地震波形指示反演方法在叠置薄砂岩预测中的应用——以松辽盆地南部乾安油田高台子油层为例
Application of the seismic meme inversion method in predicting superimposed thin sandstones: A case study of the Gaotaizi oil layer in the Qian'an oilfield,southern Songliao Basin
通讯作者: 陈彦虎(1982-),男,博士,教授级高级工程师,主要从事地震储层预测方法研究工作。Email:32568750@qq.com
第一作者:
责任编辑: 叶佩
收稿日期: 2025-02-24 修回日期: 2025-06-10
| 基金资助: |
|
Received: 2025-02-24 Revised: 2025-06-10
针对陆相盆地叠置薄砂岩预测的难点,本文提出了利用地震波形指示反演方法开展叠置薄砂岩的技术流程。首先,基于波形相似性原则优选的样本井测井曲线构建反演初始模型;然后,在贝叶斯框架下对初始模型进行迭代优化,得到高分辨率的波形指示反演结果;最后,地震波形指示方法与低频反演结果融合,不仅能够提供纵向上的高分辨率,还能够有效地描绘砂岩的横向叠置特征与砂岩横向边界。研究实例表明,地震波形指示反演在叠置薄砂岩预测中精度达到了2~3 m,参与井和验证井的符合率分别达到91.5%和85.2%,证明了该方法的合理性和反演结果的高精度,为陆相盆地薄层叠置砂岩预测提供了有效的技术手段。
关键词:
To address the challenges in predicting superimposed thin sandstones in lacustrine basins,this study proposed a technical workflow for their prediction using the seismic meme inversion(SMI) method.First,an initial inversion model was constructed using log curves from sample wells selected based on seismic waveform similarity.Second,the initial inversion model was iteratively optimized in a Bayesian framework to yield high-resolution SMI results.Third,the SMI results were integrated with low-frequency inversion results to yield high vertical resolution while effectively characterizing the lateral superimposed patterns and boundaries of sand bodies.Case studies demonstrate that the SMI method achieved a prediction accuracy of 2 m to 3 m for superimposed thin sandstones.The coincidence rates for calibration and validation wells reached 91.5 % and 85.2 %,respectively,confirming the effectiveness of the SMI method and the high precision of the inversion results.Overall,this study provides an effective technical approach to predicting superimposed thin sandstones in lacustrine basins.
Keywords:
本文引用格式
杨光, 王立贤, 胡佳, 刘智军, 张红杰, 王云鹤, 孙龙, 张旭升, 陈彦虎.
YANG Guang, WANG Li-Xian, HU Jia, LIU Zhi-Jun, ZHANG Hong-Jie, WANG Yun-He, SUN Long, ZHANG Xu-Sheng, CHEN Yan-Hu.
0 引言
专家学者针对叠置薄砂岩地球物理预测开展了一系列研究,取得了的一定效果。袁萌等[10]通过优选优势入射角叠加以增强叠置窄薄河道识别,选择杨氏模量进行叠前高精度反演,提高了砂岩预测精度和实钻吻合度;袁川洲等[11]改进了相位谱识别方法,优化时窗选取和展开相位谱计算,提升了相位谱分辨率和识别准确度;赵百强等[12]通过提取敏感地震波形结构属性,构建了砂岩叠置分级分类识别方案,有效提高了不同叠置砂岩的识别精度;石岩等[13]采用层状分频构形反演技术,有效识别了砂岩不连续边界和空间分布,实际应用效果良好。程雯泽等[14]提出了一种提高地震数据相位谱频率分辨率的方法,通过周期时窗尾端补零增强相位谱稳定性,进而计算积分展开相位,成功应用于识别河流相叠置砂岩的不连续边界。
