0 引言
地空电磁法以电磁感应原理为基础,是通过在地面布设发射脉冲或不同频域的电磁信号源,利用飞行装置在空中接收电磁感应信号的一种地球物理勘探方法。该技术具有工作效率快、勘探深度大、信噪比高、可以在地形复杂且勘探难度大的地区开展作业等优势。电磁法主要分为时间域和频率域两种,频率域是通过人工改变供电电源的电流频率,产生不同频率的电磁波,观测不同频率的远区电磁波信号的方法。由于不同频率电磁波信号可以反应不同深度介质的电磁特性,因此可以通过分析不同频率的视电阻率来探测地下目标体。
频率域电磁法最早是采用卡尼亚视电阻率来定性解释地下介质的电性结构,但卡尼亚视电阻率在过渡区及近场区常会发生畸变,不能反应地下真实的电阻率变化规律,因此殷长春等[1 ] 计算了电偶源的全波视电阻率,研究了全区视电阻率定义的思想与方法;方文藻等[2 ] 通过对均匀半空间场的近区公式与远区公式进行比较,引入了校正系数K ,将远区定义的视电阻率乘以校正系数得到了全区视电阻值;黄皓平等[3 ] 利用磁场3个分量分段计算了垂直磁偶极子全区视电阻率;毛先进等[4 ] 提出了水平电偶源频率域电磁测深全区视电阻率直接算法;陈明生等[5 ] 研究了电偶源频率电磁测深中的Ex 分量,得出电场Ex 分量具有分辨率高、观测信噪比高、不需做近场改正的优点。汤井田等[6 ] 计算了CSAMT水平电场y 分量Ey 定义的全区视电阻率,通过模拟计算得出Ey 全区视电阻率可以明显改善非波区的畸变效应。2011年,戚志鹏等[7 ] 提出了在频率域内利用多项式拟合来计算非中心点的垂直分量,用最小二乘原理建立与偏移距有关的视电阻率表达式;郝延松等[8 ] 研究了隧道及矿井中瞬变电磁的全空间视电阻率计算;柳建新等[9 ] 、王启等[10 ] 、王宏宇等[11 ] 讨论了Ex 分量、Eφ 分量定义的广域视电阻率,并对两者定义的广域电阻率进行对比,发现利用水平电场Eφ 分量定义的广域视电阻率可以增大电磁法野外工作的测量范围;刘长胜等[12 ] 研究了地空频率域电磁法的探测范围与探测深度;罗维斌等[13 ] 给出了比值法计算Hy 全区视电阻率公式,对比了不同视电阻率定义法获得的电阻率对模型的响应能力,发现Hy 全区视电阻率在赤道装置和轴向装置的广大区域,对地电模型均有较好地响应;张继峰等[14 ] 采用非结构化有限元数值模拟,研究了多源地空三维电磁垂直磁场的响应特征;秦西社等[15 ] 给出了基于反函数原理的可控源电磁法全域视电阻率定义;钱威州等[16 ] 从垂直磁偶极子Z 方向磁场公式推导了在低感应系数下的视电导率公式,实现了垂直磁偶源频率域电磁测深的一维正演。
目前,国内外电磁法的研究多侧重于时间域,采集数据大多为单一分量的响应信号。由于在接收点可以同时接收X 、Y 、Z 三个方向上的磁场分量,并且实际生产中多种接收设备已具备三分量数据采集能力,相关学者已开展了对磁场各分量的研究。McNeill等[17 -18 ] 对导电半空间中埋藏导体的瞬变电磁各分量响应进行了近似计算,分析了不同分量对异常体的反映,并研究了在瞬变电磁测量中测量电磁场各分量的必要性;刘金涛等[19 ] 通过对瞬变电磁三分量深度研究发现瞬变电磁三分量解释可对异常体的空间特性进行综合解释和精确定位;席振铢等[20 ] 对瞬变电磁三分量测量方法进行了研究,发现X 分量可以用来确定异常体的中心,而Y 、Z 分量可以定性确定异常体的倾向;戚志鹏等[21 ] 研究了瞬变电磁水平分量的视电阻率,用实测数据验证了水平分量可以较好地确定异常体的边界;Sun等[22 ] 研究了多分量、多阵列瞬变电磁方法的实际应用,发现磁场垂直分量的纵向分辨率较高,而水平分量的横向分辨率也较高;Meng等[23 ] 研究了地井瞬变电磁多分量响应的数值分析;张莹莹等[24 -25 ] 研究了多辐射场源地空瞬变电磁法多分量全域视电阻率定义,以及多分量的响应特征;张继锋等[26 -27 ] 研究了地空电磁法在煤矿水害隐患探测方面应用效果,发明了“一种多源频率域地空电磁探测采集系统及方法”;徐晶等[28 ] 采用有限单元法,分析了半航空频率域电磁场电偶源与长导线源的感应磁场三分量在距地面20 m高度的磁场特征,当场源为电偶极源时,Hy 对异常不敏感,而Hx 和Hz 对异常敏感,而三分量对长导线源均有反应。
经过综上研究可知,磁场各分量对解释地下介质的电性特征均有效,为更好地研究磁场多分量信息,本文基于地空电磁场磁场三分量给出了全域视电阻率的计算方法。
1 频率域地空电磁法基本原理
频率域地空电磁法采用电偶源地面供电,通过发射一系列不同频率的电磁波,以无人机搭载接收机在空中进行数据的采集,工作效率大大提升。图1 是水平电偶源地空电磁法示意,AB 是位于地表的电偶极源,坐标轴原点O 位于AB 中点,x 方向为AB 方向,z 方向垂直向下,整个坐标轴满足右手准则。M 表示空中的任一测点,P 是测点M 在地表的投影,R 是测点M 到原点O 的距离,r 表示投影P 到原点的距离,即偏移距,φ 为r 和x 轴正方向的夹角。
图1
图1
水平电偶源频率域地空电磁法
Fig.1
Frequency domain ground-to-air electromagnetic method for horizontal couple sources
由于地表电偶极子在y 方向上的电矢量位是对称的,即Ay =0,所以只存在Ax 、Az 两个分量。根据磁场分量和电矢量位之间的关系,可得磁场各分量的表达式:
(1) H x ( ω ) = P E 2 π s i n ϕ c o s ϕ ∫ 0 ∞ λ 2 λ + u 1 / R 1 e λ z J 0 ( λ r ) d λ - P E 2 π s i n ϕ c o s ϕ r ∫ 0 ∞ 2 λ λ + u 1 / R 1 e λ z J 1 ( λ r ) d λ , H y ( ω ) = P E 2 π s i n 2 ϕ ∫ 0 ∞ λ 2 λ + u 1 / R 1 e λ z J 0 ( λ r ) d λ + P E 2 π ( c o s 2 ϕ - s i n 2 ϕ ) r ∫ 0 ∞ λ λ + u 1 / R 1 e λ z J 1 ( λ r ) d λ , H z ( ω ) = P E 2 π s i n ϕ ∫ 0 ∞ λ 2 λ + u 1 / R 1 e λ z J 1 ( λ r ) d λ 。
(2) R 1 = c t h u 1 h 1 + a r c t h u 1 u 2 c t h u 2 h 2 + … + a r c t h u n - 1 u n
其中:PE =Ids 为点偶极矩;I 为电流强度;ds 为电偶极子长度;ui =λ 2 + k i 2 ;k i 2 =-iωμσi -ω 2 με ;角频率ω =2πf ,频率f ,单位为Hz;磁导率μ ,单位为H/m,一般取真空磁导率μ 0 ,即μ =μ 0 =4π×10-7 H/m;σ 为介质电导率;ε 为介质介电系数,若在导电介质中忽略位移电流,则k i 2 =-iωμσi ;hi 为第i 层厚度。
2 频率域地空电磁法视电阻率的定义
2.1 均匀半空间下频率域磁场各分量随电阻率的变化
建立均匀半空间模型,电偶源位于地表,长度为1 m,电流强度为1 A,即PE =Ids =1 A·m。分别计算偏移距为5 000 m、500 m,飞行高度为30 m、100 m的磁场响应,即以电偶源中点为原点,对应图1 坐标系中的测点坐标分别为(300 m,400 m,-30 m)、(300 m,400 m,-100 m)和(3 000 m,4 000 m,-100 m)时的磁场各分量响应。
图2 ~图4 是不同频率时,磁场强度x 分量、y 分量、z 分量随地层电阻率变化的曲线,可以看出各个频率下Hx 、Hz 随地层电阻率的变大而增大,最后趋于一定值。而Hy 变化曲线的形态比较复杂,呈现先增后减然后趋于一定值的形态。通过比较不同频率的曲线可以看出,高频的分辨率要大于低频的分辨率。对比磁场强度x 、y 、z 3个分量随地层电阻率变化的曲线可以发现Hx 和Hz 曲线形态相似,都比较简单,单调递增,在迭代计算全域视电阻率时只有1个解,而Hy 曲线形态复杂,不具备单调性,在迭代计算全域视电阻率时具有多解性,需要特别注意。
图2
图2
均匀半空间下磁场强度Hx 响应随模型电阻率变化
Fig.2
Magnetic field strength in uniform half-space, Hx response varying with model resistivity
图3
图3
均匀半空间下磁场强度Hy 响应随模型电阻率变化
Fig.3
Magnetic field strength in uniform half-space, Hy response varying with model resistivity
图4
图4
均匀半空间下磁场强度Hz 响应随模型电阻率变化
Fig.4
Magnetic field strength in uniform half-space, Hz response varying with model resistivity
2.2 频率地空电磁法全域视电阻率定义
鉴于Hx 和Hz 迭代计算地层电阻率有唯一的地层电阻率ρ 与之对应,而Hy 曲线不单调,且具有多解性,我们分别对磁场强度x 分量、y 分量、z 分量进行全域电阻率定义。
2.2.1 用频率域磁场强度x 和z 分量定义全域视电阻率
不同频率下Hx 、Hz 随地层电阻率的变大而增大,最后趋于一定值,具有单调性。以磁场强度z 分量为例,将Hz 记为Hz (ρ ,C ,ω ),C 为测点坐标参数。给定ρ τ ( 0 ) 为初值,在ρ τ ( 0 ) 的邻域内对Hz (ρ ,C ,ω )进行泰勒展开:
(3) H z ( ρ , C , ω ) = H z ( ρ τ ( 0 ) , C , ω ) + H ' z ( ρ τ ( 0 ) , C , ω ) · ( ρ - ρ τ ( 0 ) ) + H ″ z ( ρ τ ( 0 ) , C , ω ) 2 ! ( ρ - ρ τ ( 0 ) ) 2 + … + H z ( n ) ( ρ τ ( 0 ) , C , ω ) n ! ( ρ - ρ τ ( 0 ) ) n
(4) H z ( ρ , C , ω ) ≈ H z ( ρ τ ( 0 ) , C , ω ) + H ' z ( ρ τ ( 0 ) , C , ω ) · ( ρ - ρ τ ( 0 ) )
(5) ρ = H z ( ρ , C , ω ) - H z ( ρ τ ( 0 ) , C , ω ) H ' z ( ρ τ ( 0 ) , C , ω ) + ρ τ ( 0 )
将式(5)转换为迭代形式,得到地空系统频率域视电阻率迭代定义式:
(6) ρ τ ( i + 1 ) ≈ Δ ρ τ ( i ) + ρ τ ( i ) ( i = 0,1 , 2 , … )
(7) Δ ρ τ ( i ) = H z ( ρ , C , ω ) - H z ( ρ τ ( i - 1 ) , C , ω ) H ' z ( ρ τ ( i - 1 ) , C , ω )
(8) H z ( ρ , C , ω ) - H z ( ρ τ ( i ) , C , ω ) H z ( ρ , C , ω ) < ε
其中:ε =10-6 ~10-4 ,是迭代终止误差限,Hz (ρ ,C ,ω )是空中某一测点的某一频率对应的频率域磁场强度垂直分量,Hz (ρ τ ( i ) ,C ,ω )是电阻率为ρ τ ( i ) 的均匀半空间在同一测点、同一频率产生的频率域磁场强度垂直分量。磁场强度x 分量定义全域视电阻率的方法和z 分量相同。
2.2.2 用频率域磁场强度Hy 分量定义全域视电阻率
考虑到Hy 的不单调存在多解性,我们选择使用二分法[29 ] 来逼近两个解,并选择其中更合适的解进行输出。由二分法原理可知:当函数F (x )在区间[a ,b ]上单调连续且存在零点,即F (a )·F (b )<0时,令c =a + b 2 ,则F (x )的零点必在[a ,c ]或[c ,b ]之间,将零点所在区间继续二分,不断重复,最后区间越来越小,区间边界逼近零点。当区间足够小时,即可近似将区间边界视为零点。
Hy 随地层电阻率变化曲线不单调,并且利用Hy 迭代求取视电阻率最多只存在两个解。令
(9) F ( ρ τ ( i ) , C , ω ) = H y ( ρ τ ( i ) , C , ω ) - H y ( ρ , C , ω )
给定区间[ρ 1 ,ρ 2 ],当F ( τ ( 1 ) ,C ,ω )·F (ρ τ ( 2 ) ,C ,ω )<0,时,令ρ 3 =ρ 2 ,利用二分法在区间[ρ 3 ,ρ 2 ]进行迭代,具体流程如图5 所示。输出相邻频率的视电阻率值,选择合适的解作为y 分量的视电阻率值。
图5
图5
磁场强度y 分量二分法求取全域视电阻率算法流程
Fig.5
Flow chart of global apparent resistivity algorithm by magnetic field intensity y -component dichotomy
2.2.3 均匀半空间各分量计算全域电阻率对比分析
建立均匀半空间模型,给定参数I =1 A,ds =1 m,电阻率ρ =200 Ω·m,计算不同偏移距r 和不同飞行高度h 的各分量磁场强度并计算地层视电阻率。
由图6 可知,均匀半空间下不同偏移距、不同高度频率域磁场强度x 、y 、z 三分量计算的地层全域视电阻率曲线可以看出,无论是偏移距500 m还是偏移距1 000 m,无论飞行高度是10 m还是100 m,无论是x 分量、y 分量还是z 分量,计算得到的全域视电阻率都能很好地反应模型的地层电阻率。
图6
图6
均匀半空间不同偏移距r 、不同飞行高度h 磁场各分量全域视电阻率
Fig. 6
Global apparent resistivity of magnetic components in a uniform half-space
3 模型验证
为验证各分量全域视电阻率的正确性,建立层状模型,计算x 、y 、z 分量定义的全域视电阻率。分别建立二层和三层层状模型进行计算。
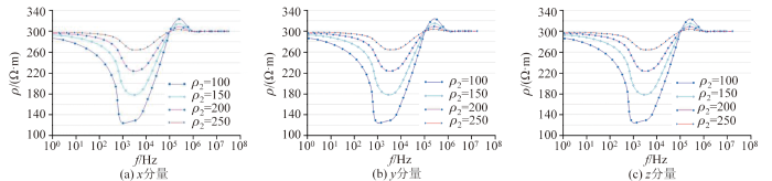
建立二层模型,给定参数I =1 A,ds =1 m,第一层深度h 1 =20 m,电阻率ρ 1 =200 Ω·m,ρ 2 依次等于50、100、150、200、250、300、350 Ω·m,偏移距分别为1 000、500 m,飞行高度为100、50 m,计算频率f =108 ~10 Hz时的磁场强度并计算地层视电阻率。
图7 给出了二层模型磁场强度各分量随着频率的变化曲线。通过改变第二层模型的电阻率,计算出的全域视电阻率随着电阻率值的变化,整体呈现二层模型D或G型电阻率曲线形态。通过对比发现,x 、y 、z 三分量的曲线差异不大,低频时接近第二层视电阻率,随频率升高,向第一层电阻率靠近,在汇于一点后出现反冲效应,随后趋近第一层电阻率。
图7
图7
偏移距1 500 m,飞行高度100 m全域视电阻率
Fig.7
Global apparent resistivity for offset 1 500 m and flight altitude 100 m
整个曲线能很好地反映二层模型的地层电阻率变化情况。从不同偏移距及飞行高度对比可知,偏移距大或小,飞行高度高或低,3个分量计算得到的全域视电阻率曲线都能很好地反映地层电阻率变化。
建立典型三层电模型H型和K型地层,第一层电阻率为ρ 1 ,深度h 1 =20 m,第二层电阻率为ρ 2 ,深度h 2 =70 m,第三层电阻率为ρ 3 ,为向下半无限空间。假设偏移距r =1 500 m,飞行高度z =-100 m,频率f =10~108 Hz,改变第二层电阻率ρ 2 ,分别计算两种模型的全域视电阻率。
H型模型,ρ 1 =300 Ω·m,ρ 3 =300 Ω·m,ρ 2 依次等于100、150、200、250 Ω·m。从图2 ~8 可知,频率较低时全域视电阻率趋于第三层电阻率,高频时趋于第一层电阻率,由于中间层为低阻层,曲线整体呈一个下凹形态,中间低阻层电阻率越低,曲线越“凹”,但总是保持在低阻层实际电阻率之上,同样存在反冲效应。总体上都能反映地层电阻率变化情况。
图8
图8
H型模型磁场各分量全域视电阻率随频率变化曲线
Fig.8
H model global apparent resistivity curves with frequency for each component of magnetic field
K型模型,ρ 1 =300 Ω·m,ρ 3 =300 Ω·m,ρ 2 依次等于350、400、450、500 Ω·m,从图9 可知,x 、y 、z 三分量曲线形态差异不大,频率较低时全域视电阻率趋于第三层电阻率,高频时趋于第一层电阻率,曲线整体呈一个上凸形态,反映出了中间高阻层的存在,且中间高阻层电阻率越高,曲线越“凸”,但总是保持在高阻层实际电阻率之下,同样存在反冲效应,总体上都能反映地层电阻率变化情况。
图9
图9
K型模型磁场各分量全域视电阻率随频率变化曲线
Fig.9
K model global apparent resistivity curves with frequency for each component of magnetic field
对比H、K两种类型的三层模型的全域视电阻率曲线,我们发现不论哪种类型,全域视电阻率曲线都能反映出电下层电阻率变化。通过对比发现,相比于K型模型,三分量全域视电阻率计算对H型更加敏感,比如在H型模型计算中,低阻层电阻率为100 Ω·m时,全域视电阻率曲线最低可以达到130 Ω·m,而在K型模型计算中,高阻层为500 Ω·m时,全域视电阻率最高没有超过400 Ω·m。横向对比频率域磁场强度x 、y 、z 三分量可以发现,频率域磁场强度x 、z 分量的计算全域视电阻率效果要优于y 分量。
4 结论
1)均匀半空间频率域地空电磁法中,磁场x 和z 分量是电阻率的单调函数,可依据其反函数关系得到全域视电阻率的定义,其结果具有单调性。
2)均匀半空间下频率域地空电磁法中,磁场y 分量不是电阻率的单调函数,具有极值,采用二分法把计算区间分为两个单调区间,然后分别计算其视电阻率,可得到全域视电阻率。
3)经典层状模型的全域视电阻率随频率变化的曲线形态基本和地层电阻率变化相吻合,H型三层模型,受中间低阻层影响,曲线下凹,K型三层模型受高阻层影响,曲线上凸,首支趋向于第一层电阻率,尾支趋向于最后一层电阻率。
4)采用磁场强度x 、y 、z 三分量对全域视电阻率进行了定义,计算结果表明:无论偏移距大小、飞行高低和收发距远近,全域视电阻率都能很好地吻合地层电阻率。
参考文献
View Option
[1]
殷长春 , 朴化荣 . 电磁测深法视电阻率定义问题的研究
[J]. 物探与化探 , 1991 , 15 (4 ):290 -299 .
