|
|
|
| Chronology and geochemical characteristics of trachytes in the Tiaojishan Formation, Xuanhua Basin, northwestern Hebei Province, and their geological implications |
YANG Ji-Yuan1( ), HU Xin-Zhuo2( ), ZHOU Jing1, QI Peng-Chao3, LI Ze-Yang1, MENG Jia-Bao1, XU Fan1, ZHANG Hui-Bin1, QI Hui-Yun1 |
1. Hebei Institute of Regional Geological Survey(Geotourism Research Center of Hebei Province), Langfang 065000, China 2. Langfang Natural Resources Comprehensive Survey Center, China Geological Survey, Langfang 065000, China 3. No. 6 Geological Team of Hebei Bureau of Geology and Mineral Resources Exploration, Shijiazhuang 050000, China |
|
|
|
|
Abstract The Tiaojishan Formation in northwestern Hebei Province is home to volcanic-sedimentary strata. Due to the lack of fossil organisms, insufficient isotopic dating data, and outdated dating methods, the formation epochs of these strata have been controversial. To accurately determine their formation epochs and examine their regional geotectonic setting, this study conducted a detailed field investigation of the lithologic assemblage of the Tiaojishan Formation in the Xuanhua Basin. Petrological, petrogeochemical, and high-precision isotopic dating studies were conducted on the trachytic volcanic rocks in the upper segment of the formation, obtaining the LA-ICP-MS-based zircon U-Pb isotopic ages, which were 161.1±1.2 Ma and 162.5±1.3Ma. As indicated by the petrological and petrogeochemical characteristics, these trachytic volcanic rocks belong to the shoshonite series, exhibiting enriched light rare earth elements, relatively enriched elements including Rb, K, Th, Ce, Zr, and Hf, and relatively depleted Ba, Nb, Sr, P, and Ti. According to the comparison of principal parameters and graphical discrimination, the magma originated primarily from the melting of continental crustal materials and formed in the tectonic setting of compressional continental margin volcanic arcs. The comprehensive research reveals that the Tiaojishan Formation formed primarily during the Middle Jurassic and continued to the Late Jurassic, and the trachytic volcanic rocks in its upper segment formed in the intraplate compressional tectonic setting. The results of this study provide new data for the division and correlation of Mesozoic volcanic-sedimentary strata and the analysis of their formation environment.
|
|
Received: 08 October 2022
Published: 26 February 2024
|
|
|
|
|
|
31])and geological sketch (b) of the Xuanhua Basin (simplified according to Bai C D,et al[32]) 1—Quaternary;2—Zhangjiakou Formation;3—Tuchengzi Formation;4—the second section of Tiaojishan Formation;5—the first section of Tiaojishan Formation;6—Jiulongshan Formation;7—Wumishan Formation;8—Gaoyuzhuang Formation;9—granite porphyry;10—angle unconformity contact boundary;11—normal fault and dip;12—fault of unknown nature;13—Feilaifeng structure;14—formation occurrrence;15—volcanic crater;16—sampling position ">
|
Sketch map of the regional structure (a) (simplified according to Zhen S M, et al. [31])and geological sketch (b) of the Xuanhua Basin (simplified according to Bai C D,et al[32]) 1—Quaternary;2—Zhangjiakou Formation;3—Tuchengzi Formation;4—the second section of Tiaojishan Formation;5—the first section of Tiaojishan Formation;6—Jiulongshan Formation;7—Wumishan Formation;8—Gaoyuzhuang Formation;9—granite porphyry;10—angle unconformity contact boundary;11—normal fault and dip;12—fault of unknown nature;13—Feilaifeng structure;14—formation occurrrence;15—volcanic crater;16—sampling position
|
|
Field outcrops(a~d) and photomicrographs(e~f) of trachytes in the Tiaojishan Formation, Xuanhua Basin (Kfs: potassium feldspar)
|