1 地震波形指示反演方法
1.1 基本原理
地震波形指示反演(seismic waveform indicative inversion,SMI)基本原理是通过地震波形和测井曲线之间的相似性,建立一个映射关系来获取高频成分,从而提高反演结果的纵向和横向分辨率[18]。这个过程涉及利用地震波形的细微变化来驱动宽频带测井数据的模拟,以便更准确地反映井间地层的变化。SMI方法通过地震资料的波形相似性作为指示因子,复制和传递测井曲线中高频信息所代表的岩性特征,实现了井震协同,使得反演能够突破传统的λ/4分辨率限制,为高分辨率反演提供了有效途径。
1.2 反演技术流程
地震波形指示反演(SMI)的技术流程主要包括以下步骤:首先,基于地震波形相似性原则优选样本井并建立样本集;其次,对样本井的测井曲线进行多尺度小波分解,提取低—中频特征信息并构建反演初始模型;接着,在贝叶斯框架下通过迭代优化模型参数,得到高分辨率反演结果;最后,通过频率域合并将低频和高频成分整合,形成最终的高分辨率地震反演结果。具体反演技术流程见图1。
图1
1.2.1 建立样本集
相似的沉积特征往往具有相似的岩性组合,相似的岩性组合往往具有相似的地震波形特征。通过分析已钻井的地震波形特征,基于地震波形相似性度量,将已钻井划分为n个指示不同岩性组合特征的样本集,以样本集中包含的样本井的测井数据作为构建待反演地震道初始模型的基础。相似性度量可以通过计算波形之间的相关系数来实现:
式中:
1.2.2 构建反演初始模型
对每一个样本集中的测井曲线进行多尺度小波分解,分离出不同的频率成分,提取低—中频特征信息,需要指出的是,由于测井曲线具有非常高的频率,甚至高达数万Hz[19],这里定义的低—中频大致也有100~200 Hz、甚至300~400 Hz的频率,区别于地震资料中—低频几十Hz的频率范围。对样本集中所有测井曲线的低—中频特征信息进行加权平均处理,得到了该样本集中所有测井曲线的共性结构,构建反演初始模型:
式中:mk(f)是样本集k的初始模型;Nk是样本集k中的井数量;αi是井i的权重系数;ci,k(f)是井i在样本集k中的测井曲线在频率f处的小波分解结果。
选取合适的截止频率对于构建反演初始模型至关重要,它直接影响初始模型的分辨率,为了平衡反演结果的确定性和分辨率,需要根据实际需求设定最高截止频率。对每一个待反演地震道构建波形指示反演的初始模型,为高分辨率波形指示反演奠定了坚实的基础。
1.2.3 贝叶斯框架下的模型优化
在贝叶斯框架下,以构建的反演初始模型作为起点,通过联合似然函数分布和先前获得的先验分布,计算得到后验概率分布,通过迭代扰动模型参数,使得后验概率分布函数达到最大值,此时的模型参数解被视为最优反演解:
式中:P(m|d)∝P(d|m)·P(m);
优化后的模型使得反演结果同时符合中频地震信息和井曲线结构特征,得到高分辨率的波形指示反演结果,即在现有数据和地质知识约束下,最有可能反映真实地质结构的状态。
1.2.4 频率域合并
为了进一步提升反演的质量和分辨率,还需要结合低频模型和稀疏脉冲反演得到的低频成分和波形指示反演得到的高频成分进行频率域合并:
式中:mfinal是最终合并后的高分辨率反演结果;mlow、mspi和msmi分别是低频模型、稀疏脉冲反演结果和波形指示反演结果;βlow、βspi和βsmi分别是低频模型、稀疏脉冲反演结果和波形指示反演结果的权重系数。
通过频率域合并,将不同反演方法各自产生的优势频段数据体进行有机整合,形成一个整体效果更优的最终地震反演结果。通过这种方式,波形指示反演技术不仅提高了薄砂岩预测的精度,通过融合低频模型和稀疏脉冲反演反映沉积环境变化导致的薄砂岩横向叠置特征,为叠置薄砂岩的精细刻画描述和勘探决策提供了强有力的工具。
2 叠置薄砂岩模型正演实验
为了检验波形指示反演在区分叠置薄砂岩预测方面的有效性,构建了一个包含重叠薄砂层的地质模型,并进行了相应的反演试验。在这个地质模型中(图2a),设有两层厚度为3 m的砂岩层嵌入在泥岩基质中,这两层砂岩在垂向上部分叠置。两层砂岩之间是一层厚度为3 m的泥岩夹层。两层砂岩的顶部和底部分别是30 m厚的泥岩层,模型的总厚度约为70 m。砂岩的速度设定为3 500 m/s,密度为2.65 g/cm3;而泥岩的速度为2 800 m/s,密度为2.26 g/cm3。
图2
图2
叠置薄砂岩地质模型、正演地震道与不同方法反演结果对比
a—叠置薄砂岩地质模型;b—阻抗模型叠合地震波形;c—稀疏脉冲反演结果叠合地震波形;d—波形指示反演结果叠合地震波形
Fig.2