[本文引用: 1]
Yin C C , Piao H R . A study of the DfYINITION of apparentresistivity in electromagnetic sounding
[J]. Geophysical and Geochemical Exploration , 1991 , 15 (4 ):290 -299 .
[本文引用: 1]
[2]
方文藻 , 李貅 , 李予国 , 等 . 频率域电磁法中视电阻率全区定义
[J]. 长安大学学报:地球科学版 , 1992 , 14 (4 ):81 -86 .
[本文引用: 1]
Fang W Z , Li X , Li Y G , et al. The whole-zone definition of apparent resistivity used in the frequency domain electromagnetic methods
[J]. Journal of Chang’an University Earth Science Edition , 1992 , 14 (4 ):81 -86 .
[本文引用: 1]
[3]
黄皓平 , 朴化荣 . 水平多层大地上垂直磁偶极频率测深的全波视电阻率
[J]. 地球物理学报 , 1992 , 35 (3 ):389 -395 .
[本文引用: 1]
Huang H P , Piao H R . Full-wave apparent resistivity from vertical magnetic dipole frequency soundings on a layered earth
[J]. Chinese Journal of Geophysics , 1992 , 35 (3 ):389 -395 .
[本文引用: 1]
[4]
毛先进 , 鲍光淑 . 水平电偶源频率域电磁测深全区视电阻率的直接算法
[J]. 中南工业大学学报 , 1996 (3 ):253 -266 .
[本文引用: 1]
Mao X J , Bao G S . A direct algorithm for full-wave apparent resistivity from horizontal electric dipole frequency soundings
[J]. Journal of Central South University of Technology:Natural Science , 1996 (3 ):253 -266 .
[本文引用: 1]
[5]
陈明生 , 阎述 , 陶冬琴 . 电偶源频率电磁测深中的Ex 分量
[J]. 煤田地质与勘探 , 1998 , 26 (6 ):60 -66 .
[本文引用: 1]
Chen M S , Yan S , Tao D Q . Ex component in the frequency electromagnetic sounding of double source
[J]. Coal Geology & Exploration , 1998 , 26 (6 ):60 -66 .
[本文引用: 1]
[6]
汤井田 , 周聪 , 张林成 . CSAMT电场y 方向视电阻率的定义及研究
[J]. 吉林大学学报:地球科学版 , 2011 , 41 (2 ):552 -558 .
[本文引用: 1]
Tang J T , Zhou C , Zhang L C . A new apparent resistivity of CSAMT defined by electric field y -direction
[J]. Journal of Jilin University:Earth Science Edition , 2011 , 41 (2 ):552 -558 .
[本文引用: 1]
[7]
戚志鹏 , 李貅 , 朱宏伟 , 等 . 大定源装置下瞬变电磁法视电阻率定义
[J]. 地球物理学进展 , 2011 , 26 (4 ):1350 -1358 .
[本文引用: 1]
Qi Z P , Li X , Zhu H W , et al. Definition of apparent resistivity for non-center vertical component of Large-loop TEM configuration
[J]. Progress in Geophysics , 2011 , 26 (4 ):1350 -1358 .
[本文引用: 1]
[8]
郝延松 , 胡博 , 于润桥 , 等 . 磁性源瞬变电磁法视电阻率计算方法
[J]. 物探与化探 , 2012 , 36 (6 ):1034 -1039 .
[本文引用: 1]
Hao Y S , Hu B , Yu R Q , et al. The calculation of the apprarent resistivity for magnetic source tem
[J]. Geophysical and Geochemical Exploration , 2012 , 36 (6 ):1034 -1039 .
[本文引用: 1]
[9]
柳建新 , 佟铁钢 , 刘春明 , 等 . E-Eϕ 广域视电阻率定义的改进方法及场特性识别
[J]. 中国有色金属学报 , 2013 , 23 (9 ):2359 -2364 .
[本文引用: 1]
Liu J X , Tong T G , Liu C M , et al. Recognition of electromagnetic field asymptotic properties and improved definition of wide field apparent resistivity on E-Eϕ array
[J]. The Chinese Journal of Nonferrous Metals , 2013 , 23 (9 ):2359 -2364 .
[本文引用: 1]
[10]
王启 , 王宏宇 , 程党性 . E-Eϕ 、E-Ex 广域视电阻率对比与应用
[J]. 物探与化探 , 2014 , 38 (1 ):120 -124 .
[本文引用: 1]
Wang Q , Wang H Y , Cheng D X . A new apparent resistivity of wide field electromagnetic defined by E-Eϕ & E-Ex component
[J]. Geophysical and Geochemical Exploration , 2014 , 38 (1 ):120 -124 .
[本文引用: 1]
[11]
王宏宇 , 程党性 , 杨旭 . 广域电磁法E-Eϕ 视电阻率研究
[J]. 物探化探计算技术 , 2014 , 36 (1 ):9 -15 .
[本文引用: 1]
Wang H Y , Cheng D X , Yang X . Study on apparent resistivity of wide field electromagnetic defined by Eϕ component
[J]. Computing Techniques for Geophysical and Geochemical Exploration , 2014 , 36 (1 ):9 -15 .
[本文引用: 1]
[12]
刘长胜 , 朱文杰 , 马金发 , 等 . 地空频率域电磁法探测范围与深度分析
[J]. 中国矿业大学学报 , 2020 , 49 (5 ):1006 -1012 .
[本文引用: 1]
Liu C S , Zhu W J , Ma J F , et al. Analysis of detection range and depth of ground-airborne frequency domain electromagnetic method
[J]. Journal of China University of Mining & Technology , 2020 , 49 (5 ):1006 -1012 .
[本文引用: 1]
[13]
罗维斌 , 丁志军 , 高曙德 , 等 . 测量磁场水平分量Hy 的电性源广域电磁测深法
[J]. 物探与化探 , 2021 , 45 (1 ):46 -56 .
[本文引用: 1]
Luo W B , Ding Z J , Gao S D , et al. Wide field electromagnetic sounding using y-component magnetic field with horizontal current dipole source
[J]. Geophysical and Geochemical Exploration , 2021 , 45 (1 ):46 -56 .
[本文引用: 1]
[14]
张继锋 , 刘寄仁 , 冯兵 , 等 . 多源频率域地空系统三维电磁响应分析
[J]. 地球物理学报 , 2021 , 64 (4 ):1419 -1434 .
DOI:10.6038/cjg2021O0134
[本文引用: 1]
地空电磁法已经成为深部资源勘探的重要地球物理方法,但对频率域地空系统的三维多源电磁响应特征研究较少.本文设计了多种激励源组合方式,采用非结构化有限元数值模拟方法,对三维地电模型的空中垂直磁场的响应特征进行了研究.首先推导了基于电场的双旋度公式及其变分形式,加入罚项以减少伪解的影响.接着把有限元稀疏矩阵方程转换为频率的函数,采用Krylov子空间投影方法,通过模型降阶算法降低稀疏矩阵的阶数,实现多频点的快速计算.建立了三维低阻体模型、高阻体模型以及两个相邻低阻体模型,分别采用单源、双源、三源和四源激励模式,从垂直磁场的总场、二次场响应和全域视电阻率等方面进行分析比较.结果表明:多源地空电磁法不仅可以增加总场的强度,而且可以改变异常体的二次电磁响应分布规律.各电偶源延长线呈正三角形分布的三源和矩形分布的四源激励模式在增强信号强度以及削弱异常体的边界效应方面具有一定的优势,是一种优化的多源激励方式.
Zhang J F , Liu J R , Feng B , et al. Three-dimensional response of the 3D grounded multiple-source airborne EM system in the frequency domain
[J]. Chinese Journal of Geophysics , 2021 , 64 (4 ):1419 -1434 .
[本文引用: 1]
[15]
秦西社 , 马劼 , 郭文波 , 等 . 基于反函数原理的可控源大地电磁法全场域视电阻率定义
[J]. 物探与化探 , 2022 , 46 (2 ):373 -382 .
[本文引用: 1]
Qin X S , Ma J , Guo W B , et al. Definition of full-field apparent resistivity of controlled source magnetotellurics based on inverse function principle
[J]. Geophysical and Geochemical Exploration , 2022 , 46 (2 ):373 -382 .
[本文引用: 1]
[16]
钱威州 , 陈辉 , 邓居智 , 等 . 垂直磁偶源频率域电磁测深法一维正演及响应特征
[J]. 科学技术与工程 , 2023 , 23 (12 ):4958 -4964 .
[本文引用: 1]
Qian W Z , Chen H , Deng J Z , et al. One-dimensional modeling and response characteristics of vertical magnetic dipoles frequency-domain electromagnetic sounding method
[J]. Science Technology and Engineering , 2023 , 23 (12 ):4958 -4964 .
[本文引用: 1]
[17]
McNeill J D , Edwards R N , Levy G M . Approximate calculations of the transient electromagnetic response from buried conductors in a conductive half-space
[J]. Geophysics , 1984 , 49 (7 ):918 -924 .
[本文引用: 1]
[18]
McNeill J D . Why should I measure three components in a time-domain electromagnetic survey
[R]. Mississauga : Geonica Limited ,1992.
[本文引用: 1]
[19]
刘金涛 , 顾汉明 , 胡祥云 . 瞬变电磁法三分量解释剖析
[J]. 人民长江 , 2008 , 39 (11 ):114 -116 .
[本文引用: 1]
Liu J T , Gu H M , Hu X Y . Analysis of three component interpretation of transient electromagnetic method
[J]. Yangtze River , 2008 , 39 (11 ):114 -116 .
[本文引用: 1]
[20]
席振铢 , 刘剑 , 龙霞 , 等 . 瞬变电磁法三分量测量方法研究
[J]. 中南大学学报:自然科学版 , 2010 , 41 (1 ):272 -276 .
[本文引用: 1]
Xi Z Z , Liu J , Long X , et al. Three-component measurement in transient electromagnetic method
[J]. Journal of Central South University:Science and Technology Edition , 2010 , 41 (1 ):272 -276 .
[本文引用: 1]
[21]
戚志鹏 , 李貅 , 郭文波 , 等 . 瞬变电磁水平分量视电阻率定义
[J]. 煤炭学报 , 2011 , 36 (S1 ):88 -93 .
[本文引用: 1]
Qi Z P , Li X , Guo W B , et al. Definition of apparent resistivity for horizontal-component of transient electromagnetic method
[J]. Journal of China Coal Society , 2011 , 36 (S1 ):88 -93 .
[本文引用: 1]
[22]
Sun H F , Li X , Li S C , et al. Multi-component and multi-array TEM detection in Karst tunnels
[J]. Journal of Geophysics and Engineering , 2012 , 9 (4 ):359 -373 .
[本文引用: 1]
[23]
Meng Q X , Hu X Y , Pan H P , et al. Numerical analysis of multicomponent responses of surface-hole transient electromagnetic method
[J]. Applied Geophysics , 2017 , 14 (1 ):175 -186 .
[本文引用: 1]
[24]
张莹莹 , 李貅 , 姚伟华 , 等 . 多辐射场源地空瞬变电磁法多分量全域视电阻率定义
[J]. 地球物理学报 , 2015 , 58 (8 ):2745 -2758 .
DOI:10.6038/cjg20150811
[本文引用: 1]
本文针对多辐射场源地空瞬变电磁法理论, 建立了相应的多分量全域视电阻率定义方法.分析了利用磁场强度进行多辐射场源地空系统全域视电阻率定义的优点, 针对磁场强度的各个分量, 提出了各自的全域视电阻率算法, 实现了多分量、全时域、全空域视电阻率计算, 并分析了偏移距对全域视电阻率的影响.通过调整源的相对位置及电流方向等参数, 多辐射源瞬变电磁地空系统不仅可以加强不同分量信号强度, 削弱随机干扰, 还可更好地分辨地下异常体的位置.通过对所设计模型的处理, 证实了多辐射场源地空系统多分量全域视电阻率算法的有效性, 也验证了多辐射场源地空系统的优势.
Zhang Y Y , Li X , Yao W H , et al. Multi-component full field apparent resistivity definition of multi-source ground-airborne transient electromagnetic method with galvanic sources
[J]. Chinese Journal of Geophysics , 2015 , 58 (8 ):2745 -2758 .
[本文引用: 1]
[25]
张莹莹 . 多辐射场源半航空瞬变电磁法多分量响应特征分析
[J]. 物探与化探 , 2021 , 45 (1 ):102 -113 .
[本文引用: 1]
Zhang Y Y . An analysis of full-component response of multi-source semi-airborne TEM method
[J]. Geophysical and Geochemical Exploration , 2021 , 45 (1 ):102 -113 .
[本文引用: 1]
[26]
张继锋 , 孙乃泉 , 刘最亮 , 等 . 电磁法在煤矿水害隐患探测方面的综述
[J]. 煤田地质与勘探 , 2023 , 51 (2 ):301 -316 .
[本文引用: 1]
Zhang J F , Sun N Q , Liu Z L , et al. Electromagnetic methods in the detection of water hazards in coal mines:A review
[J]. Coal Geology & Exploration , 2023 , 51 (2 ):301 -316 .
[本文引用: 1]
[27]
张继锋 , 刘寄仁 , 冯兵 . 一种多源频率域地空电磁探测采集系统及方法:CN111796328A [P].2020-10-20.
