温度补偿效应和变孔隙压缩系数效应可能使得深部煤层渗透率衰减速率显著降低。第三,对深部煤层气成藏作用与地质评价的研究逐渐深入,对成藏作用原理的探讨聚焦在由埋深变化引起的煤层含气性、渗透率垂向分布及其地质控制等5个方面,初步揭示了煤层气成藏"深度效应"。对现场案例进行的剖析经历了由盆地到有利区、由有利区到"甜点"、由控藏到控产的认识深化过程。分析认为,基础地质(成藏作用)、勘查地质(评价优选)、开发地质(动态过程)3方面有机衔接和深度耦合,是面向深部煤层气勘探开发地质—工程一体化所需探索的关键方向,建议未来研究应聚焦"深度效应",包括深部煤层气藏特征的系统描述和气藏工程对地质条件响应的刻画。
Progress on geological research of deep coalbed methane in China
[J].
DOI:10.7623/syxb202311004
[本文引用: 1]
Deep coalbed methane (CBM) will become an important field for China to increase the large-scale natural gas reserves and production in the future. It is of great significance to review the history and progress of the geological research on deep CBM propose and evaluate the existing problems and exploration directions, which can provide a reference for developing applicable exploration and development technologies. Analyses reveal that China has made three major advances in the geological research of deep CBM in the past 20 years. First, the basic concept and its scientific connotation of deep CBM have been defined. It is found that there is a critical depth for the absorbed gas content of deep coalbeds, which mainly depends on the coupling relationship between geothermal gradient and geo-stress gradient, and other geological factors can adjust the critical depth. A decrease in the adsorbed gas content may lead to an increase in free gas content, resulting in the orderly accumulation of CBM in the depth sequence and the formation of highly to super saturated reservoirs with abundant free gas in the deep coal. Second, remarkable progress has been made in research of the geological properties of deep coal reservoirs, and it has been recognized that the weakening adsorption of deep coal reservoirs and the increase of free gas content are resulted from the dynamic equilibrium between the positive effect of pressure and the negative effect of temperature. Moreover, it has been found that there is a "highly permeability window" of coal reservoirs near the transition zone of geo-stress state on the depth profile, and the formation temperature and pressure indices related to the reconstruction of deep coal reservoirs may have a threshold property, and the temperature compensation and variable pore compressibility effects may significantly lower the decay rate of permeability for deep coal reservoirs. Third, an in-depth research is gradually implemented on the accumulation and geological evaluation of deep CBM reservoirs, and the exploration on accumulation mechanism focuses on CBM gas-bearing property formed by buried depth changes, vertical permeability distribution and its geological control, thus initially revealing the "depth effect" for CBM reservoir formation. Through on-site case analysis, the relevant understandings have been deepened and expanded from basin to favorable zone, then to sweet spot and from reservoir control to production control. The analyses suggest that the organic connection and deep coupling of basic geology (reservoir-forming process), exploration geology (evaluation optimization) and development geology (dynamic process) are key directions for the geological-engineering integration in deep CBM exploration and development. Therefore, it is suggested future research should focus on "depth effect", including the systematic description of deep CBM reservoir and the characterization of gas reservoir engineering responses to geological conditions.
深部煤层游离气形成机理及资源意义
[J].
Formation mechanism and resource significance of free gas in deep coalbed
[J].
Geochemical characteristics and depositional environment of coal-measure hydrocarbon source rocks in the northern tectonic belt,kuqa depression
[J].
不同深度岩性差异对库车坳陷构造分段特征的影响
[J].
The influence lithologic differences at different depths on the segmentation between the eastern and the western zones of kuqa depression
[J].
塔里木盆地库车坳陷北部构造带地质特征与勘探潜力
[J].
