|
|
|
| Nonlinear inversion of tight sandstone reservoir parameters using the sparrow search algorithm |
| CAO Shao-He1, HUANG Zhong-Qun1, YUAN Chun-Yan1, MA Bai-Zheng1, WANG Qun-Wu2, ZHANG Kui2 |
1. North China Petroleum Bureau,SINOPEC,Zhengzhou 450006,China 2. Beijing Precise Energy Technology Co.,Ltd.,Beijing 100015,China |
|
|
|
|
Abstract With the ongoing exploration of hydrocarbon reservoirs, conventional linear inversion methods for conventional hydrocarbon reservoirs fail to meet the accuracy requirements for tight sandstone reservoirs.In response,this study,focusing on tight sandstone reservoirs,calculated expressions for P-wave velocity,S-wave velocity,and density in saturated rocks using inclusion models.A nonlinear reflection coefficient equation was established based on the exact Zoeppritz equations.Using the L1-norm as the inversion objective function,a high-precision amplitude variation with offset(AVO) inversion method for reservoir parameter prediction was developed using the sparrow search algorithm(SSA).Compared to the conventional least-squares inversion results with the L2-norm as the objective function,the proposed method improves the accuracy and resolution of the inversion results.It provides more reasonable and reliable predictions of petrophysical parameters and offers an effective approach for evaluating pore development and hydrocarbon content in tight sandstone reservoirs.The validity and practicality of this method are verified through model tests and application to actual data from tight sandstone reservoirs in the Ordos Basin.
|
|
Received: 15 April 2025
Published: 23 October 2025
|
|
|
|
|
|
| Kf/Pa | Km/Pa | μm/Pa | Vp/(km·s-1) | Vs/(km·s-1) | ρ/(kg·m-3) | ? | | 含气砂岩 | 1.0×108 | 3.2×1010 | 3.4×1010 | 4.69 | 3.09 | 2900 | 0.10 | | 泥岩 | 2.40×109 | 2.0×1010 | 7×109 | 3.49 | 1.60 | 2500 | 0.05 |
|
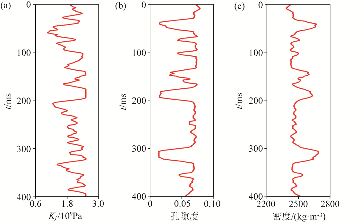
The double-layer model contains gas-bearing sandstone and mudstone