[本文引用: 1]
Zhang J F , Liu J R , Feng B . A multi-source frequency domain ground-to-air electromagnetic detection acquisition system and method:CN111796328A [P].2020-10-20.
[本文引用: 1]
[28]
徐晶 , 强建科 , 张钱江 , 等 . 半航空频率域电磁测深2.5D正演模拟中几个关键问题
[J]. 地球物理学进展 , 2024 , 39 (1 ):431 -446 .
[本文引用: 1]
Xu J , Qiang J K , Zhang Q J , et al. Several key issues in 2.5D forward modeling of semi-airborne electromagnetic sounding in the frequency domain
[J]. Progress in Geophysics , 2024 , 39 (1 ):431 -446 .
[本文引用: 1]
[29]
陈清礼 . 瞬变电磁法全区视电阻率的二分搜索算法
[J]. 石油天然气学报 , 2009 , 31 (2 ):45 -49 ,12,11.
[本文引用: 1]
Chen Q L . Searching algorithm for full time apparent resistivity from TEM electromotive force data
[J]. Journal of Oil and Gas Technology , 2009 , 31 (2 ):45 -49 ,12,11.
[本文引用: 1]
电磁测深法视电阻率定义问题的研究
1
1991
... 频率域电磁法最早是采用卡尼亚视电阻率来定性解释地下介质的电性结构,但卡尼亚视电阻率在过渡区及近场区常会发生畸变,不能反应地下真实的电阻率变化规律,因此殷长春等[1 ] 计算了电偶源的全波视电阻率,研究了全区视电阻率定义的思想与方法;方文藻等[2 ] 通过对均匀半空间场的近区公式与远区公式进行比较,引入了校正系数K ,将远区定义的视电阻率乘以校正系数得到了全区视电阻值;黄皓平等[3 ] 利用磁场3个分量分段计算了垂直磁偶极子全区视电阻率;毛先进等[4 ] 提出了水平电偶源频率域电磁测深全区视电阻率直接算法;陈明生等[5 ] 研究了电偶源频率电磁测深中的Ex 分量,得出电场Ex 分量具有分辨率高、观测信噪比高、不需做近场改正的优点.汤井田等[6 ] 计算了CSAMT水平电场y 分量Ey 定义的全区视电阻率,通过模拟计算得出Ey 全区视电阻率可以明显改善非波区的畸变效应.2011年,戚志鹏等[7 ] 提出了在频率域内利用多项式拟合来计算非中心点的垂直分量,用最小二乘原理建立与偏移距有关的视电阻率表达式;郝延松等[8 ] 研究了隧道及矿井中瞬变电磁的全空间视电阻率计算;柳建新等[9 ] 、王启等[10 ] 、王宏宇等[11 ] 讨论了Ex 分量、Eφ 分量定义的广域视电阻率,并对两者定义的广域电阻率进行对比,发现利用水平电场Eφ 分量定义的广域视电阻率可以增大电磁法野外工作的测量范围;刘长胜等[12 ] 研究了地空频率域电磁法的探测范围与探测深度;罗维斌等[13 ] 给出了比值法计算Hy 全区视电阻率公式,对比了不同视电阻率定义法获得的电阻率对模型的响应能力,发现Hy 全区视电阻率在赤道装置和轴向装置的广大区域,对地电模型均有较好地响应;张继峰等[14 ] 采用非结构化有限元数值模拟,研究了多源地空三维电磁垂直磁场的响应特征;秦西社等[15 ] 给出了基于反函数原理的可控源电磁法全域视电阻率定义;钱威州等[16 ] 从垂直磁偶极子Z 方向磁场公式推导了在低感应系数下的视电导率公式,实现了垂直磁偶源频率域电磁测深的一维正演. ...
电磁测深法视电阻率定义问题的研究
1
1991
... 频率域电磁法最早是采用卡尼亚视电阻率来定性解释地下介质的电性结构,但卡尼亚视电阻率在过渡区及近场区常会发生畸变,不能反应地下真实的电阻率变化规律,因此殷长春等[1 ] 计算了电偶源的全波视电阻率,研究了全区视电阻率定义的思想与方法;方文藻等[2 ] 通过对均匀半空间场的近区公式与远区公式进行比较,引入了校正系数K ,将远区定义的视电阻率乘以校正系数得到了全区视电阻值;黄皓平等[3 ] 利用磁场3个分量分段计算了垂直磁偶极子全区视电阻率;毛先进等[4 ] 提出了水平电偶源频率域电磁测深全区视电阻率直接算法;陈明生等[5 ] 研究了电偶源频率电磁测深中的Ex 分量,得出电场Ex 分量具有分辨率高、观测信噪比高、不需做近场改正的优点.汤井田等[6 ] 计算了CSAMT水平电场y 分量Ey 定义的全区视电阻率,通过模拟计算得出Ey 全区视电阻率可以明显改善非波区的畸变效应.2011年,戚志鹏等[7 ] 提出了在频率域内利用多项式拟合来计算非中心点的垂直分量,用最小二乘原理建立与偏移距有关的视电阻率表达式;郝延松等[8 ] 研究了隧道及矿井中瞬变电磁的全空间视电阻率计算;柳建新等[9 ] 、王启等[10 ] 、王宏宇等[11 ] 讨论了Ex 分量、Eφ 分量定义的广域视电阻率,并对两者定义的广域电阻率进行对比,发现利用水平电场Eφ 分量定义的广域视电阻率可以增大电磁法野外工作的测量范围;刘长胜等[12 ] 研究了地空频率域电磁法的探测范围与探测深度;罗维斌等[13 ] 给出了比值法计算Hy 全区视电阻率公式,对比了不同视电阻率定义法获得的电阻率对模型的响应能力,发现Hy 全区视电阻率在赤道装置和轴向装置的广大区域,对地电模型均有较好地响应;张继峰等[14 ] 采用非结构化有限元数值模拟,研究了多源地空三维电磁垂直磁场的响应特征;秦西社等[15 ] 给出了基于反函数原理的可控源电磁法全域视电阻率定义;钱威州等[16 ] 从垂直磁偶极子Z 方向磁场公式推导了在低感应系数下的视电导率公式,实现了垂直磁偶源频率域电磁测深的一维正演. ...
频率域电磁法中视电阻率全区定义
1
1992
... 频率域电磁法最早是采用卡尼亚视电阻率来定性解释地下介质的电性结构,但卡尼亚视电阻率在过渡区及近场区常会发生畸变,不能反应地下真实的电阻率变化规律,因此殷长春等[1 ] 计算了电偶源的全波视电阻率,研究了全区视电阻率定义的思想与方法;方文藻等[2 ] 通过对均匀半空间场的近区公式与远区公式进行比较,引入了校正系数K ,将远区定义的视电阻率乘以校正系数得到了全区视电阻值;黄皓平等[3 ] 利用磁场3个分量分段计算了垂直磁偶极子全区视电阻率;毛先进等[4 ] 提出了水平电偶源频率域电磁测深全区视电阻率直接算法;陈明生等[5 ] 研究了电偶源频率电磁测深中的Ex 分量,得出电场Ex 分量具有分辨率高、观测信噪比高、不需做近场改正的优点.汤井田等[6 ] 计算了CSAMT水平电场y 分量Ey 定义的全区视电阻率,通过模拟计算得出Ey 全区视电阻率可以明显改善非波区的畸变效应.2011年,戚志鹏等[7 ] 提出了在频率域内利用多项式拟合来计算非中心点的垂直分量,用最小二乘原理建立与偏移距有关的视电阻率表达式;郝延松等[8 ] 研究了隧道及矿井中瞬变电磁的全空间视电阻率计算;柳建新等[9 ] 、王启等[10 ] 、王宏宇等[11 ] 讨论了Ex 分量、Eφ 分量定义的广域视电阻率,并对两者定义的广域电阻率进行对比,发现利用水平电场Eφ 分量定义的广域视电阻率可以增大电磁法野外工作的测量范围;刘长胜等[12 ] 研究了地空频率域电磁法的探测范围与探测深度;罗维斌等[13 ] 给出了比值法计算Hy 全区视电阻率公式,对比了不同视电阻率定义法获得的电阻率对模型的响应能力,发现Hy 全区视电阻率在赤道装置和轴向装置的广大区域,对地电模型均有较好地响应;张继峰等[14 ] 采用非结构化有限元数值模拟,研究了多源地空三维电磁垂直磁场的响应特征;秦西社等[15 ] 给出了基于反函数原理的可控源电磁法全域视电阻率定义;钱威州等[16 ] 从垂直磁偶极子Z 方向磁场公式推导了在低感应系数下的视电导率公式,实现了垂直磁偶源频率域电磁测深的一维正演. ...
频率域电磁法中视电阻率全区定义
1
1992
... 频率域电磁法最早是采用卡尼亚视电阻率来定性解释地下介质的电性结构,但卡尼亚视电阻率在过渡区及近场区常会发生畸变,不能反应地下真实的电阻率变化规律,因此殷长春等[1 ] 计算了电偶源的全波视电阻率,研究了全区视电阻率定义的思想与方法;方文藻等[2 ] 通过对均匀半空间场的近区公式与远区公式进行比较,引入了校正系数K ,将远区定义的视电阻率乘以校正系数得到了全区视电阻值;黄皓平等[3 ] 利用磁场3个分量分段计算了垂直磁偶极子全区视电阻率;毛先进等[4 ] 提出了水平电偶源频率域电磁测深全区视电阻率直接算法;陈明生等[5 ] 研究了电偶源频率电磁测深中的Ex 分量,得出电场Ex 分量具有分辨率高、观测信噪比高、不需做近场改正的优点.汤井田等[6 ] 计算了CSAMT水平电场y 分量Ey 定义的全区视电阻率,通过模拟计算得出Ey 全区视电阻率可以明显改善非波区的畸变效应.2011年,戚志鹏等[7 ] 提出了在频率域内利用多项式拟合来计算非中心点的垂直分量,用最小二乘原理建立与偏移距有关的视电阻率表达式;郝延松等[8 ] 研究了隧道及矿井中瞬变电磁的全空间视电阻率计算;柳建新等[9 ] 、王启等[10 ] 、王宏宇等[11 ] 讨论了Ex 分量、Eφ 分量定义的广域视电阻率,并对两者定义的广域电阻率进行对比,发现利用水平电场Eφ 分量定义的广域视电阻率可以增大电磁法野外工作的测量范围;刘长胜等[12 ] 研究了地空频率域电磁法的探测范围与探测深度;罗维斌等[13 ] 给出了比值法计算Hy 全区视电阻率公式,对比了不同视电阻率定义法获得的电阻率对模型的响应能力,发现Hy 全区视电阻率在赤道装置和轴向装置的广大区域,对地电模型均有较好地响应;张继峰等[14 ] 采用非结构化有限元数值模拟,研究了多源地空三维电磁垂直磁场的响应特征;秦西社等[15 ] 给出了基于反函数原理的可控源电磁法全域视电阻率定义;钱威州等[16 ] 从垂直磁偶极子Z 方向磁场公式推导了在低感应系数下的视电导率公式,实现了垂直磁偶源频率域电磁测深的一维正演. ...
水平多层大地上垂直磁偶极频率测深的全波视电阻率
1
1992
... 频率域电磁法最早是采用卡尼亚视电阻率来定性解释地下介质的电性结构,但卡尼亚视电阻率在过渡区及近场区常会发生畸变,不能反应地下真实的电阻率变化规律,因此殷长春等[1 ] 计算了电偶源的全波视电阻率,研究了全区视电阻率定义的思想与方法;方文藻等[2 ] 通过对均匀半空间场的近区公式与远区公式进行比较,引入了校正系数K ,将远区定义的视电阻率乘以校正系数得到了全区视电阻值;黄皓平等[3 ] 利用磁场3个分量分段计算了垂直磁偶极子全区视电阻率;毛先进等[4 ] 提出了水平电偶源频率域电磁测深全区视电阻率直接算法;陈明生等[5 ] 研究了电偶源频率电磁测深中的Ex 分量,得出电场Ex 分量具有分辨率高、观测信噪比高、不需做近场改正的优点.汤井田等[6 ] 计算了CSAMT水平电场y 分量Ey 定义的全区视电阻率,通过模拟计算得出Ey 全区视电阻率可以明显改善非波区的畸变效应.2011年,戚志鹏等[7 ] 提出了在频率域内利用多项式拟合来计算非中心点的垂直分量,用最小二乘原理建立与偏移距有关的视电阻率表达式;郝延松等[8 ] 研究了隧道及矿井中瞬变电磁的全空间视电阻率计算;柳建新等[9 ] 、王启等[10 ] 、王宏宇等[11 ] 讨论了Ex 分量、Eφ 分量定义的广域视电阻率,并对两者定义的广域电阻率进行对比,发现利用水平电场Eφ 分量定义的广域视电阻率可以增大电磁法野外工作的测量范围;刘长胜等[12 ] 研究了地空频率域电磁法的探测范围与探测深度;罗维斌等[13 ] 给出了比值法计算Hy 全区视电阻率公式,对比了不同视电阻率定义法获得的电阻率对模型的响应能力,发现Hy 全区视电阻率在赤道装置和轴向装置的广大区域,对地电模型均有较好地响应;张继峰等[14 ] 采用非结构化有限元数值模拟,研究了多源地空三维电磁垂直磁场的响应特征;秦西社等[15 ] 给出了基于反函数原理的可控源电磁法全域视电阻率定义;钱威州等[16 ] 从垂直磁偶极子Z 方向磁场公式推导了在低感应系数下的视电导率公式,实现了垂直磁偶源频率域电磁测深的一维正演. ...
水平多层大地上垂直磁偶极频率测深的全波视电阻率
1
1992
... 频率域电磁法最早是采用卡尼亚视电阻率来定性解释地下介质的电性结构,但卡尼亚视电阻率在过渡区及近场区常会发生畸变,不能反应地下真实的电阻率变化规律,因此殷长春等[1 ] 计算了电偶源的全波视电阻率,研究了全区视电阻率定义的思想与方法;方文藻等[2 ] 通过对均匀半空间场的近区公式与远区公式进行比较,引入了校正系数K ,将远区定义的视电阻率乘以校正系数得到了全区视电阻值;黄皓平等[3 ] 利用磁场3个分量分段计算了垂直磁偶极子全区视电阻率;毛先进等[4 ] 提出了水平电偶源频率域电磁测深全区视电阻率直接算法;陈明生等[5 ] 研究了电偶源频率电磁测深中的Ex 分量,得出电场Ex 分量具有分辨率高、观测信噪比高、不需做近场改正的优点.汤井田等[6 ] 计算了CSAMT水平电场y 分量Ey 定义的全区视电阻率,通过模拟计算得出Ey 全区视电阻率可以明显改善非波区的畸变效应.2011年,戚志鹏等[7 ] 提出了在频率域内利用多项式拟合来计算非中心点的垂直分量,用最小二乘原理建立与偏移距有关的视电阻率表达式;郝延松等[8 ] 研究了隧道及矿井中瞬变电磁的全空间视电阻率计算;柳建新等[9 ] 、王启等[10 ] 、王宏宇等[11 ] 讨论了Ex 分量、Eφ 分量定义的广域视电阻率,并对两者定义的广域电阻率进行对比,发现利用水平电场Eφ 分量定义的广域视电阻率可以增大电磁法野外工作的测量范围;刘长胜等[12 ] 研究了地空频率域电磁法的探测范围与探测深度;罗维斌等[13 ] 给出了比值法计算Hy 全区视电阻率公式,对比了不同视电阻率定义法获得的电阻率对模型的响应能力,发现Hy 全区视电阻率在赤道装置和轴向装置的广大区域,对地电模型均有较好地响应;张继峰等[14 ] 采用非结构化有限元数值模拟,研究了多源地空三维电磁垂直磁场的响应特征;秦西社等[15 ] 给出了基于反函数原理的可控源电磁法全域视电阻率定义;钱威州等[16 ] 从垂直磁偶极子Z 方向磁场公式推导了在低感应系数下的视电导率公式,实现了垂直磁偶源频率域电磁测深的一维正演. ...
