基于深度学习的零井源距VSP上、下行波分离方法
A deep learning-based method for separating up- and down-going waves in zero-offset vertical seismic profiles
通讯作者: 邓丁丁(1999-),男,博士在读,主要研究方向为人工智能地震资料处理方法。Email:dantecup@163.com
第一作者:
收稿日期: 2025-04-1 修回日期: 2025-08-8
| 基金资助: |
|
Received: 2025-04-1 Revised: 2025-08-8
波场分离是垂直地震剖面(VSP)数据处理的关键步骤,其精度直接影响地震成像、弹性参数反演、岩性识别和含油气性解释的精度。中值滤波分离波场时需要人工操作,往往会造成误差,影响波场分离的精度;FK滤波方法分离精度高,但效率低;深度学习技术的自动化程度更高,可以实现高精度、高效率的波场分离。本文提出了一种基于深度学习进行VSP数据上、下行波分离的方法。首先,利用FK变换对零井源距VSP数据进行上、下波分离以制作数据集;然后,构建了一种用于分离VSP上、下行波的深度学习模型——Unet++;最后,为了减轻上、下行波振幅差异对网络更新的影响,在损失函数中加入了相对下行波场(通过从全波场中减去预测的上行波场得到),同时引入结构性相似指数作为正则化约束来辅助网络学习波场的结构特征。实际数据测试结果表明,训练后的网络可以有效地学习到上、下行波的特征,可实现高精度、高效率的波场分离。
关键词:
Wavefield separation serves as a key step in processing the data of vertical seismic profiles (VSPs). Its accuracy directly influences seismic imaging, inversion of elastic parameters, lithology identification, and interpretation of hydrocarbon-bearing properties. Traditional methods face challenges in wavefield separation. For example, the median filtering requires manual intervention, often introducing errors and thus compromising separation accuracy; the FK filtering yields high accuracy but low efficiency. In contrast, deep learning techniques offer high automation, enabling both high accuracy and efficiency in wavefield separation. Hence, this study proposed a deep learning-based method for separating up- and down-going waves in zero-offset VSPs. First, the up- and down-going waves were separated through FK transform, generating a dataset. Second, a deep learning-based model, Unet++, was constructed for separating these waves in VSPs. Third, the relative down-going wavefield (obtained by subtracting the predicted up-going wavefield from the full wavefield) was incorporated into the loss function to mitigate the impacts of amplitude differences between up- and down-going waves on network updates. Moreover, the structural similarity index measure (SSIM) was employed as a regularization constraint to assist the network in learning the structural characteristics of the wavefield. The test results of actual VSP data demonstrate that the trained network can effectively learn the characteristics of the up- and down-going waves, achieving high accuracy and efficiency in wavefield separation.
Keywords:
本文引用格式
王腾宇, 邓丁丁, 郑多明, 刘洋, 张振, 罗文君.
WANG Teng-Yu, DENG Ding-Ding, ZHENG Duo-Ming, LIU Yang, ZHANG Zhen, LUO Wen-Jun.