| 样品号 | 含量/10-6 | 同位素比值 | 年龄/Ma | | Pb | 232Th | 238U | Th/U | 207Pb/ 235U | 2σ | 206Pb/ 238U | 2σ | 207Pb/ 206Pb | 2σ | 208Pb/ 232Th | 2σ | 206Pb/ 238U | 2σ | 207Pb/ 235U | 2σ | 208Pb/ 232Th | 2σ | | D2022-1 | 3.0 | 62.5 | 94.0 | 0.66 | 0.177 | 0.021 | 0.0251 | 0.0007 | 0.0515 | 0.006 | 0.0081 | 0.0007 | 159.7 | 4.5 | 162.0 | 18.0 | 162.0 | 14.0 | | D2022-2 | 2.6 | 66.1 | 77.4 | 0.85 | 0.181 | 0.028 | 0.0253 | 0.0008 | 0.0530 | 0.009 | 0.0086 | 0.0007 | 161.0 | 5.3 | 162.0 | 24.0 | 174.0 | 14.0 | | D2022-3* | 6.0 | 57.2 | 82.9 | 0.69 | 1.490 | 0.190 | 0.0305 | 0.0014 | 0.3230 | 0.034 | 0.0399 | 0.0043 | 193.6 | 8.5 | 829.0 | 73.0 | 784.0 | 82.0 | | D2022-4 | 2.3 | 46.0 | 74.5 | 0.62 | 0.179 | 0.029 | 0.0254 | 0.0011 | 0.0504 | 0.008 | 0.0079 | 0.0010 | 161.9 | 6.8 | 160.0 | 25.0 | 160.0 | 21.0 | | D2022-5 | 3.2 | 63.3 | 100.8 | 0.63 | 0.164 | 0.021 | 0.0251 | 0.0007 | 0.0478 | 0.006 | 0.0086 | 0.0007 | 159.7 | 4.6 | 149.0 | 18.0 | 173.0 | 13.0 | | D2022-6 | 2.8 | 58.3 | 85.7 | 0.68 | 0.165 | 0.021 | 0.0253 | 0.0007 | 0.0485 | 0.006 | 0.0083 | 0.0007 | 161.3 | 4.7 | 149.0 | 19.0 | 167.0 | 13.0 | | D2022-7 | 2.8 | 58.7 | 84.6 | 0.69 | 0.178 | 0.024 | 0.0254 | 0.0008 | 0.0513 | 0.007 | 0.0085 | 0.0007 | 161.8 | 4.7 | 161.0 | 21.0 | 170.0 | 13.0 | | D2022-8 | 2.7 | 48.8 | 88.6 | 0.55 | 0.166 | 0.019 | 0.0251 | 0.0008 | 0.0477 | 0.006 | 0.0083 | 0.0009 | 159.7 | 4.7 | 151.0 | 17.0 | 166.0 | 18.0 | | D2022-9 | 2.1 | 36.3 | 67.6 | 0.54 | 0.162 | 0.025 | 0.0255 | 0.0008 | 0.0458 | 0.007 | 0.0093 | 0.0009 | 162.0 | 5.1 | 145.0 | 22.0 | 187.0 | 17.0 | | D2022-10 | 2.6 | 45.8 | 81.0 | 0.56 | 0.175 | 0.021 | 0.0253 | 0.0007 | 0.0531 | 0.007 | 0.0089 | 0.0008 | 161.0 | 4.4 | 158.0 | 18.0 | 180.0 | 15.0 | | D2022-11 | 2.9 | 57.3 | 82.9 | 0.69 | 0.201 | 0.037 | 0.0253 | 0.0009 | 0.0610 | 0.011 | 0.0093 | 0.0013 | 161.1 | 5.4 | 176.0 | 31.0 | 187.0 | 27.0 | | D2022-12 | 2.4 | 46.6 | 80.6 | 0.58 | 0.175 | 0.033 | 0.0251 | 0.0009 | 0.0498 | 0.009 | 0.0084 | 0.0010 | 160.0 | 5.7 | 157.0 | 28.0 | 169.0 | 20.0 | | D2022-13 | 2.4 | 39.9 | 73.2 | 0.55 | 0.163 | 0.035 | 0.0250 | 0.0010 | 0.0500 | 0.010 | 0.0097 | 0.0013 | 159.3 | 6.5 | 148.0 | 31.0 | 194.0 | 27.0 | | D2022-14 | 2.1 | 39.8 | 64.9 | 0.61 | 0.175 | 0.026 | 0.0251 | 0.0008 | 0.0500 | 0.008 | 0.0080 | 0.0008 | 159.7 | 4.9 | 154.0 | 22.0 | 162.0 | 17.0 | | D2022-15 | 1.6 | 30.2 | 53.4 | 0.57 | 0.169 | 0.040 | 0.0257 | 0.0012 | 0.0500 | 0.012 | 0.0080 | 0.0012 | 163.6 | 7.5 | 154.0 | 36.0 | 161.0 | 23.0 | | D2022-16 | 2.9 | 56.6 | 83.5 | 0.68 | 0.191 | 0.025 | 0.0256 | 0.0009 | 0.0552 | 0.007 | 0.0088 | 0.0009 | 163.0 | 5.8 | 174.0 | 22.0 | 177.0 | 18.0 | | D2022-17 | 3.3 | 88.8 | 92.9 | 0.96 | 0.201 | 0.046 | 0.0261 | 0.0014 | 0.0570 | 0.014 | 0.0084 | 0.0013 | 166.0 | 8.7 | 181.0 | 39.0 | 169.0 | 26.0 | | D2022-18 | 1.7 | 30.1 | 52.8 | 0.57 | 0.166 | 0.035 | 0.0254 | 0.0011 | 0.0480 | 0.010 | 0.0091 | 0.0013 | 161.3 | 6.9 | 148.0 | 30.0 | 182.0 | 26.0 | | D2022-19 | 1.9 | 32.8 | 59.8 | 0.55 | 0.180 | 0.032 | 0.0250 | 0.0010 | 0.0540 | 0.010 | 0.0084 | 0.0013 | 159.2 | 6.6 | 160.0 | 27.0 | 169.0 | 26.0 | | D2022-20 | 2.0 | 39.1 | 62.4 | 0.63 | 0.174 | 0.025 | 0.0257 | 0.0009 | 0.0502 | 0.008 | 0.0088 | 0.0010 | 163.7 | 5.6 | 158.0 | 22.0 | 176.0 | 20.0 |
|
Chronological analysis results of trachyte (D2022) zircon by LA-ICP-MS
|
| 样品号 | 含量/10-6 | 同位素比值 | 年龄/Ma | | Pb | 232Th | 238U | Th/U | 207Pb/ 235U | 2σ | 206Pb/ 238U | 2σ | 207Pb/ 206Pb | 2σ | 208Pb/ 232Th | 2σ | 206Pb/ 238U | 2σ | 207Pb/ 235U | 2σ | 208Pb/ 232Th | 2σ | | D3511-1* | 7.7 | 151.8 | 187.0 | 0.81 | 0.24 | 0.035 | 0.0326 | 0.0008 | 0.05 | 0.0075 | 0.0112 | 0.0010 | 206.9 | 4.8 | 217.0 | 29.0 | 226.0 | 21.0 | | D3511-2 | 64.9 | 2168.0 | 1695.0 | 1.28 | 0.18 | 0.007 | 0.0256 | 0.0005 | 0.05 | 0.0016 | 0.0080 | 0.0002 | 162.8 | 2.8 | 167.0 | 5.7 | 161.3 | 3.4 | | D3511-3* | 29.8 | 509.0 | 455.0 | 1.12 | 0.33 | 0.016 | 0.0452 | 0.0008 | 0.05 | 0.0026 | 0.0142 | 0.0004 | 285.1 | 4.8 | 285.0 | 12.0 | 285.8 | 7.3 | | D3511-4* | 105.9 | 100.7 | 462.0 | 0.22 | 2.07 | 0.072 | 0.1869 | 0.0037 | 0.08 | 0.0028 | 0.0629 | 0.0033 | 1104.0 | 20.0 | 1136.0 | 24.0 | 1232.0 | 62.0 | | D3511-5* | 15.6 | 117.4 | 206.1 | 0.57 | 0.46 | 0.044 | 0.0593 | 0.0013 | 0.06 | 0.0055 | 0.0186 | 0.0013 | 371.5 | 7.9 | 378.0 | 31.0 | 372.0 | 25.0 | | D3511-6* | 19.1 | 331.2 | 498.0 | 0.67 | 0.21 | 0.017 | 0.0282 | 0.0008 | 0.05 | 0.0049 | 0.0087 | 0.0006 | 179.1 | 4.9 | 193.0 | 14.0 | 174.0 | 12.0 | | D3511-7* | 15.7 | 207.2 | 241.0 | 0.86 | 0.34 | 0.026 | 0.0459 | 0.0010 | 0.05 | 0.0041 | 0.0149 | 0.0007 | 289.2 | 6.1 | 292.0 | 20.0 | 299.0 | 14.0 | | D3511-8* | 13.2 | 250.8 | 190.6 | 1.32 | 0.35 | 0.033 | 0.0458 | 0.0013 | 0.06 | 0.0054 | 0.0138 | 0.0008 | 288.6 | 8.0 | 299.0 | 25.0 | 277.0 | 16.0 | | D3511-9* | 34.1 | 490.0 | 486.0 | 1.01 | 0.37 | 0.016 | 0.0494 | 0.0009 | 0.05 | 0.0024 | 0.0153 | 0.0004 | 311.0 | 5.2 | 315.0 | 12.0 | 307.3 | 7.7 | | D3511-10 | 22.4 | 600.0 | 647.0 | 0.93 | 0.18 | 0.007 | 0.0255 | 0.0004 | 0.05 | 0.0021 | 0.0083 | 0.0002 | 162.4 | 2.4 | 165.8 | 6.3 | 166.7 | 4.4 | | D3511-11 | 16.6 | 351.7 | 503.4 | 0.70 | 0.18 | 0.010 | 0.0255 | 0.0005 | 0.05 | 0.0029 | 0.0078 | 0.0003 | 162.2 | 2.9 | 166.7 | 8.9 | 157.5 | 6.5 | | D3511-12* | 29.2 | 502.0 | 441.0 | 1.14 | 0.35 | 0.033 | 0.0447 | 0.0013 | 0.06 | 0.0048 | 0.0141 | 0.0007 | 281.7 | 7.9 | 303.0 | 24.0 | 282.0 | 13.0 | | D3511-13 | 9.0 | 221.6 | 265.0 | 0.84 | 0.18 | 0.012 | 0.0257 | 0.0005 | 0.05 | 0.0032 | 0.0082 | 0.0003 | 163.5 | 3.1 | 164.0 | 10.0 | 165.5 | 6.4 | | D3511-14* | 198.1 | 109.7 | 304.0 | 0.36 | 11.80 | 0.190 | 0.4927 | 0.0073 | 0.17 | 0.0022 | 0.1374 | 0.0028 | 2581.0 | 32.0 | 2586.0 | 15.0 | 2601.0 | 50.0 | | D3511-15 | 3.5 | 90.1 | 96.1 | 0.94 | 0.19 | 0.027 | 0.0253 | 0.0008 | 0.05 | 0.0074 | 0.0086 | 0.0006 | 161.1 | 4.7 | 168.0 | 23.0 | 174.0 | 13.0 | | D3511-16* | 39.3 | 493.0 | 591.0 | 0.83 | 0.35 | 0.035 | 0.0473 | 0.0012 | 0.05 | 0.0056 | 0.0155 | 0.0008 | 297.6 | 7.2 | 303.0 | 26.0 | 310.0 | 16.0 | | D3511-17 | 45.6 | 699.0 | 596.0 | 1.17 | 0.65 | 0.028 | 0.0488 | 0.0009 | 0.10 | 0.0046 | 0.0192 | 0.0005 | 307.2 | 5.7 | 500.0 | 17.0 | 384.0 | 10.0 | | D3511-18* | 234.3 | 342.3 | 311.5 | 1.10 | 11.59 | 0.190 | 0.4840 | 0.0074 | 0.17 | 0.0028 | 0.1335 | 0.0022 | 2543.0 | 32.0 | 2573.0 | 15.0 | 2532.0 | 40.0 |
|
Chronological analysis results of trachyte (D3511) zircon by LA-ICP-MS
|
| 样品号 | PM17-38-1 | PM17-41-1 | PM17-44-1 | D2022 | D3511 | D4021-1 | D4021-2 | D4022-1 | | SiO2 | 64.60 | 65.62 | 63.35 | 68.96 | 63.18 | 62.72 | 61.19 | 63.96 | | TiO2 | 0.90 | 0.97 | 0.99 | 0.34 | 0.99 | 1.04 | 1.02 | 0.96 | | Al2O3 | 13.76 | 14.52 | 14.64 | 15.46 | 14.55 | 15.34 | 15.24 | 14.47 | | Fe2O3 | 5.83 | 4.42 | 6.66 | 1.43 | 5.40 | 6.50 | 8.63 | 7.72 | | FeO | 0.33 | 0.55 | 1.14 | 0.49 | 0.63 | 0.18 | 0.18 | 0.12 | | MnO | 0.137 | 0.076 | 0.12 | 0.040 | 0.130 | 0.042 | 0.066 | 0.043 | | MgO | 0.45 | 0.50 | 0.55 | 0.87 | 1.34 | 0.39 | 0.51 | 0.32 | | CaO | 2.26 | 1.55 | 0.90 | 2.35 | 1.57 | 1.07 | 1.20 | 1.11 | | Na2O | 4.00 | 4.37 | 4.39 | 3.45 | 4.31 | 4.18 | 3.79 | 3.20 | | K2O | 5.45 | 5.75 | 5.81 | 4.34 | 5.63 | 6.10 | 5.86 | 5.74 | | P2O5 | 0.282 | 0.312 | 0.32 | 0.149 | 0.330 | 0.337 | 0.324 | 0.306 | | 灼失量 | 1.87 | 1.19 | 0.89 | 1.83 | 1.77 | 2.00 | 1.88 | 1.97 | | Total | 99.91 | 99.89 | 99.88 | 99.76 | 99.90 | 99.89 | 99.89 | 99.91 | | A/NK | 1.10 | 1.08 | 1.08 | 1.49 | 1.10 | 1.14 | 1.21 | 1.26 | | A/CNK | 0.87 | 0.94 | 1.02 | 1.08 | 0.95 | 1.05 | 1.09 | 1.13 | | La | 51.90 | 55.50 | 53.70 | 43.20 | 52.70 | 45.40 | 54.00 | 53.20 | | Ce | 96.10 | 105.00 | 108.00 | 74.30 | 99.60 | 93.70 | 109.00 | 112.00 | | Pr | 12.90 | 13.50 | 13.60 | 7.86 | 12.70 | 12.00 | 13.30 | 13.60 | | Nd | 49.70 | 51.50 | 52.40 | 27.50 | 49.40 | 47.40 | 51.70 | 53.00 | | Sm | 9.57 | 9.16 | 9.03 | 4.04 | 9.14 | 9.17 | 9.34 | 9.80 | | Eu | 2.74 | 2.84 | 2.81 | 1.30 | 2.68 | 3.41 | 3.09 | 2.95 | | Gd | 8.57 | 7.86 | 8.16 | 3.47 | 7.83 | 8.33 | 8.29 | 8.73 | | Tb | 1.37 | 1.26 | 1.30 | 0.48 | 1.30 | 1.40 | 1.38 | 1.47 | | Dy | 7.96 | 7.07 | 7.09 | 2.30 | 7.69 | 6.84 | 7.09 | 7.74 | | Ho | 1.50 | 1.34 | 1.40 | 0.44 | 1.46 | 1.24 | 1.35 | 1.51 | | Er | 4.05 | 3.65 | 4.07 | 1.39 | 4.15 | 3.43 | 3.87 | 4.34 | | Tm | 0.60 | 0.54 | 0.68 | 0.22 | 0.65 | 0.49 | 0.58 | 0.68 | | Yb | 3.66 | 3.17 | 4.18 | 1.60 | 3.98 | 2.85 | 3.57 | 4.20 | | Lu | 0.57 | 0.48 | 0.63 | 0.26 | 0.64 | 0.42 | 0.53 | 0.61 | | Y | 38.70 | 34.50 | 37.80 | 13.20 | 38.60 | 31.80 | 33.90 | 41.10 | | Rb | 101.00 | 106.00 | 108.00 | 101.00 | 90.10 | 92.90 | 101.00 | 103.00 | | Ba | 356.00 | 386.00 | 370.00 | 1255.00 | 340.00 | 377.00 | 312.00 | 267.00 | | Th | 7.99 | 8.21 | 7.84 | 7.84 | 7.45 | 8.24 | 9.05 | 8.80 | | U | 1.62 | 1.69 | 1.62 | 1.23 | 1.88 | 1.53 | 1.51 | 1.71 | | Nb | 19.70 | 21.00 | 20.90 | 13.80 | 19.80 | 18.90 | 19.80 | 19.90 | | Sr | 36.90 | 31.00 | 32.20 | 433.00 | 54.80 | 74.40 | 38.80 | 46.60 | | Zr | 325.00 | 358.00 | 375.00 | 147.00 | 336.00 | 369.00 | 379.00 | 385.00 | | Hf | 8.44 | 8.69 | 8.86 | 4.05 | 8.25 | 9.27 | 9.26 | 9.02 | | Ga | 23.00 | 24.70 | 24.50 | 16.00 | 24.00 | 23.80 | 24.50 | 24.60 | | Ta | 1.12 | 1.13 | 1.35 | 1.00 | 1.09 | 1.21 | 1.21 | 1.14 | | V | 12.00 | 7.02 | 6.62 | 28.40 | 5.12 | 51.80 | 24.40 | 35.50 | | Co | 2.11 | 1.09 | 1.25 | 3.26 | 2.38 | 1.84 | 1.29 | 0.91 | | Ni | 3.33 | 1.97 | 2.87 | 2.46 | 3.02 | 1.13 | 0.98 | 1.26 | | ∑REE | 251.16 | 262.49 | 267.08 | 168.47 | 253.92 | 236.10 | 267.00 | 273.96 | | LREE | 222.90 | 237.13 | 239.57 | 158.30 | 226.22 | 21110.00 | 240.34 | 244.68 | | HREE | 28.27 | 25.36 | 27.52 | 10.16 | 27.69 | 25.00 | 26.65 | 29.29 | LREE/ HREE | 7.89 | 9.35 | 8.71 | 15.57 | 8.17 | 8.45 | 9.02 | 8.35 | | La/Yb | 10.19 | 12.54 | 9.22 | 19.34 | 9.51 | 11.46 | 10.87 | 9.08 | | δEu | 0.92 | 1.02 | 1.00 | 1.06 | 0.97 | 1.19 | 1.07 | 0.97 | | δCe | 0.91 | 0.94 | 0.98 | 0.99 | 0.94 | 0.99 | 0.99 | 1.02 |
|
Analysis results of major elements (%), trace elements and rare earth elements (10-6) of trachytes in the Tiaojishan Formation
|
|
Zircon cathodoluminescence images of trachytes in the Tiaojishan Formation, Xuanhua Basin
|
|
Consonance map and weighted average age of U-Pb ages of trachytes in the Tiaojishan Formation, Xuanhua Basin a—D2022;b—D3511
|
39] and w(K2O)-w(SiO2) diagram (b)[40-41]of trachytes in the Tiaojishan Formation, Xuanhua Basin 1—picrite basalt;2—basalt;3—basaltic andesite;4—andesite;5—dacite;6—rhyolite; 7—trachybasalt;8—basaltic trachyandesite;9—trachyandesite;10—trachyte,trachyte dacite; 11—phonolite;12—alkalinite phonolite;13—phonolitic alkali basalt;14—alkali basalt, basalt; 15—subfeldspar rock ">
|
TAS diagram (a) [39] and w(K2O)-w(SiO2) diagram (b)[40-41]of trachytes in the Tiaojishan Formation, Xuanhua Basin 1—picrite basalt;2—basalt;3—basaltic andesite;4—andesite;5—dacite;6—rhyolite; 7—trachybasalt;8—basaltic trachyandesite;9—trachyandesite;10—trachyte,trachyte dacite; 11—phonolite;12—alkalinite phonolite;13—phonolitic alkali basalt;14—alkali basalt, basalt; 15—subfeldspar rock
|
42],primitive mantle normalized values according to Sun and McDonough[43]) ">
|
Chondrite-normalized rare earth element distribution map (a) and spider diagram of primitive mantle normalized trace elements (b) of trachytes in the Tiaojishan Formation, Xuanhua Basin(standardized values for chondrites according to Bounton[42],primitive mantle normalized values according to Sun and McDonough[43])
|
|
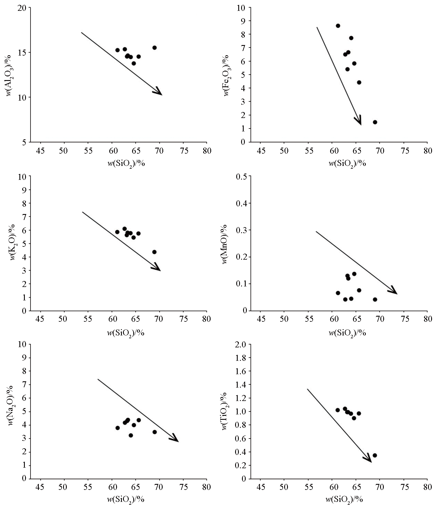
Harker diagram of major elements of trachytes in the Tiaojishan Formation, Xuanhua Basin
