|
|
|
| Analysis and removal of electromagnetic coupling effects in the large-depth induced polarization method |
JI Zhen-Xing1( ), QIN Hao-Jie2,3, CHEN Ru-Jun2,3,4,5( ), WANG Quan-Gong1 |
1. Jiangsu Geological Bureau, Nanjing 210018, China 2. School of Geosciences and Info-Physics, Central South University, Changsha 410083, China 3. AIoT Innovation and Entrepreneurship Education Center for Geology and Geophysics, Central South University, Changsha 410083, China 4. Hunan Key Laboratory of Non-ferrous Resources and Geological Hazard Exploration, Changsha 410083, China 5. Key Laboratory of Metallogenic Prediction of Nonferrous Metals and Geological Environment Monitoring, Ministry of Education, Central South University, Changsha 410083, China |
|
|
|
|
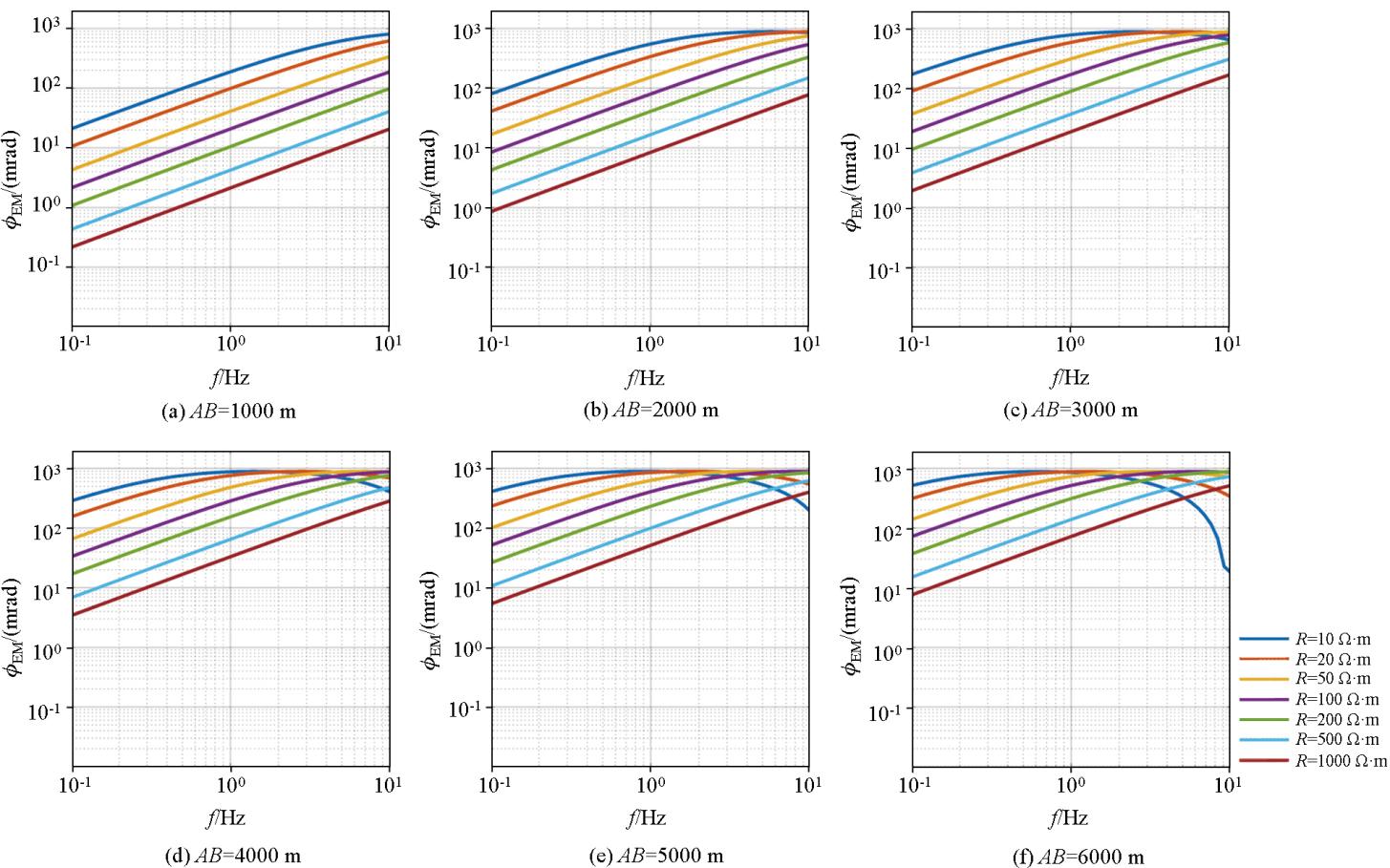
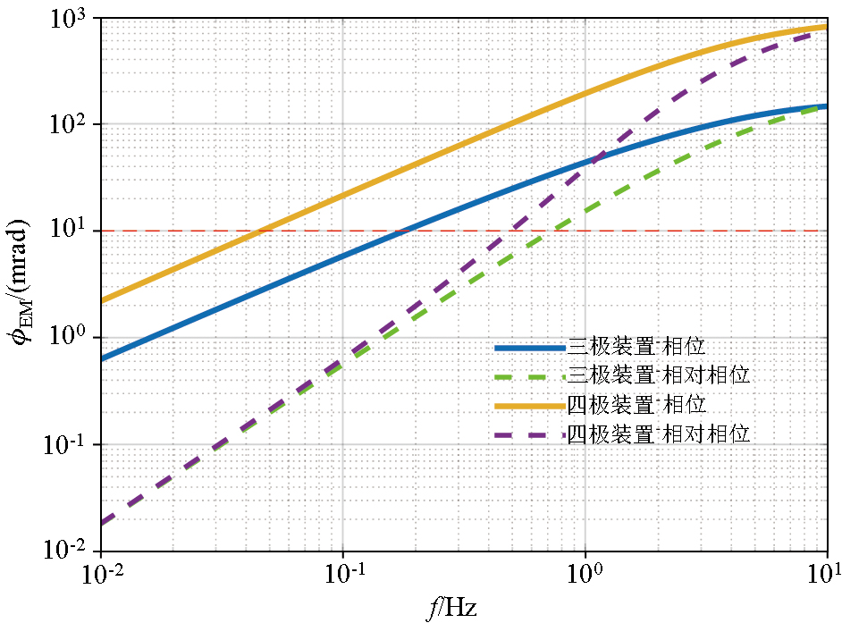
Abstract With the gradual depletion of shallow mineral resources, deep mineral exploration has emerged as an essential development trend in the mining industry. Increasing the distance between receiver electrodes of induced polarization (IP) devices is the most direct and effective approach to enhance the exploration depth. However, a long distance can cause strong electromagnetic (EM) coupling effects, severely interfering with IP signals. Addressing this challenge, this study calculated the EM coupling effects of various measuring devices in homogeneous half-space and layered media using analytical methods. Furthermore, this study comparatively analyzed the impacts of various factors, including measuring device type, wiring layout, distance between receiver electrodes, earth resistivity, and frequency, on the EM coupling intensity. Based on the phase differences between IP and EM coupling effects in the frequency domain, this study derived the calculation equation of the relative phase spectrum, followed by a theoretical analysis of the decoupling effects in application scenarios. The results indicate that increasing distance between receiver electrodes, decreasing earth resistivity, and raising working frequency all significantly intensified the EM coupling interference. Under consistent conditions and detection depths, the Schlumberger array suffered from higher EM coupling interference compared to the pole-dipole array. Compared to the traditional IP phase spectrum, the relative phase spectrum enhanced the maximal working frequency of the pole-dipole and Schlumberger arrays by four and 10.6 times, respectively, suggesting the decoupling capability of the relative phase method in large-depth IP exploration. Overall, this study provides significant guidance for the field implementation of large-depth IP exploration.