0 引言
与地面地震资料相比,垂直地震剖面(vertical seismic profiling,VSP)资料具有初至波清晰、波场信息丰富、信噪比高等特点。其中零井源距VSP资料,因为偏移距较小,其下行初至波可认为是垂直传播,通常可利用其上行波场和下行波场提取地层纵横波速度比、泊松比等物性参数[1]。上行波场可用于开展反射波成像,而下行波场用于计算速度、品质因子等[2]。然而,井内检波器接收的VSP数据包含混叠的上行和下行波场,因此,获得高精度的上行和下行波场至关重要[3]。此外,这一过程的准确性直接影响到随后的偏移成像、衰减分析[4]、地震解释[5]和反演[6]。有多种方法可以实现VSP波场分离,包括中值滤波[7]、FK滤波[8]和Radon变换[9]等。然而,这些方法存在一定的局限性:中值滤波由于其平均效应,会模糊波场中的一些细节;FK滤波和Radon变换由于其算法机制,会引入截断伪影,影响VSP波场分离的精度;此外,变换域滤波方法需要在变换域中手动设置窗口,人工操作会影响波场分离精度。
目前,人工智能在油气地震数据的处理和解释领域发展迅速[10-11],深度学习方法以其多层网络结构和非线性激活函数为特征,在解决复杂非线性问题方面得到了广泛关注[12-
本文采用Unet++模型,将来自编码器网络的特征图与不同解码器网络的相应波场分离的特征图融合,以更有效地分离VSP数据中的上、下行波。
1 数据集准备
本文利用A区实测的零井源距VSP数据进行深度学习模型的训练和验证。首先,利用图1所示Marmousi模型进行有限差分正演模拟VSP数据,并通过FK滤波方法得到上、下行波标签。起始井x=1 km,井间距为1 km,共得10口井(M1~M10)的零井源距VSP数据。对实际零井源距VSP数据进行去噪处理;然后,通过FK变换滤波得到上、下行波并利用滤波器去除截断伪影;接着,需要对准备好的VSP数据进行归一化处理;最后,利用滑动分块技术构建训练样本。图2为基于FK滤波的VSP上、下行波分离流程。图3为A区w1井的零井源距VSP数据的分块部分结果展示。表1为合成数据和野外零井源距VSP数据分块前、后的维度一览。
图1
图2
图2
基于数据驱动深度学习的VSP上、下行波分离流程
Fig.2
Data driven deep learning based up-/ downgoing wave separation process for VSP
图3
图3
A区部分VSP数据的分块(同一颜色表示相同的振幅值)
Fig.3
Block of VSP data for part of survey A (the same color indicates the same amplitude value)
表1 合成数据集和A区零井源距VSP数据分块前、后的维度
Table 1
| 井号 | 分块前 | 分块后 |
|---|---|---|
| M1~M10 | 10×(3381, 316) | 10×(335, 128, 128) |
| w1 | (5001, 388) | (693, 128, 128) |
| w2 | (6001, 407) | (833, 128, 128) |
| w3 | (6001, 337) | (714, 128, 128) |
| w4 | (5001, 677) | (1188, 128, 128) |
利用预先准备的数据集进行Unet++模型的训练和参数调整。使用Huber范数和结构性相似指数(SSIM)作为损失函数更新网络。在波场分离任务中,Unet++输出上行波场和下行波场,由于下行波能量强于上行波,如果按相同权重计算损失函数,则损失函数受下行波场的影响大,这会使得网络参数主要基于下行波的梯度反向传播进行更新,导致网络优先学习下行波场特征而对上行波特征的学习不充分,因此会影响上行波场的分离精度。在损失函数中加入相对下行波场(通过从整个波场中减去预测的上行波场得到)可以缓解这一问题。Huber范数巧妙地融合均方误差(MSE)和平均绝对误差(MAE)的优势,对异常值提供了更强的鲁棒性[29],同时,引入结构性相似指数SSIM[30]来辅助网络学习上、下行波的方向特征,因此,采用Huber损失和SSIM的组合作为神经网络的损失函数。Huber范数表达式为:
在使用深度学习进行波场分离时,训练数据的生成和网络结构的设计至关重要。为了解决训练样本缺乏的问题,对合成数据和实际数据进行了滑动切块,形成了一个信息丰富的数据集。考虑到上、下行波的传播方向不同,引入了SSIM来提高网络的识别能力。为了减轻上、下行波之间能量差对网络更新的影响,使用相对下行波场来表示损失函数的正则化项,进一步减小分离误差。