水平电偶源频率域电磁测深全区视电阻率的直接算法
1
1996
... 频率域电磁法最早是采用卡尼亚视电阻率来定性解释地下介质的电性结构,但卡尼亚视电阻率在过渡区及近场区常会发生畸变,不能反应地下真实的电阻率变化规律,因此殷长春等[1 ] 计算了电偶源的全波视电阻率,研究了全区视电阻率定义的思想与方法;方文藻等[2 ] 通过对均匀半空间场的近区公式与远区公式进行比较,引入了校正系数K ,将远区定义的视电阻率乘以校正系数得到了全区视电阻值;黄皓平等[3 ] 利用磁场3个分量分段计算了垂直磁偶极子全区视电阻率;毛先进等[4 ] 提出了水平电偶源频率域电磁测深全区视电阻率直接算法;陈明生等[5 ] 研究了电偶源频率电磁测深中的Ex 分量,得出电场Ex 分量具有分辨率高、观测信噪比高、不需做近场改正的优点.汤井田等[6 ] 计算了CSAMT水平电场y 分量Ey 定义的全区视电阻率,通过模拟计算得出Ey 全区视电阻率可以明显改善非波区的畸变效应.2011年,戚志鹏等[7 ] 提出了在频率域内利用多项式拟合来计算非中心点的垂直分量,用最小二乘原理建立与偏移距有关的视电阻率表达式;郝延松等[8 ] 研究了隧道及矿井中瞬变电磁的全空间视电阻率计算;柳建新等[9 ] 、王启等[10 ] 、王宏宇等[11 ] 讨论了Ex 分量、Eφ 分量定义的广域视电阻率,并对两者定义的广域电阻率进行对比,发现利用水平电场Eφ 分量定义的广域视电阻率可以增大电磁法野外工作的测量范围;刘长胜等[12 ] 研究了地空频率域电磁法的探测范围与探测深度;罗维斌等[13 ] 给出了比值法计算Hy 全区视电阻率公式,对比了不同视电阻率定义法获得的电阻率对模型的响应能力,发现Hy 全区视电阻率在赤道装置和轴向装置的广大区域,对地电模型均有较好地响应;张继峰等[14 ] 采用非结构化有限元数值模拟,研究了多源地空三维电磁垂直磁场的响应特征;秦西社等[15 ] 给出了基于反函数原理的可控源电磁法全域视电阻率定义;钱威州等[16 ] 从垂直磁偶极子Z 方向磁场公式推导了在低感应系数下的视电导率公式,实现了垂直磁偶源频率域电磁测深的一维正演. ...
水平电偶源频率域电磁测深全区视电阻率的直接算法
1
1996
... 频率域电磁法最早是采用卡尼亚视电阻率来定性解释地下介质的电性结构,但卡尼亚视电阻率在过渡区及近场区常会发生畸变,不能反应地下真实的电阻率变化规律,因此殷长春等[1 ] 计算了电偶源的全波视电阻率,研究了全区视电阻率定义的思想与方法;方文藻等[2 ] 通过对均匀半空间场的近区公式与远区公式进行比较,引入了校正系数K ,将远区定义的视电阻率乘以校正系数得到了全区视电阻值;黄皓平等[3 ] 利用磁场3个分量分段计算了垂直磁偶极子全区视电阻率;毛先进等[4 ] 提出了水平电偶源频率域电磁测深全区视电阻率直接算法;陈明生等[5 ] 研究了电偶源频率电磁测深中的Ex 分量,得出电场Ex 分量具有分辨率高、观测信噪比高、不需做近场改正的优点.汤井田等[6 ] 计算了CSAMT水平电场y 分量Ey 定义的全区视电阻率,通过模拟计算得出Ey 全区视电阻率可以明显改善非波区的畸变效应.2011年,戚志鹏等[7 ] 提出了在频率域内利用多项式拟合来计算非中心点的垂直分量,用最小二乘原理建立与偏移距有关的视电阻率表达式;郝延松等[8 ] 研究了隧道及矿井中瞬变电磁的全空间视电阻率计算;柳建新等[9 ] 、王启等[10 ] 、王宏宇等[11 ] 讨论了Ex 分量、Eφ 分量定义的广域视电阻率,并对两者定义的广域电阻率进行对比,发现利用水平电场Eφ 分量定义的广域视电阻率可以增大电磁法野外工作的测量范围;刘长胜等[12 ] 研究了地空频率域电磁法的探测范围与探测深度;罗维斌等[13 ] 给出了比值法计算Hy 全区视电阻率公式,对比了不同视电阻率定义法获得的电阻率对模型的响应能力,发现Hy 全区视电阻率在赤道装置和轴向装置的广大区域,对地电模型均有较好地响应;张继峰等[14 ] 采用非结构化有限元数值模拟,研究了多源地空三维电磁垂直磁场的响应特征;秦西社等[15 ] 给出了基于反函数原理的可控源电磁法全域视电阻率定义;钱威州等[16 ] 从垂直磁偶极子Z 方向磁场公式推导了在低感应系数下的视电导率公式,实现了垂直磁偶源频率域电磁测深的一维正演. ...
电偶源频率电磁测深中的Ex 分量
1
1998
... 频率域电磁法最早是采用卡尼亚视电阻率来定性解释地下介质的电性结构,但卡尼亚视电阻率在过渡区及近场区常会发生畸变,不能反应地下真实的电阻率变化规律,因此殷长春等[1 ] 计算了电偶源的全波视电阻率,研究了全区视电阻率定义的思想与方法;方文藻等[2 ] 通过对均匀半空间场的近区公式与远区公式进行比较,引入了校正系数K ,将远区定义的视电阻率乘以校正系数得到了全区视电阻值;黄皓平等[3 ] 利用磁场3个分量分段计算了垂直磁偶极子全区视电阻率;毛先进等[4 ] 提出了水平电偶源频率域电磁测深全区视电阻率直接算法;陈明生等[5 ] 研究了电偶源频率电磁测深中的Ex 分量,得出电场Ex 分量具有分辨率高、观测信噪比高、不需做近场改正的优点.汤井田等[6 ] 计算了CSAMT水平电场y 分量Ey 定义的全区视电阻率,通过模拟计算得出Ey 全区视电阻率可以明显改善非波区的畸变效应.2011年,戚志鹏等[7 ] 提出了在频率域内利用多项式拟合来计算非中心点的垂直分量,用最小二乘原理建立与偏移距有关的视电阻率表达式;郝延松等[8 ] 研究了隧道及矿井中瞬变电磁的全空间视电阻率计算;柳建新等[9 ] 、王启等[10 ] 、王宏宇等[11 ] 讨论了Ex 分量、Eφ 分量定义的广域视电阻率,并对两者定义的广域电阻率进行对比,发现利用水平电场Eφ 分量定义的广域视电阻率可以增大电磁法野外工作的测量范围;刘长胜等[12 ] 研究了地空频率域电磁法的探测范围与探测深度;罗维斌等[13 ] 给出了比值法计算Hy 全区视电阻率公式,对比了不同视电阻率定义法获得的电阻率对模型的响应能力,发现Hy 全区视电阻率在赤道装置和轴向装置的广大区域,对地电模型均有较好地响应;张继峰等[14 ] 采用非结构化有限元数值模拟,研究了多源地空三维电磁垂直磁场的响应特征;秦西社等[15 ] 给出了基于反函数原理的可控源电磁法全域视电阻率定义;钱威州等[16 ] 从垂直磁偶极子Z 方向磁场公式推导了在低感应系数下的视电导率公式,实现了垂直磁偶源频率域电磁测深的一维正演. ...
电偶源频率电磁测深中的Ex 分量
1
1998
... 频率域电磁法最早是采用卡尼亚视电阻率来定性解释地下介质的电性结构,但卡尼亚视电阻率在过渡区及近场区常会发生畸变,不能反应地下真实的电阻率变化规律,因此殷长春等[1 ] 计算了电偶源的全波视电阻率,研究了全区视电阻率定义的思想与方法;方文藻等[2 ] 通过对均匀半空间场的近区公式与远区公式进行比较,引入了校正系数K ,将远区定义的视电阻率乘以校正系数得到了全区视电阻值;黄皓平等[3 ] 利用磁场3个分量分段计算了垂直磁偶极子全区视电阻率;毛先进等[4 ] 提出了水平电偶源频率域电磁测深全区视电阻率直接算法;陈明生等[5 ] 研究了电偶源频率电磁测深中的Ex 分量,得出电场Ex 分量具有分辨率高、观测信噪比高、不需做近场改正的优点.汤井田等[6 ] 计算了CSAMT水平电场y 分量Ey 定义的全区视电阻率,通过模拟计算得出Ey 全区视电阻率可以明显改善非波区的畸变效应.2011年,戚志鹏等[7 ] 提出了在频率域内利用多项式拟合来计算非中心点的垂直分量,用最小二乘原理建立与偏移距有关的视电阻率表达式;郝延松等[8 ] 研究了隧道及矿井中瞬变电磁的全空间视电阻率计算;柳建新等[9 ] 、王启等[10 ] 、王宏宇等[11 ] 讨论了Ex 分量、Eφ 分量定义的广域视电阻率,并对两者定义的广域电阻率进行对比,发现利用水平电场Eφ 分量定义的广域视电阻率可以增大电磁法野外工作的测量范围;刘长胜等[12 ] 研究了地空频率域电磁法的探测范围与探测深度;罗维斌等[13 ] 给出了比值法计算Hy 全区视电阻率公式,对比了不同视电阻率定义法获得的电阻率对模型的响应能力,发现Hy 全区视电阻率在赤道装置和轴向装置的广大区域,对地电模型均有较好地响应;张继峰等[14 ] 采用非结构化有限元数值模拟,研究了多源地空三维电磁垂直磁场的响应特征;秦西社等[15 ] 给出了基于反函数原理的可控源电磁法全域视电阻率定义;钱威州等[16 ] 从垂直磁偶极子Z 方向磁场公式推导了在低感应系数下的视电导率公式,实现了垂直磁偶源频率域电磁测深的一维正演. ...
CSAMT电场y 方向视电阻率的定义及研究
1
2011
... 频率域电磁法最早是采用卡尼亚视电阻率来定性解释地下介质的电性结构,但卡尼亚视电阻率在过渡区及近场区常会发生畸变,不能反应地下真实的电阻率变化规律,因此殷长春等[1 ] 计算了电偶源的全波视电阻率,研究了全区视电阻率定义的思想与方法;方文藻等[2 ] 通过对均匀半空间场的近区公式与远区公式进行比较,引入了校正系数K ,将远区定义的视电阻率乘以校正系数得到了全区视电阻值;黄皓平等[3 ] 利用磁场3个分量分段计算了垂直磁偶极子全区视电阻率;毛先进等[4 ] 提出了水平电偶源频率域电磁测深全区视电阻率直接算法;陈明生等[5 ] 研究了电偶源频率电磁测深中的Ex 分量,得出电场Ex 分量具有分辨率高、观测信噪比高、不需做近场改正的优点.汤井田等[6 ] 计算了CSAMT水平电场y 分量Ey 定义的全区视电阻率,通过模拟计算得出Ey 全区视电阻率可以明显改善非波区的畸变效应.2011年,戚志鹏等[7 ] 提出了在频率域内利用多项式拟合来计算非中心点的垂直分量,用最小二乘原理建立与偏移距有关的视电阻率表达式;郝延松等[8 ] 研究了隧道及矿井中瞬变电磁的全空间视电阻率计算;柳建新等[9 ] 、王启等[10 ] 、王宏宇等[11 ] 讨论了Ex 分量、Eφ 分量定义的广域视电阻率,并对两者定义的广域电阻率进行对比,发现利用水平电场Eφ 分量定义的广域视电阻率可以增大电磁法野外工作的测量范围;刘长胜等[12 ] 研究了地空频率域电磁法的探测范围与探测深度;罗维斌等[13 ] 给出了比值法计算Hy 全区视电阻率公式,对比了不同视电阻率定义法获得的电阻率对模型的响应能力,发现Hy 全区视电阻率在赤道装置和轴向装置的广大区域,对地电模型均有较好地响应;张继峰等[14 ] 采用非结构化有限元数值模拟,研究了多源地空三维电磁垂直磁场的响应特征;秦西社等[15 ] 给出了基于反函数原理的可控源电磁法全域视电阻率定义;钱威州等[16 ] 从垂直磁偶极子Z 方向磁场公式推导了在低感应系数下的视电导率公式,实现了垂直磁偶源频率域电磁测深的一维正演. ...
CSAMT电场y 方向视电阻率的定义及研究
1
2011
... 频率域电磁法最早是采用卡尼亚视电阻率来定性解释地下介质的电性结构,但卡尼亚视电阻率在过渡区及近场区常会发生畸变,不能反应地下真实的电阻率变化规律,因此殷长春等[1 ] 计算了电偶源的全波视电阻率,研究了全区视电阻率定义的思想与方法;方文藻等[2 ] 通过对均匀半空间场的近区公式与远区公式进行比较,引入了校正系数K ,将远区定义的视电阻率乘以校正系数得到了全区视电阻值;黄皓平等[3 ] 利用磁场3个分量分段计算了垂直磁偶极子全区视电阻率;毛先进等[4 ] 提出了水平电偶源频率域电磁测深全区视电阻率直接算法;陈明生等[5 ] 研究了电偶源频率电磁测深中的Ex 分量,得出电场Ex 分量具有分辨率高、观测信噪比高、不需做近场改正的优点.汤井田等[6 ] 计算了CSAMT水平电场y 分量Ey 定义的全区视电阻率,通过模拟计算得出Ey 全区视电阻率可以明显改善非波区的畸变效应.2011年,戚志鹏等[7 ] 提出了在频率域内利用多项式拟合来计算非中心点的垂直分量,用最小二乘原理建立与偏移距有关的视电阻率表达式;郝延松等[8 ] 研究了隧道及矿井中瞬变电磁的全空间视电阻率计算;柳建新等[9 ] 、王启等[10 ] 、王宏宇等[11 ] 讨论了Ex 分量、Eφ 分量定义的广域视电阻率,并对两者定义的广域电阻率进行对比,发现利用水平电场Eφ 分量定义的广域视电阻率可以增大电磁法野外工作的测量范围;刘长胜等[12 ] 研究了地空频率域电磁法的探测范围与探测深度;罗维斌等[13 ] 给出了比值法计算Hy 全区视电阻率公式,对比了不同视电阻率定义法获得的电阻率对模型的响应能力,发现Hy 全区视电阻率在赤道装置和轴向装置的广大区域,对地电模型均有较好地响应;张继峰等[14 ] 采用非结构化有限元数值模拟,研究了多源地空三维电磁垂直磁场的响应特征;秦西社等[15 ] 给出了基于反函数原理的可控源电磁法全域视电阻率定义;钱威州等[16 ] 从垂直磁偶极子Z 方向磁场公式推导了在低感应系数下的视电导率公式,实现了垂直磁偶源频率域电磁测深的一维正演. ...
大定源装置下瞬变电磁法视电阻率定义
1
2011
... 频率域电磁法最早是采用卡尼亚视电阻率来定性解释地下介质的电性结构,但卡尼亚视电阻率在过渡区及近场区常会发生畸变,不能反应地下真实的电阻率变化规律,因此殷长春等[1 ] 计算了电偶源的全波视电阻率,研究了全区视电阻率定义的思想与方法;方文藻等[2 ] 通过对均匀半空间场的近区公式与远区公式进行比较,引入了校正系数K ,将远区定义的视电阻率乘以校正系数得到了全区视电阻值;黄皓平等[3 ] 利用磁场3个分量分段计算了垂直磁偶极子全区视电阻率;毛先进等[4 ] 提出了水平电偶源频率域电磁测深全区视电阻率直接算法;陈明生等[5 ] 研究了电偶源频率电磁测深中的Ex 分量,得出电场Ex 分量具有分辨率高、观测信噪比高、不需做近场改正的优点.汤井田等[6 ] 计算了CSAMT水平电场y 分量Ey 定义的全区视电阻率,通过模拟计算得出Ey 全区视电阻率可以明显改善非波区的畸变效应.2011年,戚志鹏等[7 ] 提出了在频率域内利用多项式拟合来计算非中心点的垂直分量,用最小二乘原理建立与偏移距有关的视电阻率表达式;郝延松等[8 ] 研究了隧道及矿井中瞬变电磁的全空间视电阻率计算;柳建新等[9 ] 、王启等[10 ] 、王宏宇等[11 ] 讨论了Ex 分量、Eφ 分量定义的广域视电阻率,并对两者定义的广域电阻率进行对比,发现利用水平电场Eφ 分量定义的广域视电阻率可以增大电磁法野外工作的测量范围;刘长胜等[12 ] 研究了地空频率域电磁法的探测范围与探测深度;罗维斌等[13 ] 给出了比值法计算Hy 全区视电阻率公式,对比了不同视电阻率定义法获得的电阻率对模型的响应能力,发现Hy 全区视电阻率在赤道装置和轴向装置的广大区域,对地电模型均有较好地响应;张继峰等[14 ] 采用非结构化有限元数值模拟,研究了多源地空三维电磁垂直磁场的响应特征;秦西社等[15 ] 给出了基于反函数原理的可控源电磁法全域视电阻率定义;钱威州等[16 ] 从垂直磁偶极子Z 方向磁场公式推导了在低感应系数下的视电导率公式,实现了垂直磁偶源频率域电磁测深的一维正演. ...