Comparison of superimposed thin sandstone geological model, forward-modeled seismic traces and inversion results from different methods
a—stacked thin sand bodies geological model;b—impedance model overlaid with seismic waveform;c—sparse spike inversion results overlaid with seismic waveform;d—waveform-indicated inversion results overlaid with seismic waveform
为了开展后续不同方法反演实验,从地质模型中抽取W1、W2和W3共3口伪井,分别代表不同的砂岩发育特征,利用3口井弹性参数建立时间域纵波阻抗初始模型。以正常地震资料主频为30 Hz的雷克子波与地质模型进行褶积,得到了30 Hz的正演地震波形,从正演地震波形和纵波阻抗初始模型叠合剖面(图2b)上可以看出,由于地震波形分辨率较低,无法在垂向上直接分辨出两套叠置砂岩,但是随着两层薄砂岩组合特征的变化,地震波形表现出了明显的横向变化。
正演模型的反演结果表明,波形指示反演方法在识别叠置薄砂岩储层方面具有明显优势。通过利用多种观测数据,该方法能够提高反演的精度和可靠性,为准确预测叠置薄砂岩的纵向叠置关系和空间分布特征提供了有力支撑。
3 研究实例
3.1 区域地质概况
从图3研究区青三段过Q163—Q163-3—Q165—Q199连井砂岩对比剖面上可以看出,4口井砂岩整体较为发育,单层砂岩厚度2~5 m,但是油水关系复杂,如Q163井①号和②号砂岩测井解释为油层,与之对应的高部位的Q163-3井①号砂岩测井解释为油水层,因此可以判断,Q163井①号和②号砂岩与Q163-3井①号砂岩横向不连通,为相互叠置的关系;同时Q165井③号砂岩测井解释为水层,而Q163井③号砂岩测井解释为油水层,因此这两套砂岩与Q163井对应的砂岩横向也不连通,应该也为相互叠置的关系。通过以上分析认为,研究区青三段砂岩横向叠置关系复杂,准确预测砂岩的横向叠置关系是勘探开发中的主要任务之一。
图3
图3
过Q163—Q163-3—Q165—Q199连井砂岩对比剖面
Fig.3
Correlation profile of sandstone in tied wells Q163—Q163-3—Q165—Q199
3.2 储层特征分析
进行地震储层预测的关键步骤在于识别对储层特征敏感的弹性参数,这通常通过分析测井曲线数据,并构建直方图或交会图来完成。通过利用对储层有明显响应的测井曲线,为砂岩储层及其上下的泥岩层建立岩性识别直方图。以图4为例,展示了青三段依据自然伽马(GR)曲线开展岩性识别的直方图,其中黄色区域代表砂岩,而蓝色区域代表泥岩。从直方图中可以清晰地观察到,GR曲线能够有效地区分砂岩和泥岩层。砂岩与泥岩在GR曲线上的阈值为105 API,因此,可以依据GR反演来准确识别砂岩储层。
图4
3.3 确定最高截止频率
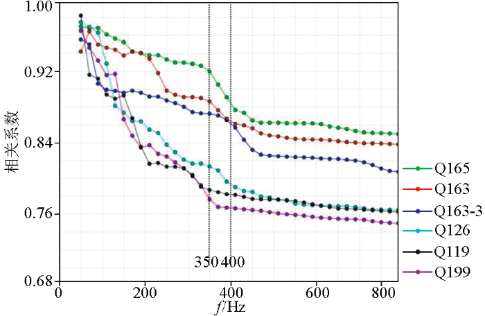
为了确定最佳的截止频率,可以绘制各样本井反演预测曲线与原始曲线相关系数随频率变化的折线图(不同颜色代表不同样本井)。随着频率的增加,相关系数通常会逐渐降低,这是因为低频部分主要反映了地震数据的确定性特征,而高频部分则更容易受到随机噪声和地质结构复杂性的影响。当相关系数曲线进入近似水平段时,表明更高频率的成分主要是随机的,此时的频率可以作为最大有效频率。在本研究区,如图5所示,当频率增加到350~400 Hz时,相关系数近似水平,表明最高截止频率为350~400 Hz。地震资料主频约为30 Hz,层速度约为3 800 m/s,根据地震资料λ/4的理论分辨率极限,可以推断出地震资料能够识别的最小砂岩厚度约为30 m,按照350 ~400 Hz的截止频率计算,波形指示反演大约可以识别2~3 m的砂岩厚度,可以看出反演分辨率可以提高10~15倍。
图5
3.4 反演效果分析
图6
图6
过Q163—Q163-3—Q165—Q199连井的地震与反演剖面
a—地震剖面;b—稀疏脉冲反演纵波阻抗剖面;c—波形指示反演GR剖面
Fig.6
Seismic and inversion profiles across wells Q163—Q163-3—Q165—Q199
a—seismic section;b—sparse spike inversion P-impedance section;c—waveform-indicated inversion GR property section