|
|
The precision test results of reflection coefficient equations
|
|
The rock physical models
|
|
The synthesized seismogram
|
|
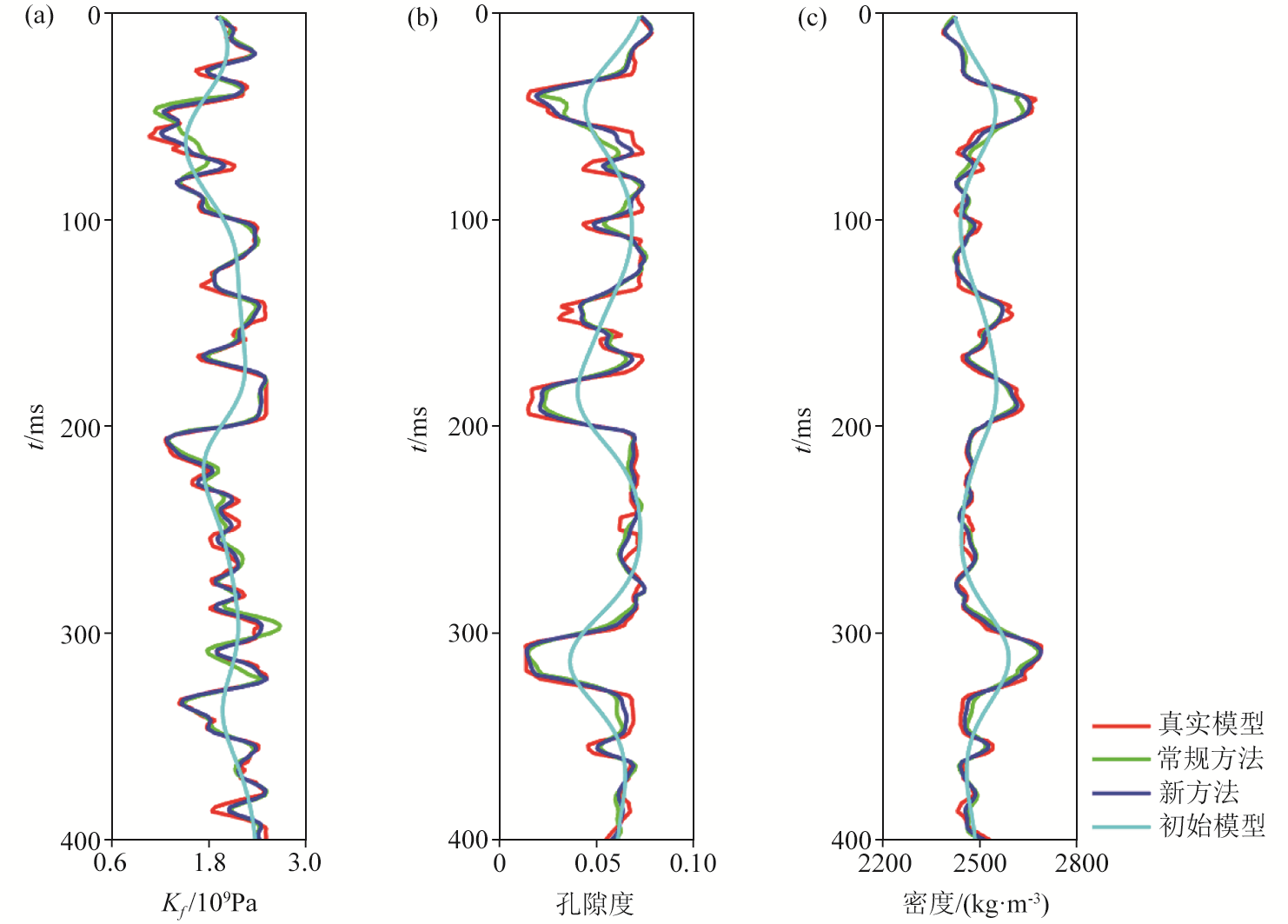
The inversion results of the synthesized seismogram with noise free
|
|
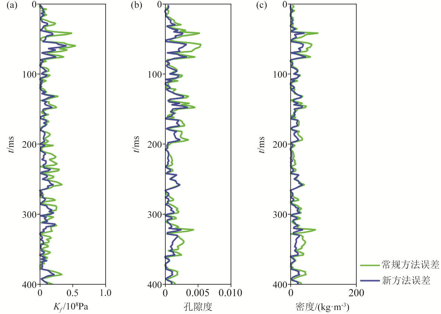
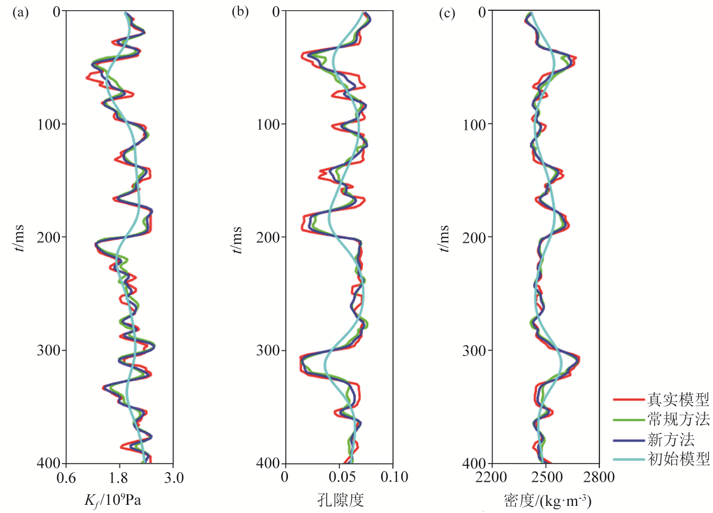
The inversion results of the synthesized seismogram with signal-to-noise ratio of 5
|
|
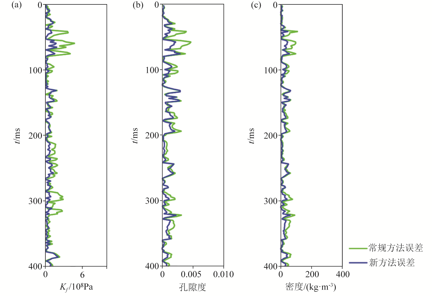
The absolute error between the inversion results and the true model under noise-free synthetic seismogram
|
|
The absolute error between the inversion results and the true model under a synthetic seismogram with a signal-to-noise ratio of 5
|
|
The partial stacked real seismic profiles
|
|
The inversion results of real seismic data under the new nonlinear method
|
|
The inversion results of real seismic data under the conventional method
|
|
Comparison of the well bypass inversion results of actual seismic data under different inversion methods and the filtered logging curves
|
| Kf/Pa | ? | ρ/(kg·m-3) | | 新方法 | 0.0809 | 0.0718 | 0.0747 | | 常规方法 | 0.1299 | 0.0815 | 0.0885 |
|
Statistics of the normalized root mean square error between the inversion results of the sidetrack of the actual data and the filtered logging curve
|
|
The interlayer slice of the real seismic data Kf inversion result under the new nonlinear method
|
|
The interlayer slice of the real seismic data porosity inversion result under the new nonlinear method
|
|
The flow chart of pre-stack nonlinear inversion on the basies of SSA algorithm
|
|
The flow chart of pre-stack nonlinear inversion on the basies of gradient descent algorithm
|
| [1] |
Bosch M, Carvajal C, Rodrigues J, et al. Petrophysical seismic inversion conditioned to well-log data:Methods and application to a gas reservoir[J]. Geophysics, 2009, 74(2):O1-O15.
|
| [2] |