DOI:10.7623/syxb202107005
[本文引用: 2]
库车坳陷北部构造带是塔里木盆地油气增储上产的重要领域。利用最新的露头、钻井等资料,结合前人的研究成果,通过系统梳理和总结库车坳陷北部构造带的基础地质特征和石油地质条件,分析油气成藏模式和勘探潜力,并与邻区克拉苏构造带进行类比,明确了目前勘探需要解决的关键问题。结果表明,库车坳陷北部构造带的主要含油气层系为下侏罗统阿合组辫状河三角洲平原沉积、下侏罗统阳霞组—中侏罗统克孜勒努尔组辫状河三角洲下平原、三角洲前缘和滨、浅湖沉积;巴什构造段和迪北—吐孜构造段分别发育复杂和简单的基底卷入冲断构造,吐格尔明构造段发育古隆起背景下的基底卷入背斜;新近系库车组沉积期—第四纪为构造定型期;烃源岩主要为三叠系—侏罗系湖相泥岩和煤系地层,中—下侏罗统储层为裂缝性致密砂岩储层;发育3套主要的生-储-盖组合,"源、储、盖"紧邻的组合模式是形成致密砂岩气藏的有利条件;发育3类油气藏,构造-岩性油气藏主要分布在吐格尔明背斜及周缘地区,裂缝性连续型致密砂岩凝析气藏主要分布在迪北—吐孜地区,构造型致密砂岩油气藏主要分布在巴什构造段,均具有"先致密后成藏"的特点。库车坳陷北部构造带整体具备形成规模连片油气藏的潜力,新发现油气圈闭22个,总面积为240 km<sup>2</sup>,预测石油资源量为3 200×10<sup>4</sup>t、天然气资源量为3 500×10<sup>8</sup>m<sup>3</sup>,随着全区三维地震部署的实施,有望发现更多圈闭。库车坳陷北部构造带与克拉苏构造带一样,具备形成大—中型油气田的地质基础。对于库车坳陷北部构造带的油气勘探,需要在油气保存条件、构造精细建模、储层成因机制、钻完井与储层改造工艺优化方面开展进一步的系统研究;勘探层位应以中—下侏罗统为主,兼顾浅层、深层多目的层系,拓宽油气勘探领域。
Geological characteristics and exploration potential of the northern tectonic belt of Kuqa depression in Tarim Basin
[J].
DOI:10.7623/syxb202107005
[本文引用: 2]
The northern tectonic belt of Kuqa depression is a key field for increasing oil and gas reserves and production in Tarim Basin. Using the latest data of outcrop and drilling, in combination with previous research results, this paper analyzes hydrocarbon accumulation models and exploration potentials by systematically summarizing the basic geological characteristics and petroleum geological conditions of the northern tectonic belt of Kuqa depression, then makes a comparison between it and the Kelasu tectonic belt in the adjacent area, and further clarifies the key issues that need to be solved in the current exploration. The results show that the main hydrocarbon-bearing series in the northern tectonic belt of Kuqa depression includes the braided river delta plain deposits in the Lower Jurassic Ahe Formation, the braided river lower delta plain, delta front, shore-shallow lacustrine deposits in the Lower Jurassic Yangxia Formation and Middle Jurassic Kezilenur Formation. Complex and simple basement-involved thrust structures are developed in Bashi tectonic segment and Dibei-Tuzi tectonic section, respectively, and basement-involved anticlines are developed in Tugeerming tectonic segment under the background of paleohigh. The structural forming stage is from the deposition period of Neogene Kuqa Formation to the Quaternary. The source rocks are mainly Triassic-Jurassic lacustrine mudstone and coal-measure strata, and the Middle-Lower Jurassic reservoirs are fractured tight sandstone reservoirs. There are three main sets of source-reservoir-cap assemblages. The combination mode of the adjacent source, reservoir and cap is favorable for the formation of tight sandstone gas reservoirs. There are three types of reservoirs. The structural-lithological reservoirs are mainly distributed in the Tugeerming anticline and its peripheral areas, the fractured continuous tight sandstone condensate gas reservoirs are mainly in the Dibei-Tuzi area, and the structural tight sandstone reservoirs are mainly in the Bashi tectonic segment. They are characterized by "densification first and accumulation later". As a whole, the northern tectonic belt of Kuqa depression has the potential to form large-scale contiguous reservoirs. Twenty-two new oil and gas traps have been discovered, with the total area of 240 km<sup>2</sup>. The predicted oil resources are 3 200×10<sup>4</sup>t, and the natural gas resources are 3 500×10<sup>8</sup>m<sup>3</sup>. With the implementation of 3D seismic deployment in the whole region, more traps are expected to be discovered. The northern tectonic belt of Kuqa depression, like the Kelasu tectonic belt, has the geological basis for the formation of large-medium-sized oil and gas fields. For the oil and gas exploration in the northern tectonic belt of Kuqa depression, it is required to carry out further systematic studies on oil and gas preservation conditions, fine structure modeling, reservoir genesis, drilling and completion, and improvement of reservoir reconstruction technology. The exploration should focus on the Middle-Lower Jurassic horizons, taking into account both shallow and deep target strata, thus broadening the field of oil and gas exploration.