进一步应用地震波形指示反演技术得到了高分辨率的GR反演数据。第3.1节分析结果表明:Q163井的①号和②号砂岩层与Q163-3井的①号砂岩层,在横向上并不连通,而是呈现出相互叠置的关系,这一点从波形指示反演剖面图上得到了清晰的体现(如图6c所示),显示出Q163井的①号和②号砂岩层在高部位方向上与Q163-3井的①号砂岩层之间不存在连通性。此外,Q165井的③号砂岩层与Q163井的③号砂岩层也表现出类似的断续发育特征,它们之间同样没有连通性,与连井砂岩对比结果认识一致,进一步证实了砂岩的叠置关系。通过波形指示反演剖面图可以清晰地观察到砂岩在平面上的分布特征,砂岩在某些区域呈现出连片分布,而其他区域则表现为断续的斑块状分布。这种分布特征可能与沉积时期的水动力条件和物源供给有关。
图7
图7
反演预测砂岩厚度与井点砂岩厚度交会
Fig.7
Crossplot of predicted sandstone thickness from inversion vs. sandstone thickness from well-log
表1 地震波形指示反演砂岩厚度符合率统计
Table 1
| 井类型 | 井名 | 井点砂岩 厚度/m | 预测砂岩 厚度/m | 绝对误差 /m | 相对误差 绝对值/% |
|---|---|---|---|---|---|
| 参与井 | Q118 | 2.0 | 1.8 | 0.2 | 10.0 |
| Q118-2 | 6.9 | 7.5 | -0.6 | 8.7 | |
| Q119 | 6.0 | 5.5 | 0.5 | 8.3 | |
| Q126 | 9.6 | 10.2 | -0.6 | 6.3 | |
| Q162 | 11.4 | 10.5 | 0.9 | 7.9 | |
| Q162-1 | 11.8 | 11.1 | 0.7 | 5.9 | |
| Q162-2 | 9.0 | 8.4 | 0.6 | 6.7 | |
| Q162-3 | 8.5 | 8.3 | 0.2 | 2.4 | |
| Q163 | 8.5 | 9.0 | -0.5 | 5.9 | |
| Q163-1 | 3.0 | 3.5 | -0.5 | 16.7 | |
| Q163-2 | 6.9 | 7.5 | -0.6 | 8.7 | |
| Q163-3 | 8.2 | 8.6 | -0.4 | 4.9 | |
| Q163-4 | 4.0 | 4.5 | -0.5 | 12.5 | |
| Q163-5 | 2.6 | 2.2 | 0.4 | 15.4 | |
| Q164 | 10.7 | 10.1 | 0.6 | 5.6 | |
| Q164-1 | 8.0 | 8.5 | -0.5 | 6.3 | |
| Q164-2 | 8.8 | 8.2 | 0.6 | 6.8 | |
| Q164-3 | 3.6 | 3.1 | 0.5 | 13.9 | |
| Q164-4 | 12.1 | 13.1 | -1.0 | 8.3 | |
| 验证井 | Q2-3 | 4.8 | 5.5 | -0.7 | 14.6 |
| Q2-5 | 9.6 | 8.6 | 1.0 | 10.4 | |
| Q2-9 | 17.4 | 15.8 | 1.6 | 9.2 | |
| Q2-11 | 6.6 | 7.5 | -0.9 | 13.6 | |
| Q2-13 | 8.2 | 7.1 | 1.1 | 13.4 | |
| Q3-1 | 4.0 | 4.6 | -0.6 | 15.0 | |
| Q3-2 | 3.4 | 2.4 | 1.0 | 29.4 | |
| Q3-3 | 5.6 | 6.3 | -0.7 | 12.5 |
波形指示反演技术在纵向分辨率方面相较于稀疏脉冲反演方法显示出显著的优势,能够精确辨识出薄层互层砂岩结构。更为重要的是,通过波形指示反演剖面可以清晰地解释砂岩的横向边界,波形指示反演技术不仅能够提供纵向上的高分辨率,还能够有效地描绘砂岩的横向叠置特征与砂岩横向边界。这一结果证实了波形指示反演技术在横向分辨率上同样具有较高的精度,具有常规稀疏脉冲反演不可比拟的优势,这对于地质结构的精确刻画和油气藏的详细评估具有重要的实际意义。
4 结论
1)本研究深化了地震波形指示反演技术流程,通过结合波形相似性原则和贝叶斯框架,构建了高分辨率的初始模型,并通过迭代优化得到了高精度的反演结果。该方法突破了传统反演方法的局限性,不仅显著提高了纵向分辨率,还能够有效描绘砂岩的横向叠置特征与砂岩横向边界。此外,本研究还提出了一种基于相关系数曲线确定最佳截止频率的方法,通过分析反演预测曲线与原始曲线相关系数随频率变化的趋势,明确了如何确定薄层砂岩最高分辨率的方法。
2)地震波形指示反演方法在叠置薄砂岩预测中取得了显著的地质效果增量。通过该方法,研究区高台子油层叠置薄砂岩的预测精度达到了2~3 m,参与井和验证井的符合率分别达到了91.5%和85.2%,证明了该方法的合理性和反演结果的高精度。此外,该方法能够详细刻画砂岩的横向叠置关系和空间展布特征,为井位部署和水平井轨迹设计提供了更准确的地质信息。
参考文献
塔里木盆地牙哈地区巴什基奇克组水下分流河道迁移叠置演化规律及地质意义
[J].