选取M2~M10井、w1井、w2井和w4井的VSP分块后数据作为神经网络模型的训练集和验证集,比例为8∶2,将w3井的VSP数据作为测试集。
2 方法原理
2.1 网络结构
Unet是地震资料信号处理领域中最常用的深度学习模型,其网络结构如图4所示。Unet模型由编码器(下采样)和解码器(上采样)两部分构成。编码器是传统的CNN结构,通过增加特征图数量并减少空间分辨率,提取从深层次到浅层次的特征。解码器负责在编码过程中逐步恢复输入数据的特征,同时提高分辨率。跳跃连接将低分辨率的全局特征和高分辨率的局部特征有效融合,从而提升输出的有效性。用于波场分离任务的Unet,其工作原理是:首先,利用编码器将时空域的VSP地震信号进行编码,通过下采样的方式在高维特征空间中提取信号的特征,并分离VSP信号中耦合的上、下行波分量;接着,将分离后的上、下行波信号进行解码,通过上采样的方式将数据恢复为时空域的上、下行波。
图4
Unet的每个编码器层由两个无偏差的级联卷积层构成,以提升波场分离精度。每个卷积层值的计算公式为:
式中:
Unet模型存在两个局限性:一是最优深度未知,需要进行大量架构搜索或低效集成不同深度的模型;二是跳跃连接施加了不必要的限制性融合方案,即跳跃连接仅在相同比例特征映射的编码器和解码器网络上[28]。为了解决这两个局限性并且满足VSP高精度波场分离的需求,引入了一种新的基于嵌套和密集跳跃连接的深度学习架构Unet++,构建了一种基于Unet++的VSP上、下行波分离的方法。该方法的主要优势在于:①通过集成不同深度的Unet模块来解决网络深度不明确的问题,多个Unet部分共享编码器,并采用深度监督共同学习;②对跳跃连接进行了重新设计,融合了来自不同尺度解码器子网络的特征,形成了灵活的特征整合方案;③提出了一种剪枝策略,模型训练完毕后可以通过裁剪冗余的分支结构来提升Unet++的推理效率。该方法的工作原理是:首先,利用编码器将VSP地震信号进行编码,通过下采样的方式在高维特征空间中提取信号的特征,并分离VSP信号中耦合的上、下行波分量;然后,聚合并解码不同尺度子网络中的特征,通过上采样的方式获得上、下行波。
Unet++采用来自编码器网络的高分辨率特征图与来自不同解码器网络的相应波场分离的特征图融合,以更有效地捕获VSP数据中上、下行波的特征。与Unet中常用的普通跳过连接形成对比,Unet++独特的跳跃连接方式直接将高分辨率特征图从编码器快速推进到解码器网络,从而导致不同的特征图融合。这一操作,让Unet++具备了更好的网络连通性。设Xi,j表示节点i,j的输出,即特征映射堆栈,其中i表示沿编码器的下采样层,j表示沿跳过连接的密集块的卷积层。其计算公式为:
式中:函数H(·)代表卷积操作,随后利用一个激活函数进行非线性变换;U(·)和D(·)分别表示上采样和下采样;[]表示连接层。
如图5所示, 层级j=0的节点仅接收上一层的单一输入;层级j=1的节点接收来自两个连续层级的编码器子网络的输入;层级j>1的节点接收j+1个输入,其中j个输入是同一跳跃连接中前j个节点的输出,层级j+1输入来源于下层跳跃连接的上采样结果。所有先前的特征映射累积并到达当前节点,在每个跳跃连接上使用了密集的卷积块。Unet++通过引入深度监督提高了模型适应性。为此,通过向节点X0,1、X0,2、X0,3和X0,4的输出附加一个1×1卷积和一个ReLU激活函数进行特征融合。
图5
图5
Unet++网络结构示意(a)及其第一次跳跃路径的详细分析(b)
Fig.5
Schematic of Unet++ network architecture(a)and detailed analysis of the first skip connection pathway(b)
2.2 模型训练和验证
式中:x、y分别为输入和输出数据;β为超参数;N为样本数;G表示神经网络的映射关系。
式中:μ为均值;σ为方差;C1、C2为常数,本文分别取0.01和0.03。
本文深度学习模型的损失函数表达式为:
为了更有效地优化Unet++网络参数,选择自适应矩估计(Adam)算法作为优化器。
2.3 网络模型实现