|
53] and Sr/Y—Y diagram (b)[54] of trachytes in the Tiaojishan Formation,Xuanhua Basin ">
|
A/FM—C/FM diagram (a)[53] and Sr/Y—Y diagram (b)[54] of trachytes in the Tiaojishan Formation,Xuanhua Basin
|
64?-66] WPG—intraplate granite; VAG—volcanic arc granite; syn-COLG—syncolliding granite; ORG—mid-ocean ridge plagiogranite;1—mantle plagioclase granite; 2 —destructive active plate margin (pre-plate collision) granite; 3—post-plate collision uplift granite; 4—late orogenic granite; 5—A-type granite in non-orogenic mountains; 6—syncollision S-type granite; 7—post-orogenic A-type granite ">
|
Discrimination map of trachytes in the Tiaojishan Formation, Xuanhua Basin[64?-66] WPG—intraplate granite; VAG—volcanic arc granite; syn-COLG—syncolliding granite; ORG—mid-ocean ridge plagiogranite;1—mantle plagioclase granite; 2 —destructive active plate margin (pre-plate collision) granite; 3—post-plate collision uplift granite; 4—late orogenic granite; 5—A-type granite in non-orogenic mountains; 6—syncollision S-type granite; 7—post-orogenic A-type granite
|
| [1] |
Zorin Y A. Geodynamics of the western part of the Mongolia-Okhotsk collisional belt,Trans-Baikal region (Russia) and Mongolia[J]. Tectonophysics, 1999, 306:33-56.
|
| [2] |
Zhang H, Wang M, Liu X. LA-ICP-MS dating of Zhangjiakou Formation volcanic rocks in the Zhangjiakou region and its geological significance[J]. Progress in Natural Science, 2008, 18:975-981.
|
| [3] |
Zhang S H, Zhao Y, Liu X C, et al. Late Paleozoic to early Mesozoic mafic-ultramafic complexes from the northern North China Block:Constraints on the composition and evolution of the lithospheric mantle[J]. Lithos, 2009, 110:229-246.
|
| [4] |
Liu S F, Lin C F, Liu X B, et al. Syn-tectonic sedimentation and its linkage to fold-thrusting in the region of Zhangjiakou,North Hebei,China[J]. Science China:Earth Sciences, 2018, 61:681-710.
|
| [5] |
马寅生, 崔盛芹, 赵越, 等. 华北北部中新生代构造体制的转换过程[J]. 地质力学学报, 2002, 8(1):15-25.
|
| [5] |
Ma Y S, Cui S Q, Zhao Y, et al. The transformation process of Mesozoic-Cenozoic tectonic system in northern North China[J]. Chinese Journal of Geomechanics, 2002, 8(1):15-25.
|
| [6] |
Wong W H. Crustal movenments and igneous activities in eastern China since Mesozoic time[J]. Bulletin of the Geological Society of China, 1927, 6(1):9-36.
|
| [7] |
Wong W H. The Mesozoic orofenic movenment in Eastern China[J]. Bulletin of the Geological Society of China, 1929, 8(1):33-44.
|
| [8] |
赵越, 高海龙, 张拴宏, 等. 回眸燕山运动——致敬“燕山运动”的创建者和中国地质学会的奠基人翁文灏[J]. 地质学报, 2022, 96(5):1510-1523.
|
| [8] |
Zhao Y, Gao H L, Zhang S H, et al. A brief century review of the “Yanshan Movement” and its founder[J]. Acta Geologica Sinica, 2022, 96(5):1510-1523.
|
| [9] |
乜长顺. 辽西宁城盆地中侏罗世同构造沉积对燕山运动A幕的指示[D]. 北京: 中国地质大学(北京), 2021.
|
| [9] |
Nie C S. Middlle Jurassic syntectonic deposits in Ningcheng basin,western Liaoning Province:Implications for phase A of Yanshan movement[D]. Beijing: China University of Geosciences (Beijing), 2021.
|
| [10] |
赵越, 杨振宇, 马醒华. 东亚大陆构造发展的重要转折[J]. 地质科学, 1994, 29(2):105-119.
|
| [10] |
Zhao Y, Yang Z Y, Ma X H. An important turning point in the tectonic development of the East Asian continent[J]. Geological Sciences, 1994, 29(2):105-119.
|
| [11] |
赵越, 徐刚, 张拴宏, 等. 燕山运动与东亚构造体制的转变[J]. 地学前缘, 2004, 11(3):319-328.
|
| [11] |
Zhao Y, Xu G, Zhang S H, et al. The Yanshan movement and the transformation of east Asian tectonic system[J]. Frontiers of Geosciences, 2004, 11(3):319-328.
|
| [12] |
董树文, 张岳桥, 龙长兴, 等. 中国侏罗纪构造变革与燕山运动新诠释[J]. 地质学报, 2007, 81(11):1449-1461.
|
| [12] |
Dong S W, Zhang Y Q, Long C X, et al. A new interpretation of Jurassic tectonic transformation and Yanshan movement in China[J]. Acta Geologica Sinica, 2007, 81(11):1449-1461.
|
| [13] |
张岳桥, 董树文, 赵越, 等. 华北侏罗纪大地构造:综评与新认识[J]. 地质学报, 2007, 81(11):1462-1480.