大定源装置下瞬变电磁法视电阻率定义
1
2011
... 频率域电磁法最早是采用卡尼亚视电阻率来定性解释地下介质的电性结构,但卡尼亚视电阻率在过渡区及近场区常会发生畸变,不能反应地下真实的电阻率变化规律,因此殷长春等[1 ] 计算了电偶源的全波视电阻率,研究了全区视电阻率定义的思想与方法;方文藻等[2 ] 通过对均匀半空间场的近区公式与远区公式进行比较,引入了校正系数K ,将远区定义的视电阻率乘以校正系数得到了全区视电阻值;黄皓平等[3 ] 利用磁场3个分量分段计算了垂直磁偶极子全区视电阻率;毛先进等[4 ] 提出了水平电偶源频率域电磁测深全区视电阻率直接算法;陈明生等[5 ] 研究了电偶源频率电磁测深中的Ex 分量,得出电场Ex 分量具有分辨率高、观测信噪比高、不需做近场改正的优点.汤井田等[6 ] 计算了CSAMT水平电场y 分量Ey 定义的全区视电阻率,通过模拟计算得出Ey 全区视电阻率可以明显改善非波区的畸变效应.2011年,戚志鹏等[7 ] 提出了在频率域内利用多项式拟合来计算非中心点的垂直分量,用最小二乘原理建立与偏移距有关的视电阻率表达式;郝延松等[8 ] 研究了隧道及矿井中瞬变电磁的全空间视电阻率计算;柳建新等[9 ] 、王启等[10 ] 、王宏宇等[11 ] 讨论了Ex 分量、Eφ 分量定义的广域视电阻率,并对两者定义的广域电阻率进行对比,发现利用水平电场Eφ 分量定义的广域视电阻率可以增大电磁法野外工作的测量范围;刘长胜等[12 ] 研究了地空频率域电磁法的探测范围与探测深度;罗维斌等[13 ] 给出了比值法计算Hy 全区视电阻率公式,对比了不同视电阻率定义法获得的电阻率对模型的响应能力,发现Hy 全区视电阻率在赤道装置和轴向装置的广大区域,对地电模型均有较好地响应;张继峰等[14 ] 采用非结构化有限元数值模拟,研究了多源地空三维电磁垂直磁场的响应特征;秦西社等[15 ] 给出了基于反函数原理的可控源电磁法全域视电阻率定义;钱威州等[16 ] 从垂直磁偶极子Z 方向磁场公式推导了在低感应系数下的视电导率公式,实现了垂直磁偶源频率域电磁测深的一维正演. ...
磁性源瞬变电磁法视电阻率计算方法
1
2012
... 频率域电磁法最早是采用卡尼亚视电阻率来定性解释地下介质的电性结构,但卡尼亚视电阻率在过渡区及近场区常会发生畸变,不能反应地下真实的电阻率变化规律,因此殷长春等[1 ] 计算了电偶源的全波视电阻率,研究了全区视电阻率定义的思想与方法;方文藻等[2 ] 通过对均匀半空间场的近区公式与远区公式进行比较,引入了校正系数K ,将远区定义的视电阻率乘以校正系数得到了全区视电阻值;黄皓平等[3 ] 利用磁场3个分量分段计算了垂直磁偶极子全区视电阻率;毛先进等[4 ] 提出了水平电偶源频率域电磁测深全区视电阻率直接算法;陈明生等[5 ] 研究了电偶源频率电磁测深中的Ex 分量,得出电场Ex 分量具有分辨率高、观测信噪比高、不需做近场改正的优点.汤井田等[6 ] 计算了CSAMT水平电场y 分量Ey 定义的全区视电阻率,通过模拟计算得出Ey 全区视电阻率可以明显改善非波区的畸变效应.2011年,戚志鹏等[7 ] 提出了在频率域内利用多项式拟合来计算非中心点的垂直分量,用最小二乘原理建立与偏移距有关的视电阻率表达式;郝延松等[8 ] 研究了隧道及矿井中瞬变电磁的全空间视电阻率计算;柳建新等[9 ] 、王启等[10 ] 、王宏宇等[11 ] 讨论了Ex 分量、Eφ 分量定义的广域视电阻率,并对两者定义的广域电阻率进行对比,发现利用水平电场Eφ 分量定义的广域视电阻率可以增大电磁法野外工作的测量范围;刘长胜等[12 ] 研究了地空频率域电磁法的探测范围与探测深度;罗维斌等[13 ] 给出了比值法计算Hy 全区视电阻率公式,对比了不同视电阻率定义法获得的电阻率对模型的响应能力,发现Hy 全区视电阻率在赤道装置和轴向装置的广大区域,对地电模型均有较好地响应;张继峰等[14 ] 采用非结构化有限元数值模拟,研究了多源地空三维电磁垂直磁场的响应特征;秦西社等[15 ] 给出了基于反函数原理的可控源电磁法全域视电阻率定义;钱威州等[16 ] 从垂直磁偶极子Z 方向磁场公式推导了在低感应系数下的视电导率公式,实现了垂直磁偶源频率域电磁测深的一维正演. ...
磁性源瞬变电磁法视电阻率计算方法
1
2012
... 频率域电磁法最早是采用卡尼亚视电阻率来定性解释地下介质的电性结构,但卡尼亚视电阻率在过渡区及近场区常会发生畸变,不能反应地下真实的电阻率变化规律,因此殷长春等[1 ] 计算了电偶源的全波视电阻率,研究了全区视电阻率定义的思想与方法;方文藻等[2 ] 通过对均匀半空间场的近区公式与远区公式进行比较,引入了校正系数K ,将远区定义的视电阻率乘以校正系数得到了全区视电阻值;黄皓平等[3 ] 利用磁场3个分量分段计算了垂直磁偶极子全区视电阻率;毛先进等[4 ] 提出了水平电偶源频率域电磁测深全区视电阻率直接算法;陈明生等[5 ] 研究了电偶源频率电磁测深中的Ex 分量,得出电场Ex 分量具有分辨率高、观测信噪比高、不需做近场改正的优点.汤井田等[6 ] 计算了CSAMT水平电场y 分量Ey 定义的全区视电阻率,通过模拟计算得出Ey 全区视电阻率可以明显改善非波区的畸变效应.2011年,戚志鹏等[7 ] 提出了在频率域内利用多项式拟合来计算非中心点的垂直分量,用最小二乘原理建立与偏移距有关的视电阻率表达式;郝延松等[8 ] 研究了隧道及矿井中瞬变电磁的全空间视电阻率计算;柳建新等[9 ] 、王启等[10 ] 、王宏宇等[11 ] 讨论了Ex 分量、Eφ 分量定义的广域视电阻率,并对两者定义的广域电阻率进行对比,发现利用水平电场Eφ 分量定义的广域视电阻率可以增大电磁法野外工作的测量范围;刘长胜等[12 ] 研究了地空频率域电磁法的探测范围与探测深度;罗维斌等[13 ] 给出了比值法计算Hy 全区视电阻率公式,对比了不同视电阻率定义法获得的电阻率对模型的响应能力,发现Hy 全区视电阻率在赤道装置和轴向装置的广大区域,对地电模型均有较好地响应;张继峰等[14 ] 采用非结构化有限元数值模拟,研究了多源地空三维电磁垂直磁场的响应特征;秦西社等[15 ] 给出了基于反函数原理的可控源电磁法全域视电阻率定义;钱威州等[16 ] 从垂直磁偶极子Z 方向磁场公式推导了在低感应系数下的视电导率公式,实现了垂直磁偶源频率域电磁测深的一维正演. ...
E-E? 广域视电阻率定义的改进方法及场特性识别
1
2013
... 频率域电磁法最早是采用卡尼亚视电阻率来定性解释地下介质的电性结构,但卡尼亚视电阻率在过渡区及近场区常会发生畸变,不能反应地下真实的电阻率变化规律,因此殷长春等[1 ] 计算了电偶源的全波视电阻率,研究了全区视电阻率定义的思想与方法;方文藻等[2 ] 通过对均匀半空间场的近区公式与远区公式进行比较,引入了校正系数K ,将远区定义的视电阻率乘以校正系数得到了全区视电阻值;黄皓平等[3 ] 利用磁场3个分量分段计算了垂直磁偶极子全区视电阻率;毛先进等[4 ] 提出了水平电偶源频率域电磁测深全区视电阻率直接算法;陈明生等[5 ] 研究了电偶源频率电磁测深中的Ex 分量,得出电场Ex 分量具有分辨率高、观测信噪比高、不需做近场改正的优点.汤井田等[6 ] 计算了CSAMT水平电场y 分量Ey 定义的全区视电阻率,通过模拟计算得出Ey 全区视电阻率可以明显改善非波区的畸变效应.2011年,戚志鹏等[7 ] 提出了在频率域内利用多项式拟合来计算非中心点的垂直分量,用最小二乘原理建立与偏移距有关的视电阻率表达式;郝延松等[8 ] 研究了隧道及矿井中瞬变电磁的全空间视电阻率计算;柳建新等[9 ] 、王启等[10 ] 、王宏宇等[11 ] 讨论了Ex 分量、Eφ 分量定义的广域视电阻率,并对两者定义的广域电阻率进行对比,发现利用水平电场Eφ 分量定义的广域视电阻率可以增大电磁法野外工作的测量范围;刘长胜等[12 ] 研究了地空频率域电磁法的探测范围与探测深度;罗维斌等[13 ] 给出了比值法计算Hy 全区视电阻率公式,对比了不同视电阻率定义法获得的电阻率对模型的响应能力,发现Hy 全区视电阻率在赤道装置和轴向装置的广大区域,对地电模型均有较好地响应;张继峰等[14 ] 采用非结构化有限元数值模拟,研究了多源地空三维电磁垂直磁场的响应特征;秦西社等[15 ] 给出了基于反函数原理的可控源电磁法全域视电阻率定义;钱威州等[16 ] 从垂直磁偶极子Z 方向磁场公式推导了在低感应系数下的视电导率公式,实现了垂直磁偶源频率域电磁测深的一维正演. ...
E-E? 广域视电阻率定义的改进方法及场特性识别
1
2013
... 频率域电磁法最早是采用卡尼亚视电阻率来定性解释地下介质的电性结构,但卡尼亚视电阻率在过渡区及近场区常会发生畸变,不能反应地下真实的电阻率变化规律,因此殷长春等[1 ] 计算了电偶源的全波视电阻率,研究了全区视电阻率定义的思想与方法;方文藻等[2 ] 通过对均匀半空间场的近区公式与远区公式进行比较,引入了校正系数K ,将远区定义的视电阻率乘以校正系数得到了全区视电阻值;黄皓平等[3 ] 利用磁场3个分量分段计算了垂直磁偶极子全区视电阻率;毛先进等[4 ] 提出了水平电偶源频率域电磁测深全区视电阻率直接算法;陈明生等[5 ] 研究了电偶源频率电磁测深中的Ex 分量,得出电场Ex 分量具有分辨率高、观测信噪比高、不需做近场改正的优点.汤井田等[6 ] 计算了CSAMT水平电场y 分量Ey 定义的全区视电阻率,通过模拟计算得出Ey 全区视电阻率可以明显改善非波区的畸变效应.2011年,戚志鹏等[7 ] 提出了在频率域内利用多项式拟合来计算非中心点的垂直分量,用最小二乘原理建立与偏移距有关的视电阻率表达式;郝延松等[8 ] 研究了隧道及矿井中瞬变电磁的全空间视电阻率计算;柳建新等[9 ] 、王启等[10 ] 、王宏宇等[11 ] 讨论了Ex 分量、Eφ 分量定义的广域视电阻率,并对两者定义的广域电阻率进行对比,发现利用水平电场Eφ 分量定义的广域视电阻率可以增大电磁法野外工作的测量范围;刘长胜等[12 ] 研究了地空频率域电磁法的探测范围与探测深度;罗维斌等[13 ] 给出了比值法计算Hy 全区视电阻率公式,对比了不同视电阻率定义法获得的电阻率对模型的响应能力,发现Hy 全区视电阻率在赤道装置和轴向装置的广大区域,对地电模型均有较好地响应;张继峰等[14 ] 采用非结构化有限元数值模拟,研究了多源地空三维电磁垂直磁场的响应特征;秦西社等[15 ] 给出了基于反函数原理的可控源电磁法全域视电阻率定义;钱威州等[16 ] 从垂直磁偶极子Z 方向磁场公式推导了在低感应系数下的视电导率公式,实现了垂直磁偶源频率域电磁测深的一维正演. ...
E-E? 、E-Ex 广域视电阻率对比与应用
1
2014
... 频率域电磁法最早是采用卡尼亚视电阻率来定性解释地下介质的电性结构,但卡尼亚视电阻率在过渡区及近场区常会发生畸变,不能反应地下真实的电阻率变化规律,因此殷长春等[1 ] 计算了电偶源的全波视电阻率,研究了全区视电阻率定义的思想与方法;方文藻等[2 ] 通过对均匀半空间场的近区公式与远区公式进行比较,引入了校正系数K ,将远区定义的视电阻率乘以校正系数得到了全区视电阻值;黄皓平等[3 ] 利用磁场3个分量分段计算了垂直磁偶极子全区视电阻率;毛先进等[4 ] 提出了水平电偶源频率域电磁测深全区视电阻率直接算法;陈明生等[5 ] 研究了电偶源频率电磁测深中的Ex 分量,得出电场Ex 分量具有分辨率高、观测信噪比高、不需做近场改正的优点.汤井田等[6 ] 计算了CSAMT水平电场y 分量Ey 定义的全区视电阻率,通过模拟计算得出Ey 全区视电阻率可以明显改善非波区的畸变效应.2011年,戚志鹏等[7 ] 提出了在频率域内利用多项式拟合来计算非中心点的垂直分量,用最小二乘原理建立与偏移距有关的视电阻率表达式;郝延松等[8 ] 研究了隧道及矿井中瞬变电磁的全空间视电阻率计算;柳建新等[9 ] 、王启等[10 ] 、王宏宇等[11 ] 讨论了Ex 分量、Eφ 分量定义的广域视电阻率,并对两者定义的广域电阻率进行对比,发现利用水平电场Eφ 分量定义的广域视电阻率可以增大电磁法野外工作的测量范围;刘长胜等[12 ] 研究了地空频率域电磁法的探测范围与探测深度;罗维斌等[13 ] 给出了比值法计算Hy 全区视电阻率公式,对比了不同视电阻率定义法获得的电阻率对模型的响应能力,发现Hy 全区视电阻率在赤道装置和轴向装置的广大区域,对地电模型均有较好地响应;张继峰等[14 ] 采用非结构化有限元数值模拟,研究了多源地空三维电磁垂直磁场的响应特征;秦西社等[15 ] 给出了基于反函数原理的可控源电磁法全域视电阻率定义;钱威州等[16 ] 从垂直磁偶极子Z 方向磁场公式推导了在低感应系数下的视电导率公式,实现了垂直磁偶源频率域电磁测深的一维正演. ...