在PyTorch框架下搭建Unet和Unet++网络,分别实现了VSP数据上、下行波分离。网络模型在16 GB内存的NVIDIA Tesla V100 GPU 高性能计算显卡上进行了训练、验证和测试。使用Adam优化器对模型参数进行优化,批次大小为16,分块大小为128×128。图6为模型学习曲线。初始学习率设置为1e-4,学习率在500个周期后开始衰减,每个周期遍历完所有训练集,并用验证集调整模型参数,最终在第550个周期后停止训练。由图6可知,在模型训练初期,Unet++网络的训练和验证损失(loss)小于Unet,并且随着迭代次数的增加,Unet++的学习曲线更加平稳。两种模型的训练、验证损失都趋于0,说明模型充分收敛。
图6
3 合成数据示例
为了减轻上、下行波振幅差异对模型参数的影响,在损失函数中加入相对下行波波场(通过从全波场中减去预测的上行波场得到),使用合成VSP数据评估不同损失函数对Unet和Unet++模型的影响。图7b、c分别为图7数据经FK分离后的上、下行波标签,图8为M1零井源距合成VSP数据在常规损失和加入相对下行波场损失条件下的Unet波场分离结果对比,图9为常规损失和加入相对下行波场损失Unet波场分离结果与标签的残差对比;结果表明,当引入了相对下行波场之后,Unet分离得到了更准确的上、下行波。图10为M1零井源距合成VSP数据在常规损失和加入相对下行波场损失条件下的Unet++波场分离结果对比,图11为常规损失和加入相对下行波场损失的Unet++波场分离结果与标签的残差对比,可见相对下行波场的引入,改进了Unet++波场分离的准确性。图9b和图11b的误差对比结果表明,在同等约束条件下,Unet++相比较Unet的波场分离精度更高。实验结果表明,常规损失没有考虑到上、下行波的能量差异,在初至波处存在较大误差;相对下行波场损失可以缓解上、下行波能量差异的问题,从而提高波场分离的精度。
图7
图7
M1零井源距合成VSP数据及上、下行波标签
Fig.7
M1 zero-offset synthetic VSP data and up- /down going wave labels
图8
图8
M1零井源距合成VSP数据在常规损失和加入相对下行波场损失条件下的Unet波场分离结果对比
Fig.8
Comparison of Unet wavefield separation results for M1 zero-offset synthetic VSP data with conventional loss and adding relative downgoing wavefield loss
图9
图9
常规损失和加入相对下行波场损失Unet波场分离结果与标签的残差对比
Fig.9
Comparison of residuals between Unet wavefield separation results and labels with conventional loss and adding relative downgoing wavefield loss
图10
图10
M1零井源距合成VSP数据在常规损失和加入相对下行波场损失条件下的Unet++波场分离结果对比
Fig.10
Comparison of Unet++ wavefield separation results for M1 zero-offset synthetic VSP data with conventional loss and adding relative downgoing wavefield loss
图11
图11
常规损失和加入相对下行波场损失Unet++波场分离结果与标签的残差对比
Fig.11
Comparison of residuals between Unet++ wavefield separation results and labels with conventional loss and adding relative downgoing wavefield loss
4 实际数据测试
图12
图12
A区w1零井源距VSP数据在不同深度学习模型的波场分离结果对比
Fig.12
Comparison of wavefield separation results for zero-offset VSP data in A-w1 using different deep learning models
图13
图13
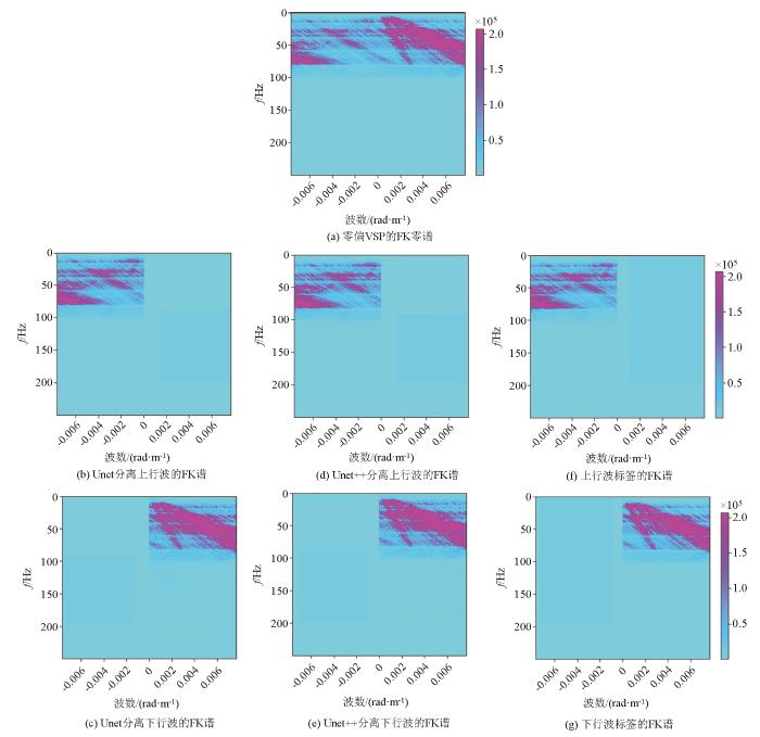
不同深度学习模型波场分离结果的FK谱
Fig.13
FK spectra of wave field separation results of different deep learning models