DOI:10.3969/j.issn.1006-6535.2024.02.011
[本文引用: 1]
为了明确塔里木盆地牙哈地区干旱气候条件下季节性辫状河三角洲前缘水下分流河道的迁移特征,以巴什基奇克组为例,基于岩心观察、薄片鉴定、粒度分析、测井曲线分析,结合沉积背景,讨论了水下分流河道接触关系及迁移演化特征。结果表明:研究区巴什基奇克组为辫状河三角洲前缘亚相,发育水下分流河道、河口坝和分流间湾等微相;水下分流河道宽度为200~1 500 m,沉积物砂地比高,河道迁移频繁,迁移叠置样式为间湾相隔型、拼接型和切割型;水下分流河道砂体物性整体较好,迁移叠置后可形成孔渗性能较好的连续优质储层。明确水下分流河道迁移叠置规律对于牙哈地区油气勘探的深入具有重要指导意义。
Evolution of migration and superposition of underwater distributary channel of Bashi Kichik Formation in Yaha area of Tarim Basin and its geological significance
[J].
鄂尔多斯盆地大牛地气田二叠系山西组砂体叠置模式及油气开发意义
[J].
DOI:10.12108/yxyqc.20240214
[本文引用: 1]
河流相砂体储层构型对致密砂岩中相对优质储层的分布规律和天然气开发具有重要意义。通过野外地质剖面和钻井岩心观察,结合测井、录井和岩心分析测试资料,对鄂尔多斯盆地大牛地气田大12井区二叠系山西组致密砂岩的砂体构型要素、叠置模式及油气开发意义进行了研究。研究结果表明: ①鄂尔多斯盆地大牛地气田大12井区二叠系山西组发育六级复合辫流带和五级单一辫流带,其中单一辫流带包括河床(分流河道)和河漫共2个四级构型单元,河道内单个心滩沉积包含有三级增生体和落淤层;②辫状河三角洲平原五级单一辫流带中的四级泛滥平原沉积较辫状河河漫沉积更加发育,辫状河心滩沉积中落淤层欠发育;③山西组上部山2-2亚段辫状河单一辫流带内砂体呈“河道-心滩”连续沉积,泥质不发育,砂体叠置程度高(多呈复合式叠置)、连通性好,优质储层多;④山西组中下部山1段和山2-1亚段三角洲平原沉积中,西部河道连片性好,砂体以复合式和侧拼式叠置样式为主,连通性和生产效果均较好,东部砂体多为孤立式和侧接式,砂体钻遇率低,单井产量差。
Sand body superposition model of Permian Shanxi formation in Daniudi gas field of Ordos basin and its significance for oil and gas development
[J].
长庆油田上古生界河流相砂岩叠置模式研究及其在提高水平井储层钻遇率中的应用
[J].
DOI:10.3969/j.issn.1672-9803.2023.02.021
[本文引用: 1]
为精确分析长庆油田上古生界河流相储层单期河道砂体与隔夹层在空间上的配置关系进而提高砂体水平井储层钻遇率,将研究区域内煤层、灰岩及高成熟的古土壤层等标志层作为划分沉积单元的等时面,采用等时相控技术进行对比,并应用切片对比法和等高程对比法划分沉积单元。研究表明,长庆油田上古生界河流相砂体由两期或多期单期河道砂体叠加而成,河道内部隔层自然伽马和电阻率曲线的回返程度与隔层厚度有关,厚度越大曲线回返程度越大,曲线回返程度划分为阶梯式、半幅式及基线式,进一步总结出单期河道砂体在侧向上、垂向上的叠置模式:侧向接触关系主要分为砂体孤立型、砂体对接接触型及砂体切叠接触型;垂向接触关系主要分为砂体间歇式叠加、砂体完整式叠加、砂体侵蚀削截式叠加。通过研究单期河道砂体叠置模式,深入分析单期河道砂体与隔夹层在空间上的配置关系,指导水平井轨迹控制,从而提高有效储层钻遇率。
Study on superimposed patterns of upper Paleozoic fluvial sand bodies and its application in improving reservoir drilling rate of horizontal wells in Changqing Oilfield
[J].
