|
|
|
| Data quality monitoring of the audio-frequency magnetotelluric method: Analysis of factors influencing data quality based on EH4 measurement electrodes |
LIN Jia-Yong1( ), XU Zhi-Min2( ), ZHOU Cong3 |
1. Yunnan Land and Resources Vocational College, Kunming 652501, China 2. Hebei Instrument & Meter Engineering Technology Research Center, Hebei Petroleum University of Technology, Chengde 067000, China 3. School of Geophysics and Measurement-Control Technology, East China University of Technology, Nanchang 330000, China |
|
|
|
|
Abstract The Audio-frequency Magnetotelluric (AMT) sounding method is an electrical exploration technique widely used for shallow to medium-depth geological investigations. Its data quality is influenced by various factors, including cultural electromagnetic interference, electrode polarization, and grounding resistance. This study focuses on the impact of electrode polarization and grounding resistance on AMT data quality. First, the mechanisms of electrode polarization and the influence of grounding resistance on apparent resistivity and impedance phase are theoretically analyzed. Then, based on measured data, the effects of electrode polarization and grounding resistance on apparent resistivity and phase curves are investigated. Finally, a comparative analysis of 2D inversion results from field data is conducted to reveal how grounding resistance affects geological interpretation. The results indicate that electrode polarization significantly degrades data quality in the low-frequency band, though this can be mitigated through data processing techniques, while its effect on high-frequency data is negligible. Unstable grounding resistance mainly influences the high-frequency range, causing notable reductions in apparent resistivity and phase, which gradually stabilize toward the low-frequency band. Moreover, unstable grounding resistance may lead to inversion results that deviate from the true geoelectrical structure, thereby resulting in erroneous geological interpretations. The findings of this study provide important guidance for field data acquisition and processing.
|
|
Received: 12 November 2024
Published: 23 October 2025
|
|
|
|
|
|
|
Schematic of EH4 field work arrangement
|
|
Stainless steel electrode
|
|
Copper electrode
|
|
Saturated copper sulfate non-polarized electrode
|
|
Solid non-polarized electrodes
|
|