图14展示了A区w1零井源距VSP数据在不同深度学习模型下波场分离结果与标签的残差对比,表明Unet模型分离后的有效信号的损失较为显著,而Unet++模型分离后有效信号的损失较少。与Unet方法相比,Unet++通过不同深度的Unet的有效集成来增强模型表达能力,这些Unet部分共享编码器并使用深度监督同时共同学习,聚合解码不同尺度子网络中的特征,形成高度灵活的特征融合方案,可以更有效地捕获原始VSP数据中上、下行波的特征。这与Unet中常用的普通跳过连接形成对比,后者直接将高分辨率特征图从编码器快速推进到解码器网络,从而导致不同的特征图融合。结果表明,Unet方法波场分离精度较低,而Unet++方法可以更有效地分离VSP数据中上、下行波。
图14
图14
不同深度学习模型波场分离结果与标签的残差对比
Fig.14
Residual comparison between wavefield separation results and labels across different deep learning models
表2列出了A区不同方法的波场分离计算成本。由表可知,Unet++模型训练所需的计算成本比Unet模型更高,但推理时间相差无几。深度学习模型训练完毕后,可以实现VSP上、下行波智能分离。相比较FK滤波方法,深度学习模型可以实现自动化、高效率的波场分离。
表2 A区不同方法的波场分离计算成本
Table 2
| FK滤波 | Unet | Unet++ | |
|---|---|---|---|
| 占用显存/MiB | - | 5874 | 15114 |
| 耗时/s | 258.8 | 81.2 | 110.4 |
为了进一步验证所提出方法的有效性,使用A区w3零井源距VSP数据进行了测试,旨在评估该方法的适用性及泛化能力。图15展示了A区w3零井源距VSP数据及不同方法的波场分离结果。Unet模型在分离过程中有效信号出现了显著损失,图15b中能够明显观察到信号损失的差异。而使用Unet++模型进行分离的上、下行波,波场连续性好有效信号损失较少。中值滤波分离的上、下行波的波场连续性差,有效信号损失较多。相比之下,Unet++方法波场分离的上、下行波连续性更好,波场分布更稳定(图12d中红箭头所指),对野外数据具有一定的鲁棒性。与Unet方法相比,Unet++通过聚合解码不同尺度的子网络中的特征(图5)形成高度灵活的特征融合方案,可以更有效地分离VSP数据中上、下行波(见图13)。Unet方法波场分离过程中,有效信号的损失较多(见图14)。相比之下,Unet++方法波场分离产生的上、下行波波场连续性更好,分布更稳定。
图15
图15
A区w4零井源距VSP数据在不同方法的波场分离结果对比
Fig.15
Comparison of wavefield separation results for zero-offset VSP data in A-w4 using different deep learning models
图16
图16
不同方法波场分离结果的FK谱
Fig.16
FK spectra of wave field separation results of different deep learning models
图17
图17
A区w4零井源距VSP数据在不同方法的多道波形对比
Fig.17
Multi-trace waveform comparison of zero-offset VSP data from well A-w4 using different processing methods
5 结论
针对目前传统方法VSP波场分离精度低、效率低的现状,结合深度学习技术,本文提出一种基于深度学习的VSP数据上、下行波自动化分离方法。该方法在波场分离过程中避免了人工操作,主要时间成本在于网络训练,而一旦训练完成,Unet++可以快速有效地分离上、下行波。
对合成数据和实际VSP数据的测试表明,Unet++方法在VSP波场分离任务中具有较高的分离精度和较强的细节处理能力。利用A区的零井源距VSP数据进行训练、测试,得到以下认识:①相较于传统方法,深度学习模型一旦训练完毕后,VSP上、下行波分离自动化程度高、计算效率快;②相较于Unet方法,Unet++通过融合来自不同解码器网络的特征,可以更好地进行VSP波场分离;③相较于中值滤波方法,Unet++方法的波场分离精度更高。
参考文献
VSP资料地震属性的提取和应用
[J].