|
| [13] |
Zhang Y Q, Dong S W, Zhao Y, et al. Jurassic geotectonics in north China:Comprehensive review and new understanding[J]. Chinese Journal of Geology, 2007, 81(11):1462-1480.
|
| [14] |
赵越, 张拴宏, 徐刚, 等. 燕山板内变形带侏罗纪主要构造事件[J]. 地质通报, 2004, 23(9/10):854-863.
|
| [14] |
Zhao Y, Zhang S H, Xu G, et al. Main Jurassic tectonic events in Yanshan intraplate deformation zone[J]. Geological Bulletin, 2004, 23(9/10):854-863.
|
| [15] |
Davis G A, Zheng Y D, Wang C, et al. Mesozoic tectonic evolution of the Yanshan fold and thrust belt,with emphasis on Hebei and Liaoning provinces,norther China[G]//Hendrix M S,Davis G A,eds. Paleozoic and Mesozoic tectonic evolution of central Asia:From continental assembly to intra-continental deformation, Colorado.Geological Society of America Memoir, 2001:171-197.
|
| [16] |
张长厚, 吴淦国, 王根厚. 冀东地区燕山中段北西向构造带:构造属性及其年代学[J]. 中国科学D辑:地球科学, 2004, 34(7):600-612.
|
| [16] |
Zhang C H, Wu G G, Wang G H. NW trending tectonic belt in the middle section of Yanshan Mountains in eastern Hebei region:Tectonic properties and their chronology[J]. Science in China Series D:Earth Science, 2004, 34(7):600-612.
|
| [17] |
张宏, 柳小明, 高山, 等. 辽西凌源地区张家口组的重新厘定及其意义——来自激光ICP-MS锆石U-Pb年龄的制约[J]. 地质通报, 2005, 24:110-117.
|
| [17] |
Zhang H, Liu X M, Gao S, et al. The redefinition of the Zhangjiakou Formation and its significance in the Lingyuan area of western Liaoning:Constraints from laser ICP-MS zircon U-Pb age[J]. Geological Bulletin, 2005, 24:110-117.
|
| [18] |
袁洪林, 柳小明, 刘永胜, 等. 北京西山晚中生代火山岩U-Pb锆石年代学及地球化学研究[J]. 中国科学D辑:地球科学, 2005, 35(9):821-836.
|
| [18] |
Yuan H L, Liu X M, Liu Y S, et al. U-Pb zircon geochronology and geochemistry of late Mesozoic volcanic rocks in Xishan,Beijing[J]. Science in China Series D:Earth Science, 2005, 35(9):821-836.
|
| [19] |
李伍平, 路凤香, 李献华, 等. 北京西山髫髻山组火山岩的地球化学特征与岩浆起源[J]. 岩石矿物学杂志, 2001, 20(2):123-133.
|
| [19] |
Li W P, Lu F X, Li X H, et al. Geochemical characteristics and magmatic origin of volcanic rocks in the Tijishan Formation,Xishan,Beijing[J]. Journal of Rock Mineralogy, 2001, 20(2):123-133.
|
| [20] |
刘健, 赵越, 柳小明. 冀北承德盆地髫髻山组火山岩的时代[J]. 岩石学报, 2006, 22(11):2617-2630.
|
| [20] |
Liu J, Zhao Y, Liu X M. Age of the volcanic rocks of the Tiaojishan Formation in the Chengde Basin,northern Hebei[J]. Acta Petrologica Sinica, 2006, 22(11):2617-2630.
|
| [21] |
徐刚, 赵越, 吴海, 等. 辽西凌源牛营子盆地晚三叠世—中侏罗世地层层序及区域对比[J]. 地球学报, 2005, 26(4):299-308.
|
| [21] |
Xu G, Zhao Y, Wu H, et al. Late Triassic-middle Jurassic stratigraphic sequence and regional correlation in Niuyingzi Basin,Lingyuan,Western Liaoning[J]. Chinese Journal of Geosciences, 2005, 26(4):299-308.
|
| [22] |
王蕊, 陈斌, 柳小明. 北京西山地区髫髻山组和东岭台组火山岩的地球化学特征与岩浆起源[J]. 高校地质学报, 2007, 13(3):603-612.
|
| [22] |
Wang R, Chen B, Liu X M. Geochemical characteristics and magmatic origin of the volcanic rocks of the Tijishan Formation and Donglingtai Formation in the Xishan area of Beijing[J]. Journal of Geology of Universities, 2007, 13(3):603-612.
|
| [23] |
于海飞, 张志诚, 帅歌伟, 等. 北京十三陵—西山髫髻山组火山岩年龄及其地质意义[J]. 地质论评, 2016, 62(4):807-826.
|
| [23] |
Yu H F, Zhang Z C, Shuai G W, et al. The age and geological significance of the volcanic rocks of the Ming Tombs-Xishan Tijishan Formation in Beijing[J]. Geological Review, 2016, 62(4):807-826.
|
| [24] |
赵越. 燕山地区中生代造山运动及构造演化[J]. 地质论评, 1990, 36(1):1-13.
|
| [24] |
Zhao Y. Mesozoic orogeny and tectonic evolution in Yanshan area[J]. Geological Review, 1990, 36(1):1-13.
|
| [25] |
Cope T D, Graham S A. Upper crustal response to Mesozoic tectonism in western Liaoning,North China,and implications for lithospheric delamination[J]. Geological Society, 2007, 280:201-222.
|
| [26] |
Liu J, Zhao Y, Liu X M, et al. Rapid exhumation ofbasement rocks along the northern margin of the North China cratonin the early Jurassic:Evidence from the Xiabancheng Basin,Yanshan Tectonic Belt[J]. BasinRes, 2012, 24:544-558.
|
| [27] |
Li C M, Zhang C H, Cope T D, et al. Out-of-sequence thrustingin polycyclic thrust belts:An example from the Mesozoic Yanshanbelt,North China Craton[J]. Tectonics, 2016, 35:2082-2116.
|
| [28] |
Liu S F, Su S, Zhang G W. Early Mesozoic basin development in North China:Indications of cratonic deformation[J]. Journal of Asian Earth Sciences, 2013, 62:221-236.