Ran B. Linearized orthorhombic AVAZ inversion:Theoretical and practical consideration[C]// Denver:SEG Technical Program Expanded Abstracts 2014, Society of Exploration Geophysicists,2014:528-532.
|
| [3] |
Zong Z Y, Yin X Y, Wu G C. Geofluid discrimination incorporating poroelasticity and seismic reflection inversion[J]. Surveys in Geophysics, 2015, 36(5):659-681.
|
| [4] |
Pan X P, Zhang G Z. Model parameterization and PP-wave amplitude versus angle and azimuth(AVAZ) direct inversion for fracture quasi-weaknesses in weakly anisotropic elastic media[J]. Surveys in Geophysics, 2018, 39(5):937-964.
|
| [5] |
Zong Z Y, Zhang J L, Chen F B. Seismic prediction for formation pressure considering diagenesis effect[J]. IEEE Transactions on Geoscience and Remote Sensing, 2024,62:4508813.
|
| [6] |
Grana D, Della Rossa E. Probabilistic petrophysical-properties estimation integrating statistical rock physics with seismic inversion[J]. Geophysics, 2010, 75(3):O21-O37.
|
| [7] |
宗兆云, 印兴耀, 吴国忱. 基于叠前地震纵横波模量直接反演的流体检测方法[J]. 地球物理学报, 2012, 55(1):284-292.
|
| [7] |
Zong Z Y, Yin X Y, Wu G C. Fluid detection method based on direct inversion of pre-stack seismic P-S wave modulus[J]. Chinese Journal of Geophysics, 2012, 55(1):284-292.
|
| [8] |
卢明辉, 巴晶, 晏信飞. 致密砂岩的等效介质理论研究[C]// 中国地球物理学会, 中国石油学会,2011:725-729.
|
| [8] |
Lu M, Ba J, Yan X F. Theoretical study on equivalent medium of tight sandstone[C]// Chinese Geophysical Society, Chinese Petroleum Society,2011:725-729.
|
| [9] |
印兴耀, 刘欣欣, 曹丹平. 基于Biot相洽理论的致密砂岩弹性参数计算方法[J]. 石油物探, 2013, 52(5):445-451,441.
|
| [9] |
Yin X Y, Liu X X, Cao D P. Elastic parameters calculation for tight sand reservoir based on Biotconsistent theory[J]. Geophysical Prospecting for Petroleum, 2013, 52(5):445-451,441.
|
| [10] |
刘倩, 印兴耀, 李超. 含不连通孔隙的致密砂岩储层岩石弹性模量预测方法[J]. 石油物探, 2015, 54(6):635-642.
|
| [10] |
Liu Q, Yin X Y, Li C. Prediction method of rock elastic modulus of tight sandstone reservoirs with disconnected pores[J]. Geophysical Prospecting for Petroleum, 2015, 54(6):635-642.