Extraction and application of seismic attributes from VSP data
[J].
Separation of upgoing and downgoing waves in vertical seismic profiling by contour-slice filtering
[J].
DOI:10.1190/1.1441973
URL
[本文引用: 1]
The separation of upgoing waves and downgoing waves in vertical seismic profiling is effectively accomplished in the frequency-wavenumber (f-k) domain using a new technique of contour-slice filtering. The response of the filter has no straight edge or boundary and preserves the 'natural state' of the spectra. The cutoff contour level can be reduced as low as desirable to remove background noise and other unwanted signals. In this sense it can also be viewed as a noise-rejection filter. The effectiveness of the process has been clearly demonstrated through synthetic and real examples. Its success with the upgoing waves depends on the degree of coherency of events in the VSP record. To enhance the coherency and to avoid velocity aliasing, we use a novel band-pass frequency filter which is the result of convolving a boxcar spectral window with a frequency-shifted Gaussian function.
An iterative zero-offset VSP wavefield separating method based on the error analysis of SVD filtering
[J].DOI:10.1109/LGRS.2018.2830375 URL [本文引用: 1]
A novel method for separating intrinsic and scattering attenuation for zero-offset vertical seismic profiling data
[J].DOI:10.1093/gji/ggx391 URL [本文引用: 1]
VSP wave field separation:An optimization method based on block relaxation and singular value thresholding
[J].DOI:10.1016/j.jappgeo.2014.03.002 URL [本文引用: 1]
Joint waveform inversion with the separated upgoing and downgoing wavefields of VSP data
[J].
A fast two-dimensional Median filtering algorithm
[J].DOI:10.1109/TASSP.1979.1163188 URL [本文引用: 1]
Some analyses of 2-D median F-K filters
[J].
DOI:10.1190/1.1443844
URL
[本文引用: 1]
Two-dimensional median filters can be designed so that they have properties similar to f-k fan filters. This is done by using the coefficients of a truncated impulse response of an f-k filter as the weight coefficients for the weighted median process. The filter is called a median f-k filter and can be used to discriminate between events on the basis of apparent velocity. The filter appears suitable as a poststack coherency filter because it produces less distortion at wavefield terminations than conventional f-k fan filters. One-dimensional weighted median filters that include negative coefficients are a logical starting point for the analysis of median f-k filters since simple numerical techniques may be used to analyze the behavior of these filters. We show that median filters with negative coefficients do not provide an unbiased estimate of the mean and can misplace the position of steps. Faults on a stacked section may be modeled by steps, and therefore applying a median f-k filter to stacked seismic data could change the position of faults. However, the distortion of steps introduced by median f-k filters is shown to be less than the distortion produced by the corresponding linear f-k filter, and the error in step placement is small. We present simple model examples and a seismic field data example to illustrate differences between linear f-k filters and median f-k filters.
Radon transform wave field separation for vertical seismic profiling data
[J].