|
|
Received: 26 December 2024
Published: 30 December 2025
|
|
|
|
Corresponding Authors:
CHEN Ru-Jun
E-mail: 187277894@qq.com;chrujun12358@gmail.com
|
|
|
|
|
Schematic of the electrode arrays in common use
|
|
The phase of IP and EM coupling in different electrode arrays
|
|
The variation of the EM coupling with the spacing of the current-electrodes in the pole-dipole array
|
|
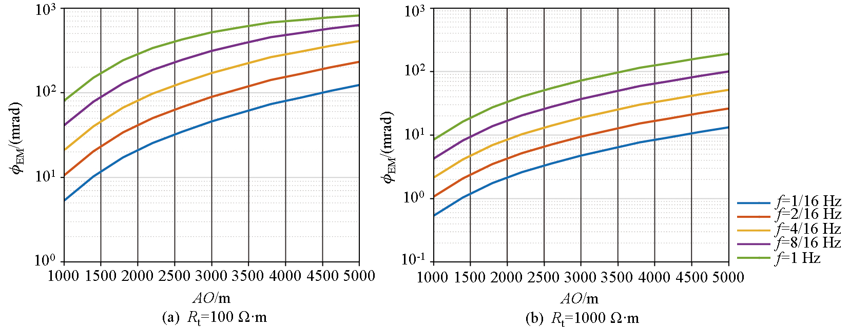
Impact of side distance on EM coupling in intermediate gradient array
|
|
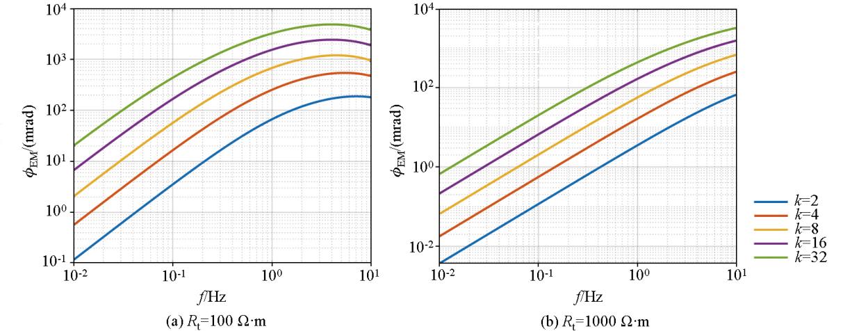
The frequency response characteristics of EM coupling in Schlumberger array
|
|
The impact of frequency ratio on decoupling effect in the relative phase method
|
|
Comparison of IP phase and relative phase in different electrode arrays
|
|
Comparison of the maximum working frequency of IP phase and relative phase
|
|
The decoupling effect of the relative phase method (a case study of the Huhe-shala mining area)
|
| [1] |
滕吉文, 杨立强, 姚敬全, 等. 金属矿产资源的深部找矿、勘探与成矿的深层动力过程[J]. 地球物理学进展, 2007, 22(2):317-334.
|
| [1] |
Teng J W, Yang L Q, Yao J Q, et al. Deep disscover ore, exploration and exploitation for metal mineral resocrces and its deep dynamical process of formation[J]. Progress in Geophysics, 2007, 22(2):317-334.
|
| [2] |
严加永, 滕吉文, 吕庆田. 深部金属矿产资源地球物理勘查与应用[J]. 地球物理学进展, 2008, 23(3):871-891.
|
| [2] |
Yan J Y, Teng J W, Lyu Q T. Geophysical exploration and application of deep metallic ore resources[J]. Progress in Geophysics, 2008, 23(3):871-891.
|
| [3] |
李鹏, 罗玉钦, 田有, 等. 深部地质资源地球物理探测技术研究发展[J]. 地球物理学进展, 2021, 36(5):2011-2033.
|
| [3] |
Li P, Luo Y Q, Tian Y, et al. Research progress of geophysical exploration technology for deep geological resources[J]. Progress in Geophysics, 2021, 36(5):2011-2033.
|
| [4] |
Davydycheva S, Rykhlinski N, Legeido P. Electrical-prospecting method for hydrocarbon search using the induced-polarization effect[J]. Geophysics, 2006, 71(4):G179-G189.