E-E? 、E-Ex 广域视电阻率对比与应用
1
2014
... 频率域电磁法最早是采用卡尼亚视电阻率来定性解释地下介质的电性结构,但卡尼亚视电阻率在过渡区及近场区常会发生畸变,不能反应地下真实的电阻率变化规律,因此殷长春等[1 ] 计算了电偶源的全波视电阻率,研究了全区视电阻率定义的思想与方法;方文藻等[2 ] 通过对均匀半空间场的近区公式与远区公式进行比较,引入了校正系数K ,将远区定义的视电阻率乘以校正系数得到了全区视电阻值;黄皓平等[3 ] 利用磁场3个分量分段计算了垂直磁偶极子全区视电阻率;毛先进等[4 ] 提出了水平电偶源频率域电磁测深全区视电阻率直接算法;陈明生等[5 ] 研究了电偶源频率电磁测深中的Ex 分量,得出电场Ex 分量具有分辨率高、观测信噪比高、不需做近场改正的优点.汤井田等[6 ] 计算了CSAMT水平电场y 分量Ey 定义的全区视电阻率,通过模拟计算得出Ey 全区视电阻率可以明显改善非波区的畸变效应.2011年,戚志鹏等[7 ] 提出了在频率域内利用多项式拟合来计算非中心点的垂直分量,用最小二乘原理建立与偏移距有关的视电阻率表达式;郝延松等[8 ] 研究了隧道及矿井中瞬变电磁的全空间视电阻率计算;柳建新等[9 ] 、王启等[10 ] 、王宏宇等[11 ] 讨论了Ex 分量、Eφ 分量定义的广域视电阻率,并对两者定义的广域电阻率进行对比,发现利用水平电场Eφ 分量定义的广域视电阻率可以增大电磁法野外工作的测量范围;刘长胜等[12 ] 研究了地空频率域电磁法的探测范围与探测深度;罗维斌等[13 ] 给出了比值法计算Hy 全区视电阻率公式,对比了不同视电阻率定义法获得的电阻率对模型的响应能力,发现Hy 全区视电阻率在赤道装置和轴向装置的广大区域,对地电模型均有较好地响应;张继峰等[14 ] 采用非结构化有限元数值模拟,研究了多源地空三维电磁垂直磁场的响应特征;秦西社等[15 ] 给出了基于反函数原理的可控源电磁法全域视电阻率定义;钱威州等[16 ] 从垂直磁偶极子Z 方向磁场公式推导了在低感应系数下的视电导率公式,实现了垂直磁偶源频率域电磁测深的一维正演. ...
广域电磁法E-E? 视电阻率研究
1
2014
... 频率域电磁法最早是采用卡尼亚视电阻率来定性解释地下介质的电性结构,但卡尼亚视电阻率在过渡区及近场区常会发生畸变,不能反应地下真实的电阻率变化规律,因此殷长春等[1 ] 计算了电偶源的全波视电阻率,研究了全区视电阻率定义的思想与方法;方文藻等[2 ] 通过对均匀半空间场的近区公式与远区公式进行比较,引入了校正系数K ,将远区定义的视电阻率乘以校正系数得到了全区视电阻值;黄皓平等[3 ] 利用磁场3个分量分段计算了垂直磁偶极子全区视电阻率;毛先进等[4 ] 提出了水平电偶源频率域电磁测深全区视电阻率直接算法;陈明生等[5 ] 研究了电偶源频率电磁测深中的Ex 分量,得出电场Ex 分量具有分辨率高、观测信噪比高、不需做近场改正的优点.汤井田等[6 ] 计算了CSAMT水平电场y 分量Ey 定义的全区视电阻率,通过模拟计算得出Ey 全区视电阻率可以明显改善非波区的畸变效应.2011年,戚志鹏等[7 ] 提出了在频率域内利用多项式拟合来计算非中心点的垂直分量,用最小二乘原理建立与偏移距有关的视电阻率表达式;郝延松等[8 ] 研究了隧道及矿井中瞬变电磁的全空间视电阻率计算;柳建新等[9 ] 、王启等[10 ] 、王宏宇等[11 ] 讨论了Ex 分量、Eφ 分量定义的广域视电阻率,并对两者定义的广域电阻率进行对比,发现利用水平电场Eφ 分量定义的广域视电阻率可以增大电磁法野外工作的测量范围;刘长胜等[12 ] 研究了地空频率域电磁法的探测范围与探测深度;罗维斌等[13 ] 给出了比值法计算Hy 全区视电阻率公式,对比了不同视电阻率定义法获得的电阻率对模型的响应能力,发现Hy 全区视电阻率在赤道装置和轴向装置的广大区域,对地电模型均有较好地响应;张继峰等[14 ] 采用非结构化有限元数值模拟,研究了多源地空三维电磁垂直磁场的响应特征;秦西社等[15 ] 给出了基于反函数原理的可控源电磁法全域视电阻率定义;钱威州等[16 ] 从垂直磁偶极子Z 方向磁场公式推导了在低感应系数下的视电导率公式,实现了垂直磁偶源频率域电磁测深的一维正演. ...
广域电磁法E-E? 视电阻率研究
1
2014
... 频率域电磁法最早是采用卡尼亚视电阻率来定性解释地下介质的电性结构,但卡尼亚视电阻率在过渡区及近场区常会发生畸变,不能反应地下真实的电阻率变化规律,因此殷长春等[1 ] 计算了电偶源的全波视电阻率,研究了全区视电阻率定义的思想与方法;方文藻等[2 ] 通过对均匀半空间场的近区公式与远区公式进行比较,引入了校正系数K ,将远区定义的视电阻率乘以校正系数得到了全区视电阻值;黄皓平等[3 ] 利用磁场3个分量分段计算了垂直磁偶极子全区视电阻率;毛先进等[4 ] 提出了水平电偶源频率域电磁测深全区视电阻率直接算法;陈明生等[5 ] 研究了电偶源频率电磁测深中的Ex 分量,得出电场Ex 分量具有分辨率高、观测信噪比高、不需做近场改正的优点.汤井田等[6 ] 计算了CSAMT水平电场y 分量Ey 定义的全区视电阻率,通过模拟计算得出Ey 全区视电阻率可以明显改善非波区的畸变效应.2011年,戚志鹏等[7 ] 提出了在频率域内利用多项式拟合来计算非中心点的垂直分量,用最小二乘原理建立与偏移距有关的视电阻率表达式;郝延松等[8 ] 研究了隧道及矿井中瞬变电磁的全空间视电阻率计算;柳建新等[9 ] 、王启等[10 ] 、王宏宇等[11 ] 讨论了Ex 分量、Eφ 分量定义的广域视电阻率,并对两者定义的广域电阻率进行对比,发现利用水平电场Eφ 分量定义的广域视电阻率可以增大电磁法野外工作的测量范围;刘长胜等[12 ] 研究了地空频率域电磁法的探测范围与探测深度;罗维斌等[13 ] 给出了比值法计算Hy 全区视电阻率公式,对比了不同视电阻率定义法获得的电阻率对模型的响应能力,发现Hy 全区视电阻率在赤道装置和轴向装置的广大区域,对地电模型均有较好地响应;张继峰等[14 ] 采用非结构化有限元数值模拟,研究了多源地空三维电磁垂直磁场的响应特征;秦西社等[15 ] 给出了基于反函数原理的可控源电磁法全域视电阻率定义;钱威州等[16 ] 从垂直磁偶极子Z 方向磁场公式推导了在低感应系数下的视电导率公式,实现了垂直磁偶源频率域电磁测深的一维正演. ...
地空频率域电磁法探测范围与深度分析
1
2020
... 频率域电磁法最早是采用卡尼亚视电阻率来定性解释地下介质的电性结构,但卡尼亚视电阻率在过渡区及近场区常会发生畸变,不能反应地下真实的电阻率变化规律,因此殷长春等[1 ] 计算了电偶源的全波视电阻率,研究了全区视电阻率定义的思想与方法;方文藻等[2 ] 通过对均匀半空间场的近区公式与远区公式进行比较,引入了校正系数K ,将远区定义的视电阻率乘以校正系数得到了全区视电阻值;黄皓平等[3 ] 利用磁场3个分量分段计算了垂直磁偶极子全区视电阻率;毛先进等[4 ] 提出了水平电偶源频率域电磁测深全区视电阻率直接算法;陈明生等[5 ] 研究了电偶源频率电磁测深中的Ex 分量,得出电场Ex 分量具有分辨率高、观测信噪比高、不需做近场改正的优点.汤井田等[6 ] 计算了CSAMT水平电场y 分量Ey 定义的全区视电阻率,通过模拟计算得出Ey 全区视电阻率可以明显改善非波区的畸变效应.2011年,戚志鹏等[7 ] 提出了在频率域内利用多项式拟合来计算非中心点的垂直分量,用最小二乘原理建立与偏移距有关的视电阻率表达式;郝延松等[8 ] 研究了隧道及矿井中瞬变电磁的全空间视电阻率计算;柳建新等[9 ] 、王启等[10 ] 、王宏宇等[11 ] 讨论了Ex 分量、Eφ 分量定义的广域视电阻率,并对两者定义的广域电阻率进行对比,发现利用水平电场Eφ 分量定义的广域视电阻率可以增大电磁法野外工作的测量范围;刘长胜等[12 ] 研究了地空频率域电磁法的探测范围与探测深度;罗维斌等[13 ] 给出了比值法计算Hy 全区视电阻率公式,对比了不同视电阻率定义法获得的电阻率对模型的响应能力,发现Hy 全区视电阻率在赤道装置和轴向装置的广大区域,对地电模型均有较好地响应;张继峰等[14 ] 采用非结构化有限元数值模拟,研究了多源地空三维电磁垂直磁场的响应特征;秦西社等[15 ] 给出了基于反函数原理的可控源电磁法全域视电阻率定义;钱威州等[16 ] 从垂直磁偶极子Z 方向磁场公式推导了在低感应系数下的视电导率公式,实现了垂直磁偶源频率域电磁测深的一维正演. ...
地空频率域电磁法探测范围与深度分析
1
2020
... 频率域电磁法最早是采用卡尼亚视电阻率来定性解释地下介质的电性结构,但卡尼亚视电阻率在过渡区及近场区常会发生畸变,不能反应地下真实的电阻率变化规律,因此殷长春等[1 ] 计算了电偶源的全波视电阻率,研究了全区视电阻率定义的思想与方法;方文藻等[2 ] 通过对均匀半空间场的近区公式与远区公式进行比较,引入了校正系数K ,将远区定义的视电阻率乘以校正系数得到了全区视电阻值;黄皓平等[3 ] 利用磁场3个分量分段计算了垂直磁偶极子全区视电阻率;毛先进等[4 ] 提出了水平电偶源频率域电磁测深全区视电阻率直接算法;陈明生等[5 ] 研究了电偶源频率电磁测深中的Ex 分量,得出电场Ex 分量具有分辨率高、观测信噪比高、不需做近场改正的优点.汤井田等[6 ] 计算了CSAMT水平电场y 分量Ey 定义的全区视电阻率,通过模拟计算得出Ey 全区视电阻率可以明显改善非波区的畸变效应.2011年,戚志鹏等[7 ] 提出了在频率域内利用多项式拟合来计算非中心点的垂直分量,用最小二乘原理建立与偏移距有关的视电阻率表达式;郝延松等[8 ] 研究了隧道及矿井中瞬变电磁的全空间视电阻率计算;柳建新等[9 ] 、王启等[10 ] 、王宏宇等[11 ] 讨论了Ex 分量、Eφ 分量定义的广域视电阻率,并对两者定义的广域电阻率进行对比,发现利用水平电场Eφ 分量定义的广域视电阻率可以增大电磁法野外工作的测量范围;刘长胜等[12 ] 研究了地空频率域电磁法的探测范围与探测深度;罗维斌等[13 ] 给出了比值法计算Hy 全区视电阻率公式,对比了不同视电阻率定义法获得的电阻率对模型的响应能力,发现Hy 全区视电阻率在赤道装置和轴向装置的广大区域,对地电模型均有较好地响应;张继峰等[14 ] 采用非结构化有限元数值模拟,研究了多源地空三维电磁垂直磁场的响应特征;秦西社等[15 ] 给出了基于反函数原理的可控源电磁法全域视电阻率定义;钱威州等[16 ] 从垂直磁偶极子Z 方向磁场公式推导了在低感应系数下的视电导率公式,实现了垂直磁偶源频率域电磁测深的一维正演. ...
测量磁场水平分量Hy 的电性源广域电磁测深法
1
2021
... 频率域电磁法最早是采用卡尼亚视电阻率来定性解释地下介质的电性结构,但卡尼亚视电阻率在过渡区及近场区常会发生畸变,不能反应地下真实的电阻率变化规律,因此殷长春等[1 ] 计算了电偶源的全波视电阻率,研究了全区视电阻率定义的思想与方法;方文藻等[2 ] 通过对均匀半空间场的近区公式与远区公式进行比较,引入了校正系数K ,将远区定义的视电阻率乘以校正系数得到了全区视电阻值;黄皓平等[3 ] 利用磁场3个分量分段计算了垂直磁偶极子全区视电阻率;毛先进等[4 ] 提出了水平电偶源频率域电磁测深全区视电阻率直接算法;陈明生等[5 ] 研究了电偶源频率电磁测深中的Ex 分量,得出电场Ex 分量具有分辨率高、观测信噪比高、不需做近场改正的优点.汤井田等[6 ] 计算了CSAMT水平电场y 分量Ey 定义的全区视电阻率,通过模拟计算得出Ey 全区视电阻率可以明显改善非波区的畸变效应.2011年,戚志鹏等[7 ] 提出了在频率域内利用多项式拟合来计算非中心点的垂直分量,用最小二乘原理建立与偏移距有关的视电阻率表达式;郝延松等[8 ] 研究了隧道及矿井中瞬变电磁的全空间视电阻率计算;柳建新等[9 ] 、王启等[10 ] 、王宏宇等[11 ] 讨论了Ex 分量、Eφ 分量定义的广域视电阻率,并对两者定义的广域电阻率进行对比,发现利用水平电场Eφ 分量定义的广域视电阻率可以增大电磁法野外工作的测量范围;刘长胜等[12 ] 研究了地空频率域电磁法的探测范围与探测深度;罗维斌等[13 ] 给出了比值法计算Hy 全区视电阻率公式,对比了不同视电阻率定义法获得的电阻率对模型的响应能力,发现Hy 全区视电阻率在赤道装置和轴向装置的广大区域,对地电模型均有较好地响应;张继峰等[14 ] 采用非结构化有限元数值模拟,研究了多源地空三维电磁垂直磁场的响应特征;秦西社等[15 ] 给出了基于反函数原理的可控源电磁法全域视电阻率定义;钱威州等[16 ] 从垂直磁偶极子Z 方向磁场公式推导了在低感应系数下的视电导率公式,实现了垂直磁偶源频率域电磁测深的一维正演. ...
测量磁场水平分量Hy 的电性源广域电磁测深法
1
2021
... 频率域电磁法最早是采用卡尼亚视电阻率来定性解释地下介质的电性结构,但卡尼亚视电阻率在过渡区及近场区常会发生畸变,不能反应地下真实的电阻率变化规律,因此殷长春等[1 ] 计算了电偶源的全波视电阻率,研究了全区视电阻率定义的思想与方法;方文藻等[2 ] 通过对均匀半空间场的近区公式与远区公式进行比较,引入了校正系数K ,将远区定义的视电阻率乘以校正系数得到了全区视电阻值;黄皓平等[3 ] 利用磁场3个分量分段计算了垂直磁偶极子全区视电阻率;毛先进等[4 ] 提出了水平电偶源频率域电磁测深全区视电阻率直接算法;陈明生等[5 ] 研究了电偶源频率电磁测深中的Ex 分量,得出电场Ex 分量具有分辨率高、观测信噪比高、不需做近场改正的优点.汤井田等[6 ] 计算了CSAMT水平电场y 分量Ey 定义的全区视电阻率,通过模拟计算得出Ey 全区视电阻率可以明显改善非波区的畸变效应.2011年,戚志鹏等[7 ] 提出了在频率域内利用多项式拟合来计算非中心点的垂直分量,用最小二乘原理建立与偏移距有关的视电阻率表达式;郝延松等[8 ] 研究了隧道及矿井中瞬变电磁的全空间视电阻率计算;柳建新等[9 ] 、王启等[10 ] 、王宏宇等[11 ] 讨论了Ex 分量、Eφ 分量定义的广域视电阻率,并对两者定义的广域电阻率进行对比,发现利用水平电场Eφ 分量定义的广域视电阻率可以增大电磁法野外工作的测量范围;刘长胜等[12 ] 研究了地空频率域电磁法的探测范围与探测深度;罗维斌等[13 ] 给出了比值法计算Hy 全区视电阻率公式,对比了不同视电阻率定义法获得的电阻率对模型的响应能力,发现Hy 全区视电阻率在赤道装置和轴向装置的广大区域,对地电模型均有较好地响应;张继峰等[14 ] 采用非结构化有限元数值模拟,研究了多源地空三维电磁垂直磁场的响应特征;秦西社等[15 ] 给出了基于反函数原理的可控源电磁法全域视电阻率定义;钱威州等[16 ] 从垂直磁偶极子Z 方向磁场公式推导了在低感应系数下的视电导率公式,实现了垂直磁偶源频率域电磁测深的一维正演. ...