DOI:10.1190/1.1442151
URL
[本文引用: 1]
The data obtained by the vertical seismic profiling (VSP) method require unique processing before interpretation. An important step is the separation of upgoing and downgoing signals by application of an f-k velocity filter and muting of the direct wave. Similarly, if the VSP section is transformed to the p-tau plane, the upgoing and downgoing wave fields become separable because they map to different p-tau quadrants according to their dips. This allows either wave field to be reconstructed by application of the inverse Radon transform after windowing in the p-tau plane.Results obtained by the Radon transform wave field separation (RTWS) method are similar to those obtained by f-k velocity filtering. However, by implementing an amplitude-ratio testing filter in the forward slant stack, the quality of the reconstructed wave field is much improved. For a specific range of p-stack values in the forward transform, this filter sorts and removes the unwanted events from the desired ones by testing their consistency in stack amplitudes.Synthetic examples of separating the upgoing wave field from a full VSP wave field by both methods are presented.
可解释机器学习在油气领域人工智能中的研究进展与应用展望
[J].
Research progress and application prospect of interpretable machine learning in artificial intelligence in oil and gas industry
[J].
深度学习在油气产量预测中的研究进展与技术展望
[J].
Research status and prospects of deep learning in oil and gas production prediction
[J].
Deep-learning-based seismic data interpolation:A preliminary result
[J].
Seismic stratigraphy interpretation by deep convolutional neural networks:A semisupervised workflow
[J].
VP and VS prediction from digital rock images using a combination of U-Net and convolutional neural networks
[J].
人工智能和视速度约束的地震波初至拾取方法
[J].
First break picking method based on artificial intelligence and apparent velocity constraint
[J].
First arrival traveltime picking through 3-D U-Net
[J].
Automatic velocity picking from semblances with a new deep-learning regression strategy:Comparison with a classification approach
[J].
A convolutional neural network approach to deblending seismic data
[J].
A self-supervised deep learning method for seismic data deblending using a blind-trace network
[J].DOI:10.1109/TNNLS.2022.3188915 URL [本文引用: 1]
Denoising deep learning network based on singular spectrum analysis—DAS seismic data denoising with multichannel SVDDCNN
[J].
Seismic noise attenuation using unsupervised sparse feature learning
[J].DOI:10.1109/TGRS.36 URL
A wavefield decomposition-guided deep-learning framework for removing smearing artifacts from VSP RTM
[J].
DOI:10.1093/jge/gxaf079
URL
[本文引用: 1]
Reverse-time migration (RTM) is advantageous for imaging steeply dipping structures, but it may introduce migration smearing artifacts when applied to vertical seismic profiles (VSP). These artifacts mainly result from the limited coverage of VSP acquisition geometry, causing uneven stacking and insufficient noise suppression across multiple shots. Most studies on denoising VSP imaging data focus on limiting the migration aperture and utilizing dip-angle information, while wave equation-based methods often face challenges in accurately determining wavefront propagation directions or rely on prior subsurface structure. Despite recent advances in deep learning, effectively suppressing smearing artifacts remains a significant challenge in VSP RTM. To address this, we propose a novel deep-learning method for suppressing smearing artifacts in VSP RTM using the removal of smearing artifacts residual neural network (RSA-ResNet). Initially, synthetic data are generated based on convolution theory, using data with smearing artifacts as inputs and data without smearing artifacts as labels for the deep-learning network. Subsequently, the RSA-ResNet model is trained to suppress the smearing artifacts associated with VSP RTM. The trained model is then fine-tuned using wavefield decomposition results from target data containing smearing artifacts. Finally, the refined model is applied to VSP RTM data. Experimental results indicate that the waveforms of the reference traces in the two RSA-ResNet-denoised examples closely match the ground-truth solution, effectively demonstrating the superiority of the proposed method over conventional wavefield decomposition methods.
基于无监督深度学习的多波AVO反演及储层流体识别
[J].