|
| [5] |
Veeken P C, Legeydo P J, Davidenko Y A, et al. Benefits of the induced polarization geoelectric method to hydrocarbon exploration[J]. Geophysics, 2009, 74(2):B47-B59.
|
| [6] |
Schleifer N, Weller A, Schneider S, et al. Investigation of a Bronze Age plankway by spectral induced polarization[J]. Archaeological Prospection. 2002, 9:243-25.
|
| [7] |
Gazoty A, Fiandaca G, Pedersen J, et al. Application of time domain induced polarization to the mapping of lithotypes in a landfill site[J]. Hydrology and Earth System Sciences, 2012, 16(6):1793-1804.
|
| [8] |
Routh P S, Oldenburg D W. Electromagnetic coupling in frequency-domain induced polarization data:A method for removal[J]. Geophysical Journal International, 2001, 145(1):59-76.
|
| [9] |
Wang J, Zhan K, Shien L, et al. Fundamental characteristics of an approximate correction method for electromagnetic coupling in frequency-domain induced polarization[J]. Geophysics, 1985, 50(2):235-241.
|
| [10] |
陈儒军, 罗维炳, 何继善, 等. 高精度多频电法数据采集系统[J]. 物探与化探, 2003, 27(5):375-378.
|
| [10] |
Chen R J, Luo W B, He J S, et al. The data acquisition system in the high-precision multi frequency electric method[J]. Geophysical and Geochemical Exploration, 2003, 27(5):375-378.
|
| [11] |
肖都, 郭鹏, 林品荣, 等. 相位激电法在强干扰区的应用试验[J]. 物探化探计算技术, 2016, 38(5):593-597.
|
| [11] |
Xiao D, Guo P, Lin P R, et al. Phase-IP experimental effects under the condition of strong interference and difficult grounding[J]. Computing Techniques for Geophysical and Geochemical Exploration, 2016, 38(5):593-597.
|
| [12] |
付国红, 潘志, 程辉, 等. 频率域激电发送端去耦建模与仿真分析[J]. 地球物理学进展, 2016, 31(4):1569-1574.
|
| [12] |
Fu G H, Pan Z, Cheng H, et al. Decoupling model and simulation analysis from signal transmitters in frequency domain IP[J]. Progress in Geophysics, 2016, 31(4):1569-1574.
|
| [13] |
冉军林, 刘俊岩. 组合激电测深装置的应用与研究[J]. 物探与化探, 2018, 42(6):1259-1263.
|
| [13] |
Ran J L, Liu J Y. The application and study of induced polarization group device[J]. Geophysical and Geochemical Exploration, 2018, 42(6):1259-1263.
|
| [14] |
黄寄洲, 张国鸿. 频率域激电法的电磁耦合校正应用研究[J]. 安徽地质, 2014, 24(3):205-209.
|
| [14] |
Huang J Z, Zhang G H. Applied research of electromagnetic coupling correction in frequency domain IP[J]. Geology of Anhui, 2014, 24(3):205-209.
|
| [15] |
徐勇, 陈林, 管文慧. 变频法电磁耦合效应校正原理与实例[J]. 西部资源, 2012,(4):190-191.
|
| [15] |
Xu Y, Chen L, Guan W H. The correction principle and examples of electromagnetic coupling effect in frequency conversion method[J]. Western Resources, 2012,(4):190-191.
|
| [16] |
崔燕丽, 白宜诚, 罗维斌. 多频去耦在双频激电数据去耦中的应用[J]. 物探与化探, 2006, 30(1):71-74.
|
| [16] |
Cui Y L, Bai Y C, Luo W B. The application of multiple frequency decoupling method to the removal of dual-frequency IP coupling effect[J]. Geophysical and Geochemical Exploration, 2006, 30(1):71-74.
|
| [17] |
郭鹏. 中梯装置相位激电电磁耦合研究[J]. 物探化探计算技术, 2015, 37(1):22-26.
|
| [17] |
Guo P. A study on electromagnetic coupling of central gradient array phase-IP[J]. Computing Techniques for Geophysical and Geochemical Exploration, 2015, 37(1):22-26.