|
| [11] |
Fan X G, Zhang G Z, Zhang J J. Prediction method of pore structure parameters of tight sandstone[C]// San Antonio:SEG Technical Program Expanded Abstracts 2019, Society of Exploration Geophysicists,2019:3678-3682.
|
| [12] |
Cooke D A, Schneider W A. Generalized linear inversion of reflection seismic data[J]. Geophysics, 1983, 48(6):665-676.
|
| [13] |
Du B Y, Yang W Y, Zhang J, et al. Matrix-fluid decoupling-based joint PP-PS-wave seismic inversion for fluid identification[J]. Geophysics, 2019, 84(3):R477-R487.
|
| [14] |
Yin X Y, Cheng G S, Zong Z Y. Non-linear AVO inversion based on a novel exact PP reflection coefficient[J]. Journal of Applied Geophysics, 2018,159:408-417.
|
| [15] |
Cheng G S, Yin X Y, Zong Z Y. Third-order AVO inversion for lamé parameter based on inverse operator estimation algorithm[J]. Journal of Petroleum Science and Engineering, 2018,164:117-126.
|
| [16] |
Zhou L, Liu X Y, Li J Y, et al. Robust AVO inversion for the fluid factor and shear modulus[J]. Geophysics, 2021, 86(4):R471-R483.
|
| [17] |
Kuster G T, Toksöz M N. Velocity and attenuation of seismic waves in two-phase media:Part i.Theoretical formulations[J]. Geophysics, 1974, 39(5):587-606.
|
| [18] |
Berryman J G. Long-wavelength propagation in composite elastic media II.Ellipsoidal inclusions[J]. Acoustical Society of America Journal, 1980, 68(6):1820-1831.
|
| [19] |
Zoeppritz K, Erdbebnenwellen V. On the reflection and penetration of seismic waves through unstable layers[J]. Gottinger Nachrichten, 1919, 1(5):66-84.
|
| [20] |
Xue J K, Shen B. A novel swarm intelligence optimization approach:Sparrow search algorithm[J]. Systems Science & Control Engineering, 2020, 8(1):22-34.
|
| [21] |
Gassmann F. Elastic waves through a packing of spheres[J]. Geophysics, 1951, 16(4):673-685.
|
| [22] |
Aki K, Richards P. Quantitative seismology:Theory and methods[M]. W.H. Freeman and Co.,1980.
|
| [23] |
印兴耀, 邓炜, 宗兆云. 基于逆算子估计的AVO反演方法研究[J]. 地球物理学报, 2016, 59(4):1457-1468.
|
| [23] |
Yin X Y, Deng W, Zong Z Y. AVO inversion based on inverse operator estimation[J]. Chinese J. Geophys., 2016, 59(4):1457-1468.
|
| [24] |
邓炜, 印兴耀, 宗兆云, 等. 基于逆算子估计的高阶AVO非线性反演[J]. 石油地球物理勘探, 2016, 51(5):955-964,837.
|
| [24] |
Deng W, Yin X Y, Zong Z Y, et al. High-order nonlinear AVO inversion based on estimated inverse operator[J]. Oil Geophysical Prospecting, 2016, 51(5):955-964,837.
|
| [25] |
Cheng G S, Yin X Y, Zong Z Y. Nonlinear amplitude-variation-with-offset inversion for Lamé parameters using a direct inversion method[J]. Interpretation, 2017, 5(3):SL57-SL67.
|
| [26] |
Luo C, Li X Y, Huang G T. Pre-stack AVA inversion by using propagator matrix forward modeling[J]. Pure and Applied Geophysics, 2019, 176(10):4445-4476.
|
| [1] |
LI Guo-Hao, LYU Yu-Zeng, DONG Yi-Fan, YU Hai-Tao. Semi-supervised learning inversion of data derived from high-resolution electrical resistivity tomography based on forward modeling constraints[J]. Geophysical and Geochemical Exploration, 2025, 49(3): 661-669. |
| [2] |
ZHANG Yang-Yang, DU Wei, WANG Zhi-Shui, MIAO Xu-Huang, ZHANG Xiang. Application of particle swarm algorithm based on Lévy flight in magnetotelluric inversion[J]. Geophysical and Geochemical Exploration, 2023, 47(4): 986-993. |
|
|
|
|