多源频率域地空系统三维电磁响应分析
1
2021
... 频率域电磁法最早是采用卡尼亚视电阻率来定性解释地下介质的电性结构,但卡尼亚视电阻率在过渡区及近场区常会发生畸变,不能反应地下真实的电阻率变化规律,因此殷长春等[1 ] 计算了电偶源的全波视电阻率,研究了全区视电阻率定义的思想与方法;方文藻等[2 ] 通过对均匀半空间场的近区公式与远区公式进行比较,引入了校正系数K ,将远区定义的视电阻率乘以校正系数得到了全区视电阻值;黄皓平等[3 ] 利用磁场3个分量分段计算了垂直磁偶极子全区视电阻率;毛先进等[4 ] 提出了水平电偶源频率域电磁测深全区视电阻率直接算法;陈明生等[5 ] 研究了电偶源频率电磁测深中的Ex 分量,得出电场Ex 分量具有分辨率高、观测信噪比高、不需做近场改正的优点.汤井田等[6 ] 计算了CSAMT水平电场y 分量Ey 定义的全区视电阻率,通过模拟计算得出Ey 全区视电阻率可以明显改善非波区的畸变效应.2011年,戚志鹏等[7 ] 提出了在频率域内利用多项式拟合来计算非中心点的垂直分量,用最小二乘原理建立与偏移距有关的视电阻率表达式;郝延松等[8 ] 研究了隧道及矿井中瞬变电磁的全空间视电阻率计算;柳建新等[9 ] 、王启等[10 ] 、王宏宇等[11 ] 讨论了Ex 分量、Eφ 分量定义的广域视电阻率,并对两者定义的广域电阻率进行对比,发现利用水平电场Eφ 分量定义的广域视电阻率可以增大电磁法野外工作的测量范围;刘长胜等[12 ] 研究了地空频率域电磁法的探测范围与探测深度;罗维斌等[13 ] 给出了比值法计算Hy 全区视电阻率公式,对比了不同视电阻率定义法获得的电阻率对模型的响应能力,发现Hy 全区视电阻率在赤道装置和轴向装置的广大区域,对地电模型均有较好地响应;张继峰等[14 ] 采用非结构化有限元数值模拟,研究了多源地空三维电磁垂直磁场的响应特征;秦西社等[15 ] 给出了基于反函数原理的可控源电磁法全域视电阻率定义;钱威州等[16 ] 从垂直磁偶极子Z 方向磁场公式推导了在低感应系数下的视电导率公式,实现了垂直磁偶源频率域电磁测深的一维正演. ...
多源频率域地空系统三维电磁响应分析
1
2021
... 频率域电磁法最早是采用卡尼亚视电阻率来定性解释地下介质的电性结构,但卡尼亚视电阻率在过渡区及近场区常会发生畸变,不能反应地下真实的电阻率变化规律,因此殷长春等[1 ] 计算了电偶源的全波视电阻率,研究了全区视电阻率定义的思想与方法;方文藻等[2 ] 通过对均匀半空间场的近区公式与远区公式进行比较,引入了校正系数K ,将远区定义的视电阻率乘以校正系数得到了全区视电阻值;黄皓平等[3 ] 利用磁场3个分量分段计算了垂直磁偶极子全区视电阻率;毛先进等[4 ] 提出了水平电偶源频率域电磁测深全区视电阻率直接算法;陈明生等[5 ] 研究了电偶源频率电磁测深中的Ex 分量,得出电场Ex 分量具有分辨率高、观测信噪比高、不需做近场改正的优点.汤井田等[6 ] 计算了CSAMT水平电场y 分量Ey 定义的全区视电阻率,通过模拟计算得出Ey 全区视电阻率可以明显改善非波区的畸变效应.2011年,戚志鹏等[7 ] 提出了在频率域内利用多项式拟合来计算非中心点的垂直分量,用最小二乘原理建立与偏移距有关的视电阻率表达式;郝延松等[8 ] 研究了隧道及矿井中瞬变电磁的全空间视电阻率计算;柳建新等[9 ] 、王启等[10 ] 、王宏宇等[11 ] 讨论了Ex 分量、Eφ 分量定义的广域视电阻率,并对两者定义的广域电阻率进行对比,发现利用水平电场Eφ 分量定义的广域视电阻率可以增大电磁法野外工作的测量范围;刘长胜等[12 ] 研究了地空频率域电磁法的探测范围与探测深度;罗维斌等[13 ] 给出了比值法计算Hy 全区视电阻率公式,对比了不同视电阻率定义法获得的电阻率对模型的响应能力,发现Hy 全区视电阻率在赤道装置和轴向装置的广大区域,对地电模型均有较好地响应;张继峰等[14 ] 采用非结构化有限元数值模拟,研究了多源地空三维电磁垂直磁场的响应特征;秦西社等[15 ] 给出了基于反函数原理的可控源电磁法全域视电阻率定义;钱威州等[16 ] 从垂直磁偶极子Z 方向磁场公式推导了在低感应系数下的视电导率公式,实现了垂直磁偶源频率域电磁测深的一维正演. ...
基于反函数原理的可控源大地电磁法全场域视电阻率定义
1
2022
... 频率域电磁法最早是采用卡尼亚视电阻率来定性解释地下介质的电性结构,但卡尼亚视电阻率在过渡区及近场区常会发生畸变,不能反应地下真实的电阻率变化规律,因此殷长春等[1 ] 计算了电偶源的全波视电阻率,研究了全区视电阻率定义的思想与方法;方文藻等[2 ] 通过对均匀半空间场的近区公式与远区公式进行比较,引入了校正系数K ,将远区定义的视电阻率乘以校正系数得到了全区视电阻值;黄皓平等[3 ] 利用磁场3个分量分段计算了垂直磁偶极子全区视电阻率;毛先进等[4 ] 提出了水平电偶源频率域电磁测深全区视电阻率直接算法;陈明生等[5 ] 研究了电偶源频率电磁测深中的Ex 分量,得出电场Ex 分量具有分辨率高、观测信噪比高、不需做近场改正的优点.汤井田等[6 ] 计算了CSAMT水平电场y 分量Ey 定义的全区视电阻率,通过模拟计算得出Ey 全区视电阻率可以明显改善非波区的畸变效应.2011年,戚志鹏等[7 ] 提出了在频率域内利用多项式拟合来计算非中心点的垂直分量,用最小二乘原理建立与偏移距有关的视电阻率表达式;郝延松等[8 ] 研究了隧道及矿井中瞬变电磁的全空间视电阻率计算;柳建新等[9 ] 、王启等[10 ] 、王宏宇等[11 ] 讨论了Ex 分量、Eφ 分量定义的广域视电阻率,并对两者定义的广域电阻率进行对比,发现利用水平电场Eφ 分量定义的广域视电阻率可以增大电磁法野外工作的测量范围;刘长胜等[12 ] 研究了地空频率域电磁法的探测范围与探测深度;罗维斌等[13 ] 给出了比值法计算Hy 全区视电阻率公式,对比了不同视电阻率定义法获得的电阻率对模型的响应能力,发现Hy 全区视电阻率在赤道装置和轴向装置的广大区域,对地电模型均有较好地响应;张继峰等[14 ] 采用非结构化有限元数值模拟,研究了多源地空三维电磁垂直磁场的响应特征;秦西社等[15 ] 给出了基于反函数原理的可控源电磁法全域视电阻率定义;钱威州等[16 ] 从垂直磁偶极子Z 方向磁场公式推导了在低感应系数下的视电导率公式,实现了垂直磁偶源频率域电磁测深的一维正演. ...
基于反函数原理的可控源大地电磁法全场域视电阻率定义
1
2022
... 频率域电磁法最早是采用卡尼亚视电阻率来定性解释地下介质的电性结构,但卡尼亚视电阻率在过渡区及近场区常会发生畸变,不能反应地下真实的电阻率变化规律,因此殷长春等[1 ] 计算了电偶源的全波视电阻率,研究了全区视电阻率定义的思想与方法;方文藻等[2 ] 通过对均匀半空间场的近区公式与远区公式进行比较,引入了校正系数K ,将远区定义的视电阻率乘以校正系数得到了全区视电阻值;黄皓平等[3 ] 利用磁场3个分量分段计算了垂直磁偶极子全区视电阻率;毛先进等[4 ] 提出了水平电偶源频率域电磁测深全区视电阻率直接算法;陈明生等[5 ] 研究了电偶源频率电磁测深中的Ex 分量,得出电场Ex 分量具有分辨率高、观测信噪比高、不需做近场改正的优点.汤井田等[6 ] 计算了CSAMT水平电场y 分量Ey 定义的全区视电阻率,通过模拟计算得出Ey 全区视电阻率可以明显改善非波区的畸变效应.2011年,戚志鹏等[7 ] 提出了在频率域内利用多项式拟合来计算非中心点的垂直分量,用最小二乘原理建立与偏移距有关的视电阻率表达式;郝延松等[8 ] 研究了隧道及矿井中瞬变电磁的全空间视电阻率计算;柳建新等[9 ] 、王启等[10 ] 、王宏宇等[11 ] 讨论了Ex 分量、Eφ 分量定义的广域视电阻率,并对两者定义的广域电阻率进行对比,发现利用水平电场Eφ 分量定义的广域视电阻率可以增大电磁法野外工作的测量范围;刘长胜等[12 ] 研究了地空频率域电磁法的探测范围与探测深度;罗维斌等[13 ] 给出了比值法计算Hy 全区视电阻率公式,对比了不同视电阻率定义法获得的电阻率对模型的响应能力,发现Hy 全区视电阻率在赤道装置和轴向装置的广大区域,对地电模型均有较好地响应;张继峰等[14 ] 采用非结构化有限元数值模拟,研究了多源地空三维电磁垂直磁场的响应特征;秦西社等[15 ] 给出了基于反函数原理的可控源电磁法全域视电阻率定义;钱威州等[16 ] 从垂直磁偶极子Z 方向磁场公式推导了在低感应系数下的视电导率公式,实现了垂直磁偶源频率域电磁测深的一维正演. ...
垂直磁偶源频率域电磁测深法一维正演及响应特征
1
2023
... 频率域电磁法最早是采用卡尼亚视电阻率来定性解释地下介质的电性结构,但卡尼亚视电阻率在过渡区及近场区常会发生畸变,不能反应地下真实的电阻率变化规律,因此殷长春等[1 ] 计算了电偶源的全波视电阻率,研究了全区视电阻率定义的思想与方法;方文藻等[2 ] 通过对均匀半空间场的近区公式与远区公式进行比较,引入了校正系数K ,将远区定义的视电阻率乘以校正系数得到了全区视电阻值;黄皓平等[3 ] 利用磁场3个分量分段计算了垂直磁偶极子全区视电阻率;毛先进等[4 ] 提出了水平电偶源频率域电磁测深全区视电阻率直接算法;陈明生等[5 ] 研究了电偶源频率电磁测深中的Ex 分量,得出电场Ex 分量具有分辨率高、观测信噪比高、不需做近场改正的优点.汤井田等[6 ] 计算了CSAMT水平电场y 分量Ey 定义的全区视电阻率,通过模拟计算得出Ey 全区视电阻率可以明显改善非波区的畸变效应.2011年,戚志鹏等[7 ] 提出了在频率域内利用多项式拟合来计算非中心点的垂直分量,用最小二乘原理建立与偏移距有关的视电阻率表达式;郝延松等[8 ] 研究了隧道及矿井中瞬变电磁的全空间视电阻率计算;柳建新等[9 ] 、王启等[10 ] 、王宏宇等[11 ] 讨论了Ex 分量、Eφ 分量定义的广域视电阻率,并对两者定义的广域电阻率进行对比,发现利用水平电场Eφ 分量定义的广域视电阻率可以增大电磁法野外工作的测量范围;刘长胜等[12 ] 研究了地空频率域电磁法的探测范围与探测深度;罗维斌等[13 ] 给出了比值法计算Hy 全区视电阻率公式,对比了不同视电阻率定义法获得的电阻率对模型的响应能力,发现Hy 全区视电阻率在赤道装置和轴向装置的广大区域,对地电模型均有较好地响应;张继峰等[14 ] 采用非结构化有限元数值模拟,研究了多源地空三维电磁垂直磁场的响应特征;秦西社等[15 ] 给出了基于反函数原理的可控源电磁法全域视电阻率定义;钱威州等[16 ] 从垂直磁偶极子Z 方向磁场公式推导了在低感应系数下的视电导率公式,实现了垂直磁偶源频率域电磁测深的一维正演. ...
垂直磁偶源频率域电磁测深法一维正演及响应特征
1
2023
... 频率域电磁法最早是采用卡尼亚视电阻率来定性解释地下介质的电性结构,但卡尼亚视电阻率在过渡区及近场区常会发生畸变,不能反应地下真实的电阻率变化规律,因此殷长春等[1 ] 计算了电偶源的全波视电阻率,研究了全区视电阻率定义的思想与方法;方文藻等[2 ] 通过对均匀半空间场的近区公式与远区公式进行比较,引入了校正系数K ,将远区定义的视电阻率乘以校正系数得到了全区视电阻值;黄皓平等[3 ] 利用磁场3个分量分段计算了垂直磁偶极子全区视电阻率;毛先进等[4 ] 提出了水平电偶源频率域电磁测深全区视电阻率直接算法;陈明生等[5 ] 研究了电偶源频率电磁测深中的Ex 分量,得出电场Ex 分量具有分辨率高、观测信噪比高、不需做近场改正的优点.汤井田等[6 ] 计算了CSAMT水平电场y 分量Ey 定义的全区视电阻率,通过模拟计算得出Ey 全区视电阻率可以明显改善非波区的畸变效应.2011年,戚志鹏等[7 ] 提出了在频率域内利用多项式拟合来计算非中心点的垂直分量,用最小二乘原理建立与偏移距有关的视电阻率表达式;郝延松等[8 ] 研究了隧道及矿井中瞬变电磁的全空间视电阻率计算;柳建新等[9 ] 、王启等[10 ] 、王宏宇等[11 ] 讨论了Ex 分量、Eφ 分量定义的广域视电阻率,并对两者定义的广域电阻率进行对比,发现利用水平电场Eφ 分量定义的广域视电阻率可以增大电磁法野外工作的测量范围;刘长胜等[12 ] 研究了地空频率域电磁法的探测范围与探测深度;罗维斌等[13 ] 给出了比值法计算Hy 全区视电阻率公式,对比了不同视电阻率定义法获得的电阻率对模型的响应能力,发现Hy 全区视电阻率在赤道装置和轴向装置的广大区域,对地电模型均有较好地响应;张继峰等[14 ] 采用非结构化有限元数值模拟,研究了多源地空三维电磁垂直磁场的响应特征;秦西社等[15 ] 给出了基于反函数原理的可控源电磁法全域视电阻率定义;钱威州等[16 ] 从垂直磁偶极子Z 方向磁场公式推导了在低感应系数下的视电导率公式,实现了垂直磁偶源频率域电磁测深的一维正演. ...
Approximate calculations of the transient electromagnetic response from buried conductors in a conductive half-space
1
1984
... 目前,国内外电磁法的研究多侧重于时间域,采集数据大多为单一分量的响应信号.由于在接收点可以同时接收X 、Y 、Z 三个方向上的磁场分量,并且实际生产中多种接收设备已具备三分量数据采集能力,相关学者已开展了对磁场各分量的研究.McNeill等[17 -18 ] 对导电半空间中埋藏导体的瞬变电磁各分量响应进行了近似计算,分析了不同分量对异常体的反映,并研究了在瞬变电磁测量中测量电磁场各分量的必要性;刘金涛等[19 ] 通过对瞬变电磁三分量深度研究发现瞬变电磁三分量解释可对异常体的空间特性进行综合解释和精确定位;席振铢等[20 ] 对瞬变电磁三分量测量方法进行了研究,发现X 分量可以用来确定异常体的中心,而Y 、Z 分量可以定性确定异常体的倾向;戚志鹏等[21 ] 研究了瞬变电磁水平分量的视电阻率,用实测数据验证了水平分量可以较好地确定异常体的边界;Sun等[22 ] 研究了多分量、多阵列瞬变电磁方法的实际应用,发现磁场垂直分量的纵向分辨率较高,而水平分量的横向分辨率也较高;Meng等[23 ] 研究了地井瞬变电磁多分量响应的数值分析;张莹莹等[24 -25 ] 研究了多辐射场源地空瞬变电磁法多分量全域视电阻率定义,以及多分量的响应特征;张继锋等[26 -27 ] 研究了地空电磁法在煤矿水害隐患探测方面应用效果,发明了“一种多源频率域地空电磁探测采集系统及方法”;徐晶等[28 ] 采用有限单元法,分析了半航空频率域电磁场电偶源与长导线源的感应磁场三分量在距地面20 m高度的磁场特征,当场源为电偶极源时,Hy 对异常不敏感,而Hx 和Hz 对异常敏感,而三分量对长导线源均有反应. ...