|
| [18] |
郭鹏, 林品荣, 石福升. 相位激电电磁耦合两频校正技术[J]. 物探与化探, 2010, 34(4):489-492.
|
| [18] |
Guo P, Lin P R, Shi F S. The phase-IP electromagnetic coupling correction technique of two frequencies[J]. Geophysical and Geochemical Exploration, 2010, 34(4):489-492.
|
| [19] |
陈儒军, 何继善, 白宜诚, 等. 多频激电相对相位谱研究[J]. 中南大学学报:自然科学版, 2004, 35(1):106-111.
|
| [19] |
Chen R J, He J S, Bai Y C, et al. The study of relative phase spectrum in multi-frequency induced polarization[J]. Journal of Central South University of Technology:Natural Science Edition, 2004, 35(1):106-111.
|
| [20] |
李栋, 杨帆, 高鹏举. 相位激电法电磁耦合效应的校正[J]. 矿产勘查, 2019, 10(2):316-320.
|
| [20] |
Li D, Yang F, Gao P J. The Phase-IP electromagnetic coupling correction[J]. Mineral Exploration, 2019, 10(2):316-320.
|
| [21] |
向毕文, 陈儒军, 淳少恒, 等. 利用指数函数拟合去除扩频激电信号中的电磁耦合感应[J]. 物探与化探, 2015, 39(5):1053-1058.
|
| [21] |
Xiang B W, Chen R J, Chun S H, et al. A new method for removing EM-coupling in spread spectrum induced polarization based on exponential function fitting[J]. Geophysical and Geochemical Exploration, 2015, 39(5):1053-1058.
|
| [22] |
Thomas I N, Francois B. CRID mod:A matlab program to model ID complex resisivity effects in electrical and electromagnetic surveys[J]. Computer & Geosciences, 2006, 32(9):1411-1419.
|
| [23] |
Madden T R, Cantwell T. Induced polarization,a review[C]// Society of Exploration Geophysicists, 1967.
|
| [24] |
Sunde E D. Earth conduction effects in transmission system[M]. New York: Dover, 1968.
|
| [25] |
Dey A, Morrison H F. Electromagnetic coupling in frequency and time-domain induced-polarization surveys over a multilayered earth[J]. Geophysics, 1973, 38:380-405.
|
| [26] |
于立波. 一维频谱激电法正反演研究[D]. 长春: 吉林大学, 2010.
|
| [26] |
Yu L B. The study of simulation and inversion of 1D spectrum induced polarization method[D]. Changchun: Jilin University, 2010.
|
| [27] |
刘飞. 含电磁耦合效应的频谱激电一维正反演[D]. 抚州: 东华理工大学, 2014.
|
| [27] |
Liu F. One-dimensional forward and backward modeling of spectrum induced polarization with electromagnetic coupling effect[D]. Fuzhou: East China Institute of Technology, 2014.
|
| [28] |
Ghorbani A, Camerlynck C, Florsch N. CR1Dinv:A Matlab program to invert 1D spectral induced polarization data for the Cole-Cole model including electromagnetic effects[J]. Computers & Geosciences, 2009, 35(2):255-266.
|
| [29] |
牛超, 施龙青, 肖乐乐, 等. 非无穷远极距对三极直流电法影响[J]. 地球物理学进展, 2013, 28(6):3324-3331.
|
| [29] |
Niu C, Shi L Q, Xiao L L, et al. Influence of pole-dipole array electric sounding under non-infinite space[J]. Progress in Geophysics, 2013, 28(6):3324-3331.
|
| [1] |
LIN Jia-Yong, XU Zhi-Min, ZHOU Cong. Data quality monitoring of the audio-frequency magnetotelluric method: Analysis of factors influencing data quality based on EH4 measurement electrodes[J]. Geophysical and Geochemical Exploration, 2025, 49(5): 1126-1132. |
| [2] |
GE Wei-Zhong, LIANG Bing-He, GAO Jian-Dong, Lv Yu-Zeng, CHEN Long. 2D/3D electrical exploration based on borrowing-line telecontrol electrode arrays[J]. Geophysical and Geochemical Exploration, 2024, 48(6): 1437-1447. |
|
|
|
|