DOI:10.3969/j.issn.1672-9803.2023.02.021
[本文引用: 1]
To accurately analyze the spatial configuration of single channel sand bodies, barriers and interbeds in upper Paleozoic fluvial reservoirs in Changqing Oilfield, and then improve the reservoir drilling rate of sand body horizontal wells, marker beds such as coal seam, limestone and high mature paleosoil layer in the study area were used as isochronous surfaces to divide sedimentation units. Isochronous facies-controlled technology was used for comparison, and slice correlation method and isobath correlation method were used to divide sedimentation units. The study shows that the upper Paleozoic fluvial sand bodies in Changqing Oilfield are formed by the superposition of two or multiple stages of single channel sand bodies. The degree of return of the natural gamma and resistivity curves of the barriers in the river channel is related to the thickness of the barriers. The larger the thickness, the greater degree of curve return. The degree of curve return can be divided into the types of stepped, half amplitude and base line. Furthermore, the superimposed patterns of single channel sand bodies in both lateral and vertical directions were summarized. The lateral contact relationships were mainly divided into sand body isolated type, sand body butt-joint contact type and sand body cutting and stacked contact type. The vertical contact relationships were mainly divided into sand body intermittent stacking, sand body complete stacking and sand body erosion truncated stacking. By studying the superimposed patterns of single channel sand bodies, in-depth analysis of the spatial configuration of single channel sand bodies, barriers and interbeds can guide the trajectory control of horizontal wells and improve effective reservoir drilling rate.
松辽盆地南部中浅层石油地质条件、资源潜力及勘探方向
[J].
The geological conditions,resource potential,and exploration direction of oil of middle-shallow layers in the southern Songliao Basin
[J].
Adaptive time-frequency transform
[C]//
The S-transform with windows of arbitrary and varying shape
[J].
Layer-thickness determination and stratigraphic interpretation using spectral inversion:Theory and application
[J].
Compressed sensing
[J].
基于压缩感知和反演理论的储层预测研究
[J].
DOI:10.3969/j.issn.1000-1441.2022.06.008
[本文引用: 1]
渤海A油田明上段河道砂体发育,是渤海唯一动用明上段地质储量的区块,但该工区地震资料采集时间早,资料中低频成分严重缺失,工区现有地球物理资料中明上段储层地震响应弱,根据这些资料无法指导水平井的部署与实施。为了恢复明上段储层的地震响应特征,指导明上段储层开发,开展了基于压缩感知和稀疏反演的储层预测研究。在用压缩感知理论求得反射系数序列后,将其变换到频率域,然后使用重构算法将反射系数序列的低频成分补偿到地震数据中,实现地震数据的低频补偿。对低频补偿后的地震数据进行波阻抗反演,所得反演结果改善了明上段储层的地震响应,反演剖面上储层顶、底界面相较于现有资料变得更易识别,与已钻井结果对比验证了研究成果的正确性。利用该研究成果,指导了渤海A油田明上段储层的井位部署,在油田开发中获得了较好的应用效果。
Reservoir prediction based on compressed sensing and inversion theory
[J].
DOI:10.3969/j.issn.1000-1441.2022.06.008
[本文引用: 1]
Bohai A Oilfield has well-developed channel sand bodies in the N2m formation,making it the only block in the Bohai Bay where geological reserves in the N2m formation are deposited.However,seismic data acquisition has not been performed recently in this area,and the low-frequency components of the data are lacking.Additionally,existing geophysical data in the work area exhibited poor seismic response to the reservoirs in the N2m formation,which hampered the deployment and implementation of horizontal wells.To restore the seismic response characteristics of channel reservoirs in the N2m formation and guide the development of N2m reservoirs,a reservoir prediction study was carried out based on compressive sensing and acoustic impedance inversion.The reflection coefficient sequence is obtained using the compressed sensing theory and then transformed into the frequency domain.Then,low-frequency compensation of the seismic data was carried out using the reconstruction algorithm.Acoustic impedance inversion was performed on the seismic data after low-frequency compensation,and the results improved the seismic response of channel reservoirs in the N2m formation.Compared with existing data,the top and bottom interfaces of the channel reservoirs became easier to identify.The accuracy of the results was verified via comparison with the drilled wells.The results of this paper were used to guide the well location deployment of N2m formation channel reservoirs in the Bohai A Oilfield and attained good application effects in oil field development.
涪陵地区凉高山组多期叠置河道砂岩叠前高精度识别及预测
[C]//
Pre-stack high-precision identification and prediction of multi-period superimposed river sandstone in the Lianggao Mountain group in Fuling region
[C]//
基于改进的积分展开相位谱识别砂岩叠置区
[C]//
Sandstone superposition identification based on improved integral phase spectrum
[C]//
调谐厚度下薄互层叠置砂岩的响应特征与敏感属性分析
[C]//
Response characteristics and sensitive attribute analysis of thin interbedded sandstone in superposition zone under tuning thickness
[C]//
层状分频构形反演技术的研究与应用——以苏76区块为例
[J].