|
| [29] |
张长厚, 李程明, 邓洪菱, 等. 燕山—太行山北段中生代收缩变形与华北克拉通破坏[J]. 中国科学:地球科学, 2011, 41:593-617.
|
| [29] |
Zhang C H, Li C M, Deng H L, et al. Mesozoic shrinkage and deformation of the northern section of Yanshan-Taihang Mountains and the destruction of the North China Craton[J]. Science in China:Earth Science, 2011, 41:593-617.
|
| [30] |
Zhang S H, Zhao Y, Davis G.A., et al. Temporal and spatial variations of Mesozoic magmatism and deformation in the North China Craton:Implications for lithospheric thinning and decratonization[J]. Earth-Science Reviews, 2014, 131:49-87.
|
| [31] |
甄世民, 王大钊, 白海军, 等. 华北克拉通北缘张家口—宣化地区古生代—中生代岩浆构造活动与成矿作用[J]. 岩石学报, 2021, 37(6):1619-1652.
|
| [31] |
Zhen S M, Wang D Z, Bai H J, et al. Mineralization and magmatic tectonics of Paleo-Mesozoic-Xuanhua from Zhangjiakou,North Margin of North China Craton[J]. Acta petrologica sinica, 2021, 37(6):1619-1652.
|
| [32] |
白春东, 李金和, 杨济远, 等. 河北省沙岭子、宣化县、深井镇、涿鹿县1∶5万区域地质调查[R]. 河北省区域地质调查院, 2022.
|
| [32] |
Bai C D, Li J H, Yang J Y, et al. 1∶50,000 regional geological survey of Shalingzi,Xuanhua County,Shenjing Town,and Zhuolu County in Hebei Province[R]. Hebei Institute of Regional Geological Survey, 2022.
|
| [33] |
Thompson J, Meffre S, Danyushevsky L. Impact of air,laser pulse width and fluence on U-Pb dating of zircons by LA-ICPMS[J]. Journal of Analytical Atomic Spectrometry, 2018, 33:221-230.
|
| [34] |
Paton C, Woodhead J D, Hellstrom J C, et al. Improved laser ablation U-Pb zircon geochronology through robust downhole fractionation correction[J]. Geochemistry Geophysics Geosystems, 2010, 11:Q0AA06.
|
| [35] |
Ludwig K R. User's manual for Isoplot/Ex, version 3.00:A geochronological toolkit for Microsoft Excel[J]. Berkeley Geochronology Center Special Publication,Berkeley, 2003, 4:1-70.
|
| [36] |
高剑峰, 陆建军, 赖鸣远, 等. 岩石样品中微量元素的高分辨率等离子质谱分析[J]. 南京大学学报:自然科学版, 2003, 39(6):844-850.
|
| [36] |
Gao J F, Lu J J, Lai M Y, et al. High-resolution plasma mass spectrometry analysis of trace elements in rock samples[J]. Journal of Nanjing University:Natural Science Edition, 2003, 39(6):844-850.
|
| [37] |
Belousova E, Griffin W, O’Reilly S Y, et al. Igneous zircon:Trace element composition as an indicator of source rock type[J]. Contributions to Mineralogy and Petrology, 2002, 143(5):602-622.
|
| [38] |
邓晋福, 刘翠, 冯艳芳, 等. 关于火成岩常用图解的正确使用:讨论与建议[J]. 地质论评, 2015, 61(4):717-734.
|
| [38] |
Deng J F, Liu C, Feng Y F, et al. On the correct use of commonly used diagrams for igneous rocks:Discussion and suggestions[J]. Geological Review, 2015, 61(4):717-734.
|
| [39] |
Middlemost E A K. Naming materials in the magma/igneous rock system[J]. Earth Science Reviews, 1994, 37(3/4):215-224.
|
| [40] |
Peccerillo R, Taylor S R. Geochemistry of eocene calc-alkaline volcanic rocks from the Kastamonu area,Northern Turkey,Contrib[J]. Mineral Petrol, 1976, 58:63-81.
|
| [41] |
Middlemost E A K. Magmas and magmatic rocks[M]. London:Longman,1985.
|
| [42] |
Boynton W V. Geochemistry of the rare earth elements:Meteorites studies[G]//Henderson P. Rare Earth Element Geochemistry, New York: Elservier, 1984:63-114.
|
| [43] |
Sun S S, McDonough W F. Chemical and isotopic systematics of oceanic basalts:Implicatons for mantle composistion and processes[G]// Saunders A D,Norry M J.Magmatism in the Ocean Bssins,London:Specical Publications,1989.
|
| [44] |
Cope T C. Sedimentary evolution of the Yanshan fold-thrust belt,northeast China[M]. Califonia: Stanford University, 2003.
|
| [45] |
Gradstein F M, Ogg J G, Schmitz M, et al. The geologic time scale[M]. Amsterdam:Elsevier, 2012.
|
| [46] |
张旗, 王元龙, 王焰, 等. 燕山期中国东部高原下地壳组成初探:埃达克质岩Sr-Nd同位素制约[J]. 岩石学报, 2001, 17(4):505-513.
|
| [46] |
Zhang Q, Wang Y L, Wang Y, et al. A preliminary study on the composition of the lower crust of the eastern Chinese plateau during the Yanshanian period:Constrained by Sr-Nd isotopes of adakitic rocks[J]. Chinese Journal of Petrology, 2001, 17(4):505-513.
|
| [47] |
葛小月, 李献华, 陈志刚, 等. 中国东部燕山期高Sr低Y型中酸性火山岩的地球化学特征及成因:对中国东部地壳厚度的制约[J]. 科学通报, 2002, 47(6):474-480.
|
| [47] |
Ge X Y, Li X H, Chen Z G, et al. Geochemical characteristics and genesis of Yanshanian high Sr low Y-type intermediate-acid volcanic rocks in eastern China:Constraints on crustal thickness in eastern China[J]. Scientific Bulletin, 2002, 47(6):474-480.
|
| [48] |
路凤香, 郑建平, 张瑞生, 等. 地壳与弱化岩石圈地幔的相互作用:以燕山造山带为例[J]. 地球科学, 2006, 31(1):1-7.