DOI:10.3969/j.issn.1000-1441.2021.03.004
[本文引用: 1]
流体因子是储层流体识别中的重要参数,传统的流体因子不能较为准确地识别储层流体,等效流体体积模量对储层流体的变化更加敏感。多波AVO反演是从地震道集中提取等效流体体积模量的重要手段之一。常规的多波AVO反演基于最小二乘或贝叶斯理论,反演精度强烈依赖于初始模型,但大多数实际工区很难建立高精度、高分辨率的初始模型。为了进一步提高储层流体识别的精度,并降低反演对初始模型的依赖程度,在AVO反演理论的指导下,构建基于无监督深度学习的纵波和转换波道集直接反演等效流体体积模量的方法,将该方法应用于X工区实际数据的反演并进行储层流体识别。X工区内井旁道地震道集的试算结果表明,该方法具有较高的精度,反演结果与测井数据的相对误差约为2.949%,绝对误差小于0.1GPa;X工区内反演得到的等效流体体积模量的剖面和时间切片与已知测井解释结果匹配度良好,说明该方法能够较为精确地识别储层流体,具有良好的实用价值。
Multi-wave amplitude-versus-offset inversion and reservoir fluid identification based on unsupervised deep learning
[J].
DOI:10.3969/j.issn.1000-1441.2021.03.004
[本文引用: 1]
Fluid factors are key parameters in reservoir fluid identification;however,traditional fluid factors are unable to precisely identify the reservoir fluid.Among these factors,the effective pore fluid modulus is the most sensitive to the fluid.Multi-wave amplitude-versus-offset (MW AVO) inversion is an effective tool for characterizing reservoir fluids.The inverted accuracy of conventional MW AVO inversion methods,which are based on the least squares theory or Bayesian theory,depend heavily on the models that define the initial conditions.However,building such models with high resolution and high precision is difficult in most field areas.To improve the accuracy of reservoir fluid identification and reduce the dependence of the inversion method on the initial models,an unsupervised deep-learning MW AVO inversion method was developed,which incorporates deep learning within a conventional pre-stack AVO.This allows the effective fluid bulk modulus to be inverted directly by using both P-and S-wave gathers.This method was used to perform field data inversion and fluid identification in the X work area and achieved high accuracy.The relative error between the inverted results and the logging data was 2.949%,and the absolute error was less than 0.1 GPa.The inverted profiles and time slices matched well with the log interpretation results,thereby demonstrating that the proposed method can identify reservoir fluid accurately and has a significant practical value.
Inversion of low- to medium-frequency velocities and densities from AVO data using invertible neural networks
[J].
Automatic seismic facies interpretation using supervised deep learning
[J].
Deep learning-based upgoing and downgoing wavefield separation for vertical seismic profile data
[J].
Upgoing and downgoing wavefield separation in VSP data using CGAN based on asymmetric convolution blocks
[J].
DOI:10.1093/jge/gxae089
URL
[本文引用: 1]
Accurately upgoing and downgoing wavefield separation is a critical step in vertical seismic profile (VSP) data processing, as its accuracy is directly related to the imaging quality of VSP data. Traditional methods are based mainly on transforms, and their windows are manually set in the transformed domain to obtain the target wavefield. The manual operations often cause errors and affect the accuracy of wavefield separation. In contrast, deep learning algorithms are more automatic, and have achieved a lot in seismic data processing. We propose to employ a conditional generative adversarial network (CGAN) for wavefield separation in VSP data. A CGAN consists of two main components: a generator, which generates new data samples, and a discriminator, which evaluates the generated samples against real data, with both components trained simultaneously in an adversarial manner to improve the quality of generated samples. The full wavefield serves as a constraint to link the generator and discriminator, ensuring that the separated up- and downgoing wavefields align better with the full wavefield. An asymmetric convolution block is introduced to more effectively capture the directional features of the VSP wavefield. To mitigate the influence of amplitude differences between the waves on the network update, the relative downgoing wavefield (obtained by subtracting the predicted upgoing wavefield from the full wavefield) is included in the loss function. Numerical experiments demonstrate that the trained network can effectively learn the characteristics of the up- and downgoing waves, especially their propagation directions, achieving high-precision wavefield separation.
UNet++:Redesigning skip connections to exploit multiscale features in image segmentation
[J].DOI:10.1109/TMI.42 URL [本文引用: 1]
Robust regression:Asymptotics,conjectures and Monte Carlo
[J].
SSIM: A deep learning approach for recovering missing time series sensor data
[J].DOI:10.1109/JIoT.6488907 URL [本文引用: 1]
/
| 〈 |
|
〉 |