塔里木盆地库车南斜坡托探1井油气勘探重大突破及意义
[J].
DOI:10.3969/j.issn.1672-7703.2023.05.003
[本文引用: 1]
塔里木盆地库车坳陷南部斜坡带温宿—西秋地区托探1井在寒武系潜山白云岩储层获得重大突破,对库车南斜坡迎烃面多目的层潜山勘探具有重要意义。受制于地质条件复杂,该地区的油气富集规律认识不清、地质结构落实及圈闭刻画难度大,制约了潜山油气勘探。基于构造特征、潜山地层分布、生—储—盖组合、油气输导体系及勘探实践的系统分析,探讨了潜山油气成藏新模式。温宿—西秋地区古生界构造为受前冲断裂沙井子—西秋断裂和反冲断裂乌什南断裂控制的背冲式构造,F1和F2两条次级反冲断裂使得背冲构造复杂化,形成3排古生界潜山构造,每排构造自近断层到远断层区古生界潜山地层由老变新。其中寒武系潜山地层分布范围最广、呈北东东向大面积展布,潜山储层以局限台地颗粒滩相白云岩为主,受多期构造活动、长时期暴露溶蚀叠加改造,裂缝—孔洞型白云岩优质储层规模连片发育。潜山油气藏表现为三叠系黄山街组和侏罗系恰克马克组泥岩联合供烃、裂缝—孔洞型白云岩成储、上覆古近系膏盐岩封盖的生—储—盖组合样式;成藏具有“库车油气远源供烃、不整合面输导、迎烃面构造富集”的特征,主要成藏期在喜马拉雅晚期(4—1Ma)。托探1井的成功钻探,证实了温宿—西秋地区多排多类型潜山巨大的勘探潜力,重新刻画潜山圈闭面积近840km<sup>2</sup>、石油资源量约2.0×10<sup>8</sup>t、天然气资源量约590×10<sup>8</sup>m<sup>3</sup>,有望成为油气增储上产新的战略接替区。
Major breakthrough and significance of petroleum exploration in Well Tuotan 1 on the south slope of Kuqa Depression,Tarim Basin
[J].
Evidence of deep fluid activity in Jurassic tight sandstone reservoirs in the Northern Kuqa Depression
[J].
塔里木盆地库车坳陷北部构造带地质结构与油气勘探领域
[J].
Geological structures and petroleum exploration fields of the northern tectonic belt in the Kuqa depression,Tarim basin
[J].
沁水盆地南部含气饱和度特征
[J].
Characteristics of gas saturation in south of Qinshui basin
[J].
高精度全压力全温度范围天然气偏差系数解析计算模型
[J].
A high-precision and whole pressure temperature range analytical calculation model of natural gas Z-factor
[J].
Development of material balance equations for coalbed methane reservoirs considering dewatering process,gas solubility,pore compressibility and matrix shrinkage
[J].