|
| [48] |
Lu F X, Zheng J P, Zhang R S, et al. The interaction between the crust and the weakened lithospheric mantle:Taking the Yanshan orogenic belt as an example[J]. Earth Science, 2006, 31(1):1-7.
|
| [49] |
李伍平, 赵越, 李献华, 等. 燕山造山带中—晚侏罗髫髻山期(蓝旗期)火山岩的成因及其动力学意义[J]. 岩石学报, 2007, 23(3):557-564.
|
| [49] |
Li W P, Zhao Y, Li X H, et al. Genesis and dynamic significance of volcanic rocks in the middle-late Jurassic Tijishan period (blue flag period) in the Yanshan orogenic belt[J]. Acta Petrologica Sinica, 2007, 23(3):557-564.
|
| [50] |
Rudnick R L, Gao S. Composition of the continental crust[G]//Hoddand H D,Turekian K K.The crust Vol.3 treatise on geochemisty, Oxford:Elsevier-Pergamon, 2003.
|
| [51] |
路凤香, 桑隆康. 岩石学[M]. 北京: 地质出版社, 2002:373-380.
|
| [51] |
Lu F X, Sang L K. Petrology[M]. Beijing: Geological Publishing House, 2002:373-380.
|
| [52] |
Taylor S R, Mclenann S M. The continental crust:Its composition and evolution[M]. Blackwell: Oxford Press,1985.
|
| [53] |
Alther R, Holl A, Hegner E, et al. High-potassium,calc-alkaline I-type plutonism in the European Variscides:Northern Vosges (France) and northern Schwarzwald (Germany)[J]. Lithos, 2000, 50(1):51-73.
|
| [54] |
Defant M J and Drummond M S. Derivation of some morden arc magmas by of young subducted lithosphere[J]. Nature, 1990, 347:662-665.
|
| [55] |
Wei H H, Meng Q R, Wu G L, et al. Multiple controls on rift sedimentation in volcanic settings:Insights from the anatomy of a small Early Cretaceous basin in the Yanshan belt,northern North China[J]. GSA Bulletin, 2012, 124(3/4):380-399.
|
| [56] |
Zhu G, Chen Y, Jiang D, et al. Rapid change from compression to extension in the north China craton during the early cretaceous:Evidence from the Yunmengshan metamorphic core complex[J]. Tectonophysics, 2015, 656:91-110.
|
| [57] |
Liu S F, Gurnis M., Ma P F, et al. Reconstruction of northeast Asian deformation integrated with western Pacific plate subduction since 200 Ma[J]. Earth-Science Review, 2017, 175:114-142.
|
| [58] |
Liu J, Zhao Y, Liu A, et al. Late Jurassic to early Cretaceous sedimentary-tectonic development in the Chengde Basin,Yanshan fold-thrust belt,North China Craton[J]. Journal of Asian Earth Sciences, 2015, 114:611-622.
|
| [59] |
史肖飞, 刘少峰, 林成发. 燕山构造带西段千家店盆地生长构造与生长地层[J]. 中国科学, 2019, 49(7):1116-1133.
|
| [59] |
Shi X F, Liu S F, Lin C F. Growth structure and growth strata of Qianjiadian Basin,western section of Yanshan structural belt[J]. Chinese Science, 2019, 49(7):1116-1133.
|
| [60] |
Wang Y, Sun L, Zhou L, et al. Discussion on the relationship between the Yanshanian movement and cratonic destruction in north China[J]. Science China Earth Sciences, 2018, 61:499-514.
|
| [61] |
卲济安, 孟庆任, 魏海泉, 等. 冀西北晚侏罗世火山—沉积盆地的性质及构造环境[J]. 地质通报, 2003, 22(10):751-761.
|
| [61] |
Shao J A, Meng Q R, Wei H Q, et al. Properties and tectonic environment of the Late Jurassic volcanic-sedimentary basin in northwestern Hebei[J]. Geological Bulletin, 2003, 22(10):751-761.
|
| [62] |
Qi G W, Zhang J J, Wang M. Mesozoic tectonic setting of rift basins in eastern North China and implications for destruction of the North China Craton[J]. Journal of Asian Earth Sciences, 2015, 111:414-427.
|
| [63] |
渠洪杰, 张英利. 承德地区土城子组沉积特征及其构造意义[J]. 大地构造与成矿学, 2005, 29(4):465-474.
|
| [63] |
Qu H J, Zhang Y L. Sedimentary characteristics and tectonic significance of the Tuchengzi Formation in Chengde area[J]. Geotectonics and Mineralization, 2005, 29(4):465-474.
|
| [64] |
Pearce J A, Harris N B W, Tindle A G. Trace element discrimination diagrams for the tectonic interpretation of granitic rocks[J]. Journal of Petrology, 1984, 25:956-983.
|
| [65] |
Batchelor R A, Bowden P. Petrogenetic interpretation of granitoid rock series using multicationic parameters[J]. Chem.Geol., 1985, 48:43-55.
|
| [66] |
Harris N B W, Pearce J A, Tindle A G. Geochemical characteristics of Collision-zone magmatism[J]. Geological Society,London,Special Publications, 1986, 19(1):67-81.
|
| [67] |
赵丽君. 华北北部北东向构造形成的变形分析及时间约束[D]. 北京: 中国地质大学(北京), 2010.
|
| [67] |
Zhao L J. Deformation analysis and time constraints of NE trending tectonic formation in northern North China[D]. Beijing: China University of Geosciences (Beijing), 2010.
|
| [1] |
FANG Yong-Kun, Cao Cheng-Gang, DONG Jun-Lin, LI Ling-Gui. Geochronology and geochemistry of the granodiorite intrusion in Yangkang area of Qinghai Province and its geological significance[J]. Geophysical and Geochemical Exploration, 2021, 45(6): 1367-1377. |
| [2] |
Sheng-Bing LIAO, Ping-Li CHU, Zheng DUAN, Wen-Cheng HUANG, Yan-Hui ZHU, Xu-Jie SHU. Metallogenic specialization of late Jurassic S-type granites in middle-northern Jiuling Mountain in northwestern Jiangxi[J]. Geophysical and Geochemical Exploration, 2019, 43(5): 1003-1014. |
|
|
|
|