克孜勒努尔组深层煤层游离气含气饱和度计算 |
| 别康, 蔡天, 信毅, 刘粤蛟, 韩闯, 孙建孟 |
|
Calculation of free gas saturation in deep coal seams in the Kezilenuer Formation |
| BIE Kang, CAI Tian, XIN Yi, LIU Yue-Jiao, HAN Chuang, SUN Jian-Meng |
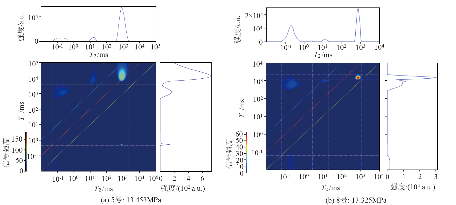
| 图3 研究区煤样品的二维核磁实验结果 |
| Fig.3 Two-dimensional nuclear magnetic experiment results of coal samples in the study area |
|