The effect of grounding resistance on apparent resistivity
|
|
The effect of grounding resistance on impedance phase
|
|
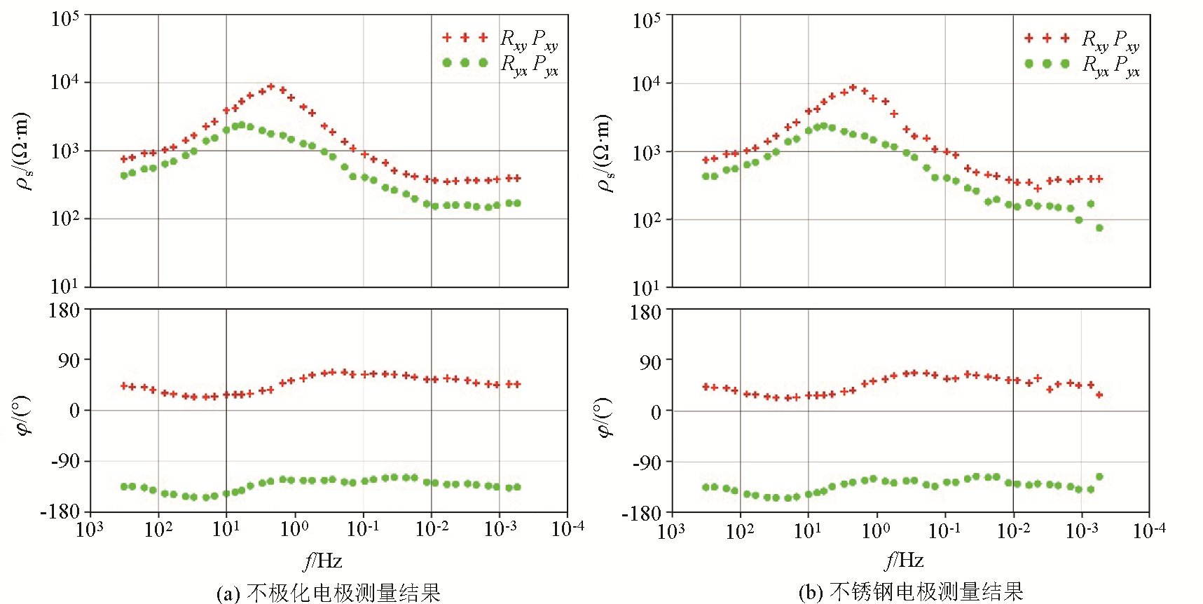
Raw measurement apparent resistivity-phase data for different measurement electrodes
|
|
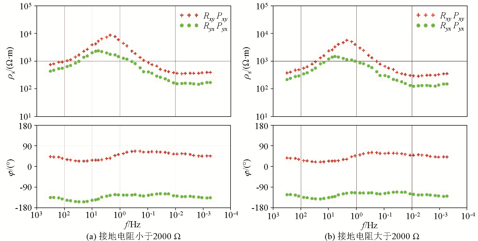
Raw measured apparent resistivity-phase data for different grounding resistances
|
|
Cross-sectional view of the two-dimensional inversion results of EH4 data of Liangwangshan Tunnel Survey of Fuyi Expressway in Yunnan Province
|
| [1] |
陈乐寿, 王光锷. 大地电磁测深法[M]. 北京: 地质出版社,1990.
|
| [1] |
Chen L T,Wang, G E. Magnetotelluric sounding method[M]. Beijing: Geological Publishing House,1990.
|
| [2] |
The magnetotelluric method:Theory and practice[M]. Londong: Cambridge University Press, 2012.
|
| [3] |
樊战军, 卿敏, 于爱军, 等. EH4电磁成像系统在金矿勘查中的应用[J]. 物探与化探, 2007, 31(S1):72-76.
|
| [3] |
Fan Z J, Qing M, Yu A J, et al. The application of EH4 electromagnetic imaging system to gold ore exploration[J]. Geophysical and Geochemical Exploration, 2007, 31(S1):72-76.
|
| [4] |
伍岳. EH4电磁成像系统在砂岩地区勘查地下水的应用研究[J]. 物探与化探, 1999, 23(5):335-338,346.
|
| [4] |
Wu Y. The application of EH4 electromagnetic image system to groundwater exploration in sandstone areas[J]. Geophysical and Geochemical Exploration, 1999, 23(5):335-338,346.
|
| [5] |
徐志敏, 辛会翠, 谭新平, 等. 强电磁干扰区大地电磁远参考技术试验效果分析[J]. 物探与化探, 2018, 42(3):560-568.
|
| [5] |
Xu Z M, Xin H C, Tan X P, et al. An analysis of the experimental result of MT remote reference technique in strong electromagnetic interference region[J]. Geophysical and Geochemical Exploration, 2018, 42(3):560-568.
|
| [6] |
林家勇, 丁茂斌, 汤井田, 等. EH-4电磁成像系统探测堆积体的应用研究[J]. 工程勘察, 2009, 37(12):84-89.
|
| [6] |
Lin J Y, Ding M B, Tang J T, et al. EH-4 electromagnetic imaging systems to detect the accumulation of body applied research[J]. Geotechnical Investigation & Surveying, 2009, 37(12):84-89.
|
| [7] |
蒋伟, 段长生, 陈知富, 等. 音频大地电磁法在复杂地形铁路隧道勘察中的应用[J]. 矿产勘查, 2020, 11(5):1053-1059.
|
| [7] |
Jiang W, Duan C S, Chen Z F, et al. Application of audio magnetotelluric method in railway tunnels exploration with complex topography[J]. Mineral Exploration, 2020, 11(5):1053-1059.
|
| [8] |
汤井田, 胡双贵, 肖晓. 接地电阻稳定性对音频大地电磁法测量的影响[J]. 物探化探计算技术, 2015, 37(5):547-551.
|
| [8] |
Tang J T, Hu S G, Xiao X. The effect of grounding resistance' stability on AMT[J]. Computing Techniques for Geophysical and Geochemical Exploration, 2015, 37(5):547-551.