DOI:10.3969/j.issn.1672-9803.2023.02.020
[本文引用: 1]
致密油气藏开发是当前油气开发的重要组成部分,常规的测井约束反演和地质统计学反演存在一定的局限,其反演精度无法满足非均质性强的储层精细刻画要求。层状分频构形反演技术是针对层状、准层状介质的一种非线性反演技术,通过分频建模、属性建模实现,为此介绍了层状分频构形反演的基本原理和实现过程,论述了层状分频构形反演在苏76区块的应用效果。该技术在苏76区块的应用结果表明,层状分频构形反演对薄储层的预测具有较高的吻合率,能够有效刻画砂体空间展布,是进行井位部署的可靠依据。
Research and application of layered frequency-division configuration inversion technology:A case study of Su 76 block
[J].
典型河流相叠置砂岩构型的地震相位特征分析
[J].
DOI:10.12431/issn.1000-1441.2023.62.06.011
[本文引用: 1]
河流相储层中由于河道迁移、切削等因素形成的不连续边界常常阻碍了储层内部流体的流动, 增大了剩余油气的开采难度。受地震分辨率的限制, 这些不连续边界在常规地震剖面上一般难以识别。通过模型试验, 提出了一种应用于河流相薄互层砂体的提高频率分辨率的相位谱计算方法, 即将一个周期时窗的地震数据末端补零至适当长度, 再进行傅里叶变换, 求取展开相位谱和积分展开相位, 可增加其稳定性; 其次, 基于典型河流相叠置砂体构型, 建立不同纵向高程差的两组砂体叠置模型, 分析不同叠置样式的地震相位特征, 认为相位异常值与砂体不连续夹层厚度存在定性关系, 利用积分展开相位可以较好地识别砂体不连续边界。噪声实验认为信噪比大于5∶1时, 识别结果可信。将该方法应用于渤海南部海域某工区实际地震数据, 识别出两处砂体叠置区域, 其结果与测井识别出的叠置情况吻合。应用结果表明, 将地震数据周期时窗尾端补零求取的积分展开相位在识别叠置砂体不连续边界稳定且有效。
Seismic phases of typical superimposed fluvial sandstone architectures
[J].
DOI:10.12431/issn.1000-1441.2023.62.06.011
[本文引用: 1]
Fluvial reservoir discontinuities caused by channel migration and truncation are unfavorable for fluid flow and remaining oil and gas recovery, and seismic resolution is usually not high enough to detect these discontinuities.Based on model tests, we develop a computational method of phase spectrum to increase frequency resolution for identifying thin interbedded fluvial sands.A Fourier transform of seismic data, which are padded with zeros at the end of the time window to make the fundamental period longer and improve robustness, is executed to obtain unwrapped phase spectrum and integration-based unwrapped phase.Based on typical fluvial sandstone stacking configuration, we establish two groups of superimposed sandstone models with different heights to analyze their phase responses.Owing to the qualitative relationship between phase anomalies and discontinuous interbedded sandstone thickness, it is feasible to use integration-based unwrapped phase to identify sandstone discontinuities, particularly when the signal-to-noise ratio is larger than 5∶1.We apply this method to a survey in the southern Bohai Sea and identify two areas with superimposed sands, which agree with log interpretation.The method of padding with zeros and integration-based unwrapped phase is demonstrated to be stable and effective in discontinuity detection for superimposed sandstones.
波形指示反演在煤层屏蔽薄砂岩分布预测中的应用
[J].
The application of seismic meme inversion to thin sand distribution prediction under coal shield
[J].
强屏蔽下薄储层高精度预测研究——以松辽盆地三肇凹陷为例
[J].
DOI:10.3969/j.issn.1000-1441.2017.03.014
[本文引用: 1]
松辽盆地三肇凹陷扶余油层以浅水三角洲沉积体系为主,单层砂体厚度薄,横向变化快,受T2界面强反射层屏蔽作用影响,目的层砂体无明显地震反射特征。如何降低强屏蔽层的调谐影响,突出薄砂体并进行精细刻画,一直是困扰本区勘探开发的技术难题。研究发现强屏蔽现象主要与反射系数的干涉作用有关,地震波是反射系数干涉作用形成的,当地层中存在较大反射系数时,由于地震波主频较低,会突出强阻抗界面的影响,弱反射系数被淹没,解决强屏蔽效应问题主要应减少地震波干涉效应的影响。由于提高分辨率处理手段局限性较大,经研究分析及试验,采用地震波形指示反演技术,即利用地震波形的横向变化信息代替传统变差函数,实现高频成分的井震联合反演,降低地震强阻抗界面的影响,有效解决了研究区强屏蔽下的薄储层预测问题。
High precision prediction of thin reservoir under strong shielding effect and its application:A case study from Sanzhao Depression,Songliao Basin
[J].