基于电阻率测井的高阶煤层割理孔渗评价方法及效果分析
[J].
Evaluation method and effect analysis of cleat porosity and permeability in high-rank coal bed based on resistivity logging
[J].
基于核磁共振与电阻率测井的煤储层孔隙性评价
[J].
DOI:10.11799/ce201708037
[本文引用: 1]
针对实验方法获取孔隙度存在单点性和成本昂贵等问题,文章在核磁共振实验分析煤储层孔隙结构和探讨阿尔奇公式在煤层评价中适用性的基础上,创新性地提出了利用核磁数据校正电阻率资料求取的煤储层裂隙孔隙度,获得了电阻率资料有效评价煤储层裂隙孔隙度的方法,取得了较好的效果。实例工区的研究结果表明:该地区核磁T2谱呈现明显的双峰形态,左峰表示吸附孔隙,在离心前后变化小;阿尔奇法计算得到的孔隙度主要反映的是煤储层的裂隙孔隙度;通过核磁技术校正的煤储层裂隙孔隙度精度更高。
Coal seam porosity evaluation based on nuclear magnetic experiment and resistivity log
[J].
基于体积模量的储层含气性定量评价方法
[J].
Quantitative evaluation method of gas bearing based on volume modulus in reservoir
[J].
基于数字岩心模拟的深层页岩气储层可压性评价模型
[J].
Fracturing properties model of deep shale gas reservoir based on digital core simulation
[J].
Elastic waves through a packing of spheres
[J].
孔隙度和含气饱和度的弹性模量计算方法
[J].
Porosity and gas-saturation determination using elastic moduli
[J].
Shear sonic interpretation in gas-bearing sands
[C]//
二维核磁共振测井在柴达木盆地复杂储层流体识别中的应用
[J].
Application of 2D NMR logging on complex reservoir fluid identification in Qaidam basin
[J].
基于核磁共振弛豫谱技术的页岩储层物性与流体特征研究
[J].
Petrophysical properties and fluids transportation in gas shale:A NMR relaxation spectrum analysis method
[J].
基于核磁共振技术的煤层含气量评价方法
[J].
Evaluating method of gas content of coalbed methane based on nuclear magnetic resonance technology
[J].
页岩油储层孔隙流体的全直径岩心二维核磁共振图谱特征及评价方法
[J].
DOI:10.3969/j.issn.1672-7703.2023.03.011
[本文引用: 1]
如何客观评价页岩油层中的孔隙流体,准确测量和定量表征页岩油及致密油储层含油饱和度与可动油含量等参数,已经成为当前急需解决的重要技术难题。通过率先在国内引入车载移动式全直径岩心核磁共振测量仪,开展了页岩油岩心现场测试分析和评价研究工作,实现了现场对钻井取心进行连续、高精度、无损的快速核磁共振扫描,弥补了核磁共振测井和室内岩心实验的不足,填补了国内页岩油全直径岩心现场测量技术空白。结合现场岩心描述、其他配套实验数据及试油验证,系统总结出不同流体组分的二维核磁共振T<sub>1</sub>—T<sub>2</sub>图谱特征,明确了不同孔径中油、水信号的T<sub>1</sub>/T<sub>2</sub>比值变化规律,建立了基于全直径岩心二维核磁共振谱特征的孔隙流体组分分析方法及识别标准,实现页岩油、致密油及复杂碎屑岩等储层孔隙流体组分准确识别与流体饱和度定量解释。车载移动式全直径岩心二维核磁共振测量技术方法在松辽盆地古龙页岩油、鄂尔多斯盆地长7<sub>3</sub>页岩油、河套盆地勘探评价中发挥了重要作用,在大庆、长庆、西南、华北、新疆等致密油气田已规模应用,取得良好效果。
Full diameter core 2D NMR spectrum characteristics of pore fluid in shale oil reservoir and evaluation method
[J].
/
| 〈 |
|
〉 |