|
| [9] |
汤井田, 化希瑞, 任政勇. 基于钢筋锚杆接地电阻评价锚固质量研究[J]. 地球物理学进展, 2006, 21(2):614-619.
|
| [9] |
Tang J T, Hua X R, Ren Z Y. Evaluating the quality of steel anchor by grounding resistance[J]. Progress in Geophysics, 2006, 21(2):614-619.
|
| [10] |
Petiau G, Dupis A. Noise,temperature coefficient,and long time stability of electrodes for telluric observations[J]. Geophysical Prospecting, 1980, 28(5):792-804.
|
| [11] |
李汝传. MN长度误差及接地电阻对卡尼亚电阻率的影响[J]. 地质与勘探, 2004, 40(S1):188-190.
|
| [11] |
Li R C. The effects of errors in MN electrode-spacing and grounding resistance on cagniard resistivity[J]. Geology and Exploration, 2004, 40(S1):188-190.
|
| [12] |
王辉, 叶高峰, 魏文博, 等. 大地电磁测深中大地电场的高精度采集技术[J]. 地球物理学进展, 2013, 28(3):1199-1207.
|
| [12] |
Wang H, Ye G F, Wei W B, et al. High-precision acquisition technology of telluric field on magnetotellurics[J]. Progress in Geophysics, 2013, 28(3):1199-1207.
|
| [13] |
张友山, 何继善. 接地电阻对地电场观测的影响及克服方法[J]. 中国有色金属学报, 1996, 6(1):1-5.
|
| [13] |
Zhang Y S, He J S. The effects of the contact resistance of electrode on the measurements and their removal[J]. The Chinese Journal of Nonferrous Metals, 1996, 6(1):1-5.
|
| [14] |
陆阳泉, 梁子斌, 刘建毅. 固体不极化电极的研制及其应用效果[J]. 物探与化探, 1999, 19(1):64-65,71.
|
| [14] |
Lu Y Q, Liang Z B, Liu J Y. The development and application of solid nonpolarized electrodes[J]. Geophysical and Geochemical Exploration, 1999, 19(1):64-65,71.
|
| [15] |
杨会民, 陈珺, 刘波. 影响接地电阻的因素及减小接地电阻的方法[J]. 中国测试, 2009, 35(2):106-108,115.
|
| [15] |
Yang H M, Chen J, Liu B. Influence factors and reducing methods of earth resistances[J]. China Measurement & Test, 2009, 35(2):106-108,115.
|
| [16] |
刘泽西, 王勇, 谢新萍. 接地电阻的影响因素分析[J]. 电工电气, 2010(10):22-24,57.
|
| [16] |
Liu Z X, Wang Y, Xie X P. Impact factor analysis of grounding resistance[J]. Electrotechnics Electric, 2010(10):22-24,57.
|
| [17] |
Perrier F E, Petiau G, Clerc G, et al. A one-year systematic study of electrodes for long period measurements of the electric field in geophysical environments[J]. Journal of Geomagnetism and Geoelectricity, 1997, 49(11):1677-1696.
|
| [18] |
Hördt A, Weidelt P, Przyklenk A. Contact impedance of grounded and capacitive electrodes[J]. Geophysical Journal International, 2012, 191(2):187-196.
|
| [1] |
LI Dong, ZHANG Ming-Cai, WU Yuan-Yang. Exploring a correction technology for ground resistance in audio-frequency magnetotelluric measurements[J]. Geophysical and Geochemical Exploration, 2025, 49(3): 614-619. |
| [2] |
ZHANG Mian, ZHANG Chun-Guan, ZHAO Min, ZHONG Zhen-Hua, YUAN Bing-Qiang, ZHOU Lei, HAN Mei. An integrated data quality evaluation of Earth magnetic anomaly grid EMAG2v3 and global gravimetric database V29: A case study of the Aegir ridge in the Arctic[J]. Geophysical and Geochemical Exploration, 2023, 47(6): 1410-1416. |
|
|
|
|