DOI:10.3969/j.issn.1000-1441.2017.03.014
[本文引用: 1]
<p>Fuyu oil layer in Sanzhao Depression,Songliao Basin developed typical sedimental system of shallow water delta that had thin layer of sandbody and fast transverse change.There is no obvious seismic reflection characteristics which affected by the shield effect from strong T2 reflection.How to reduce the strong shield tuning effect,highlight the responses from the fuyu oil layer thin sandbodies and has a fine description,it’s always been a problem in exploration and development in the target.Strong impedance shielding phenomenon is mainly associated with the tuning effect of strong reflection coefficient in the study.When the reflection coefficient is high in the formation,it causes the low seismic frequency.Thus the low reflection coefficient will be "swamped",and the influence of the strong impedance interface will be highlighted.Therefore,the main consideration of weakening shielding effect should be given to reduce the influence of the seismic wave interference effect.Due to the limitations of increased resolution by seismic processing,through a large number of trials,we adopted a new high-resolution inversion technology that called seismic meme inversion.It makes full use of lateral seismic waveform space change information instead of conventional variogram,and realizes seismic and well joint characterization of high frequency components.It effectively reduces the influence of strong seismic impedance interface and achieves the high precision thin reservoir prediction under strong shielding effect in the target area.</p>
地震波形指示反演方法及其应用
[J].
DOI:10.11698/PED.2020.06.08
[本文引用: 1]
针对陆相盆地储集层厚度小、横向变化大,而实际生产对地震分辨率精度要求越来越高的情况,在分析地震沉积学技术特点的基础上,提出了地震波形指示反演方法。该方法通过地震波形动态聚类分析,建立地震波形结构与高频测井曲线结构的映射关系,提高了反演结果的纵向分辨率和横向分辨率;通过构建不同地震相类型的贝叶斯反演框架,实现了真正意义上的相控反演。正演模型验证结果表明,地震波形指示反演可以实现3 m厚度的薄互层精细预测,证明了方法的合理性和反演结果的高精度。大庆长垣应用实例表明,地震波形指示反演对薄互层的识别精度可达2 m,反演结果与钻井的吻合率超过80%。地震波形指示反演能够提高储集层预测精度,为陆相盆地薄互层识别提供了借鉴和参考。图12参22
A method of seismic meme inversion and its application
[J].
测井资料与地震属性关系研究综述
[J].
A review of study on relation between well logging data and seismic attributes
[J].
松辽盆地南部乾安地区上白垩统青三段高分辨率层序地层及沉积特征
[J].
DOI:10.7605/gdlxb.2017.02.025
[本文引用: 1]
综合利用岩心和测井资料,系统总结了松辽盆地南部乾安地区上白垩统青山口组三段高分辨率层序界面的识别标志,建立了高分辨率层序地层格架,对高分辨率层序地层格架内地层叠置特征进行了探讨,并进一步分析了层序地层格架内河道砂体展布特征及沉积相演化规律。识别出冲刷面、底部滞留沉积和滑塌沉积3种高分辨率层序界面识别标志,以及泥岩颜色转换和含油性变化2类辅助性证据,在此基础上将青三段划分为2个三级层序(SQ1,SQ2)、13个四级层序(HFSQ1-HFSQ13),层序内可进一步划分出湖侵体系域(LTST)和湖退体系域(LRST)。四级层序体系域内识别出单向加深A1型、单向加深A2型、单向变浅B型、复合对称C1型和复合对称C2型共5类四级层序结构;三级层序湖平面升降可划分为4个阶段,各阶段内四级层序组合模式各不相同。根据砂体连井对比和平面相分析成果,结合体系域阶段划分,在研究区青三段高分辨率层序地层格架内共总结出4类沉积模式。其中,湖退体系域早期沉积模式砂体分区叠置,河道平面呈分支树杈状。湖退体系域晚期沉积模式砂体规模最大,整体连片叠置,河道平面呈网络交织状,分流河道间湾在河道间呈零星点状分布。湖侵体系域早期沉积模式砂体规模较小,孤立分布,河道平面呈分支树杈状。湖侵体系域晚期沉积模式砂体规模最小,零星分布,河道平面呈曲流状—分支树杈状。
High-resolution sequence stratigraphy and sedimentary characteristics of the Member 3 of Qingshankou Formation of Upper Cretaceous in Qian'an area,south Songliao Basin
[J].
浅水三角洲前缘砂岩地震沉积学研究——以松南乾安地区上白垩统青三段为例
[J].
Seismic sedimentology research on shallow water Delta Front Sandbodies:A case study on Member 3 of upper Cretaceous Qingshankou Formation in Qian'an area,south Songliao Basin,NE China
[J].
/
| 〈 |
|
〉 |