Why should I measure three components in a time-domain electromagnetic survey
1
... 目前,国内外电磁法的研究多侧重于时间域,采集数据大多为单一分量的响应信号.由于在接收点可以同时接收X 、Y 、Z 三个方向上的磁场分量,并且实际生产中多种接收设备已具备三分量数据采集能力,相关学者已开展了对磁场各分量的研究.McNeill等[17 -18 ] 对导电半空间中埋藏导体的瞬变电磁各分量响应进行了近似计算,分析了不同分量对异常体的反映,并研究了在瞬变电磁测量中测量电磁场各分量的必要性;刘金涛等[19 ] 通过对瞬变电磁三分量深度研究发现瞬变电磁三分量解释可对异常体的空间特性进行综合解释和精确定位;席振铢等[20 ] 对瞬变电磁三分量测量方法进行了研究,发现X 分量可以用来确定异常体的中心,而Y 、Z 分量可以定性确定异常体的倾向;戚志鹏等[21 ] 研究了瞬变电磁水平分量的视电阻率,用实测数据验证了水平分量可以较好地确定异常体的边界;Sun等[22 ] 研究了多分量、多阵列瞬变电磁方法的实际应用,发现磁场垂直分量的纵向分辨率较高,而水平分量的横向分辨率也较高;Meng等[23 ] 研究了地井瞬变电磁多分量响应的数值分析;张莹莹等[24 -25 ] 研究了多辐射场源地空瞬变电磁法多分量全域视电阻率定义,以及多分量的响应特征;张继锋等[26 -27 ] 研究了地空电磁法在煤矿水害隐患探测方面应用效果,发明了“一种多源频率域地空电磁探测采集系统及方法”;徐晶等[28 ] 采用有限单元法,分析了半航空频率域电磁场电偶源与长导线源的感应磁场三分量在距地面20 m高度的磁场特征,当场源为电偶极源时,Hy 对异常不敏感,而Hx 和Hz 对异常敏感,而三分量对长导线源均有反应. ...
瞬变电磁法三分量解释剖析
1
2008
... 目前,国内外电磁法的研究多侧重于时间域,采集数据大多为单一分量的响应信号.由于在接收点可以同时接收X 、Y 、Z 三个方向上的磁场分量,并且实际生产中多种接收设备已具备三分量数据采集能力,相关学者已开展了对磁场各分量的研究.McNeill等[17 -18 ] 对导电半空间中埋藏导体的瞬变电磁各分量响应进行了近似计算,分析了不同分量对异常体的反映,并研究了在瞬变电磁测量中测量电磁场各分量的必要性;刘金涛等[19 ] 通过对瞬变电磁三分量深度研究发现瞬变电磁三分量解释可对异常体的空间特性进行综合解释和精确定位;席振铢等[20 ] 对瞬变电磁三分量测量方法进行了研究,发现X 分量可以用来确定异常体的中心,而Y 、Z 分量可以定性确定异常体的倾向;戚志鹏等[21 ] 研究了瞬变电磁水平分量的视电阻率,用实测数据验证了水平分量可以较好地确定异常体的边界;Sun等[22 ] 研究了多分量、多阵列瞬变电磁方法的实际应用,发现磁场垂直分量的纵向分辨率较高,而水平分量的横向分辨率也较高;Meng等[23 ] 研究了地井瞬变电磁多分量响应的数值分析;张莹莹等[24 -25 ] 研究了多辐射场源地空瞬变电磁法多分量全域视电阻率定义,以及多分量的响应特征;张继锋等[26 -27 ] 研究了地空电磁法在煤矿水害隐患探测方面应用效果,发明了“一种多源频率域地空电磁探测采集系统及方法”;徐晶等[28 ] 采用有限单元法,分析了半航空频率域电磁场电偶源与长导线源的感应磁场三分量在距地面20 m高度的磁场特征,当场源为电偶极源时,Hy 对异常不敏感,而Hx 和Hz 对异常敏感,而三分量对长导线源均有反应. ...
瞬变电磁法三分量解释剖析
1
2008
... 目前,国内外电磁法的研究多侧重于时间域,采集数据大多为单一分量的响应信号.由于在接收点可以同时接收X 、Y 、Z 三个方向上的磁场分量,并且实际生产中多种接收设备已具备三分量数据采集能力,相关学者已开展了对磁场各分量的研究.McNeill等[17 -18 ] 对导电半空间中埋藏导体的瞬变电磁各分量响应进行了近似计算,分析了不同分量对异常体的反映,并研究了在瞬变电磁测量中测量电磁场各分量的必要性;刘金涛等[19 ] 通过对瞬变电磁三分量深度研究发现瞬变电磁三分量解释可对异常体的空间特性进行综合解释和精确定位;席振铢等[20 ] 对瞬变电磁三分量测量方法进行了研究,发现X 分量可以用来确定异常体的中心,而Y 、Z 分量可以定性确定异常体的倾向;戚志鹏等[21 ] 研究了瞬变电磁水平分量的视电阻率,用实测数据验证了水平分量可以较好地确定异常体的边界;Sun等[22 ] 研究了多分量、多阵列瞬变电磁方法的实际应用,发现磁场垂直分量的纵向分辨率较高,而水平分量的横向分辨率也较高;Meng等[23 ] 研究了地井瞬变电磁多分量响应的数值分析;张莹莹等[24 -25 ] 研究了多辐射场源地空瞬变电磁法多分量全域视电阻率定义,以及多分量的响应特征;张继锋等[26 -27 ] 研究了地空电磁法在煤矿水害隐患探测方面应用效果,发明了“一种多源频率域地空电磁探测采集系统及方法”;徐晶等[28 ] 采用有限单元法,分析了半航空频率域电磁场电偶源与长导线源的感应磁场三分量在距地面20 m高度的磁场特征,当场源为电偶极源时,Hy 对异常不敏感,而Hx 和Hz 对异常敏感,而三分量对长导线源均有反应. ...
瞬变电磁法三分量测量方法研究
1
2010
... 目前,国内外电磁法的研究多侧重于时间域,采集数据大多为单一分量的响应信号.由于在接收点可以同时接收X 、Y 、Z 三个方向上的磁场分量,并且实际生产中多种接收设备已具备三分量数据采集能力,相关学者已开展了对磁场各分量的研究.McNeill等[17 -18 ] 对导电半空间中埋藏导体的瞬变电磁各分量响应进行了近似计算,分析了不同分量对异常体的反映,并研究了在瞬变电磁测量中测量电磁场各分量的必要性;刘金涛等[19 ] 通过对瞬变电磁三分量深度研究发现瞬变电磁三分量解释可对异常体的空间特性进行综合解释和精确定位;席振铢等[20 ] 对瞬变电磁三分量测量方法进行了研究,发现X 分量可以用来确定异常体的中心,而Y 、Z 分量可以定性确定异常体的倾向;戚志鹏等[21 ] 研究了瞬变电磁水平分量的视电阻率,用实测数据验证了水平分量可以较好地确定异常体的边界;Sun等[22 ] 研究了多分量、多阵列瞬变电磁方法的实际应用,发现磁场垂直分量的纵向分辨率较高,而水平分量的横向分辨率也较高;Meng等[23 ] 研究了地井瞬变电磁多分量响应的数值分析;张莹莹等[24 -25 ] 研究了多辐射场源地空瞬变电磁法多分量全域视电阻率定义,以及多分量的响应特征;张继锋等[26 -27 ] 研究了地空电磁法在煤矿水害隐患探测方面应用效果,发明了“一种多源频率域地空电磁探测采集系统及方法”;徐晶等[28 ] 采用有限单元法,分析了半航空频率域电磁场电偶源与长导线源的感应磁场三分量在距地面20 m高度的磁场特征,当场源为电偶极源时,Hy 对异常不敏感,而Hx 和Hz 对异常敏感,而三分量对长导线源均有反应. ...
瞬变电磁法三分量测量方法研究
1
2010
... 目前,国内外电磁法的研究多侧重于时间域,采集数据大多为单一分量的响应信号.由于在接收点可以同时接收X 、Y 、Z 三个方向上的磁场分量,并且实际生产中多种接收设备已具备三分量数据采集能力,相关学者已开展了对磁场各分量的研究.McNeill等[17 -18 ] 对导电半空间中埋藏导体的瞬变电磁各分量响应进行了近似计算,分析了不同分量对异常体的反映,并研究了在瞬变电磁测量中测量电磁场各分量的必要性;刘金涛等[19 ] 通过对瞬变电磁三分量深度研究发现瞬变电磁三分量解释可对异常体的空间特性进行综合解释和精确定位;席振铢等[20 ] 对瞬变电磁三分量测量方法进行了研究,发现X 分量可以用来确定异常体的中心,而Y 、Z 分量可以定性确定异常体的倾向;戚志鹏等[21 ] 研究了瞬变电磁水平分量的视电阻率,用实测数据验证了水平分量可以较好地确定异常体的边界;Sun等[22 ] 研究了多分量、多阵列瞬变电磁方法的实际应用,发现磁场垂直分量的纵向分辨率较高,而水平分量的横向分辨率也较高;Meng等[23 ] 研究了地井瞬变电磁多分量响应的数值分析;张莹莹等[24 -25 ] 研究了多辐射场源地空瞬变电磁法多分量全域视电阻率定义,以及多分量的响应特征;张继锋等[26 -27 ] 研究了地空电磁法在煤矿水害隐患探测方面应用效果,发明了“一种多源频率域地空电磁探测采集系统及方法”;徐晶等[28 ] 采用有限单元法,分析了半航空频率域电磁场电偶源与长导线源的感应磁场三分量在距地面20 m高度的磁场特征,当场源为电偶极源时,Hy 对异常不敏感,而Hx 和Hz 对异常敏感,而三分量对长导线源均有反应. ...
瞬变电磁水平分量视电阻率定义
1
2011
... 目前,国内外电磁法的研究多侧重于时间域,采集数据大多为单一分量的响应信号.由于在接收点可以同时接收X 、Y 、Z 三个方向上的磁场分量,并且实际生产中多种接收设备已具备三分量数据采集能力,相关学者已开展了对磁场各分量的研究.McNeill等[17 -18 ] 对导电半空间中埋藏导体的瞬变电磁各分量响应进行了近似计算,分析了不同分量对异常体的反映,并研究了在瞬变电磁测量中测量电磁场各分量的必要性;刘金涛等[19 ] 通过对瞬变电磁三分量深度研究发现瞬变电磁三分量解释可对异常体的空间特性进行综合解释和精确定位;席振铢等[20 ] 对瞬变电磁三分量测量方法进行了研究,发现X 分量可以用来确定异常体的中心,而Y 、Z 分量可以定性确定异常体的倾向;戚志鹏等[21 ] 研究了瞬变电磁水平分量的视电阻率,用实测数据验证了水平分量可以较好地确定异常体的边界;Sun等[22 ] 研究了多分量、多阵列瞬变电磁方法的实际应用,发现磁场垂直分量的纵向分辨率较高,而水平分量的横向分辨率也较高;Meng等[23 ] 研究了地井瞬变电磁多分量响应的数值分析;张莹莹等[24 -25 ] 研究了多辐射场源地空瞬变电磁法多分量全域视电阻率定义,以及多分量的响应特征;张继锋等[26 -27 ] 研究了地空电磁法在煤矿水害隐患探测方面应用效果,发明了“一种多源频率域地空电磁探测采集系统及方法”;徐晶等[28 ] 采用有限单元法,分析了半航空频率域电磁场电偶源与长导线源的感应磁场三分量在距地面20 m高度的磁场特征,当场源为电偶极源时,Hy 对异常不敏感,而Hx 和Hz 对异常敏感,而三分量对长导线源均有反应. ...
瞬变电磁水平分量视电阻率定义
1
2011
... 目前,国内外电磁法的研究多侧重于时间域,采集数据大多为单一分量的响应信号.由于在接收点可以同时接收X 、Y 、Z 三个方向上的磁场分量,并且实际生产中多种接收设备已具备三分量数据采集能力,相关学者已开展了对磁场各分量的研究.McNeill等[17 -18 ] 对导电半空间中埋藏导体的瞬变电磁各分量响应进行了近似计算,分析了不同分量对异常体的反映,并研究了在瞬变电磁测量中测量电磁场各分量的必要性;刘金涛等[19 ] 通过对瞬变电磁三分量深度研究发现瞬变电磁三分量解释可对异常体的空间特性进行综合解释和精确定位;席振铢等[20 ] 对瞬变电磁三分量测量方法进行了研究,发现X 分量可以用来确定异常体的中心,而Y 、Z 分量可以定性确定异常体的倾向;戚志鹏等[21 ] 研究了瞬变电磁水平分量的视电阻率,用实测数据验证了水平分量可以较好地确定异常体的边界;Sun等[22 ] 研究了多分量、多阵列瞬变电磁方法的实际应用,发现磁场垂直分量的纵向分辨率较高,而水平分量的横向分辨率也较高;Meng等[23 ] 研究了地井瞬变电磁多分量响应的数值分析;张莹莹等[24 -25 ] 研究了多辐射场源地空瞬变电磁法多分量全域视电阻率定义,以及多分量的响应特征;张继锋等[26 -27 ] 研究了地空电磁法在煤矿水害隐患探测方面应用效果,发明了“一种多源频率域地空电磁探测采集系统及方法”;徐晶等[28 ] 采用有限单元法,分析了半航空频率域电磁场电偶源与长导线源的感应磁场三分量在距地面20 m高度的磁场特征,当场源为电偶极源时,Hy 对异常不敏感,而Hx 和Hz 对异常敏感,而三分量对长导线源均有反应. ...
Multi-component and multi-array TEM detection in Karst tunnels
1
2012
... 目前,国内外电磁法的研究多侧重于时间域,采集数据大多为单一分量的响应信号.由于在接收点可以同时接收X 、Y 、Z 三个方向上的磁场分量,并且实际生产中多种接收设备已具备三分量数据采集能力,相关学者已开展了对磁场各分量的研究.McNeill等[17 -18 ] 对导电半空间中埋藏导体的瞬变电磁各分量响应进行了近似计算,分析了不同分量对异常体的反映,并研究了在瞬变电磁测量中测量电磁场各分量的必要性;刘金涛等[19 ] 通过对瞬变电磁三分量深度研究发现瞬变电磁三分量解释可对异常体的空间特性进行综合解释和精确定位;席振铢等[20 ] 对瞬变电磁三分量测量方法进行了研究,发现X 分量可以用来确定异常体的中心,而Y 、Z 分量可以定性确定异常体的倾向;戚志鹏等[21 ] 研究了瞬变电磁水平分量的视电阻率,用实测数据验证了水平分量可以较好地确定异常体的边界;Sun等[22 ] 研究了多分量、多阵列瞬变电磁方法的实际应用,发现磁场垂直分量的纵向分辨率较高,而水平分量的横向分辨率也较高;Meng等[23 ] 研究了地井瞬变电磁多分量响应的数值分析;张莹莹等[24 -25 ] 研究了多辐射场源地空瞬变电磁法多分量全域视电阻率定义,以及多分量的响应特征;张继锋等[26 -27 ] 研究了地空电磁法在煤矿水害隐患探测方面应用效果,发明了“一种多源频率域地空电磁探测采集系统及方法”;徐晶等[28 ] 采用有限单元法,分析了半航空频率域电磁场电偶源与长导线源的感应磁场三分量在距地面20 m高度的磁场特征,当场源为电偶极源时,Hy 对异常不敏感,而Hx 和Hz 对异常敏感,而三分量对长导线源均有反应. ...
Numerical analysis of multicomponent responses of surface-hole transient electromagnetic method
1
2017
... 目前,国内外电磁法的研究多侧重于时间域,采集数据大多为单一分量的响应信号.由于在接收点可以同时接收X 、Y 、Z 三个方向上的磁场分量,并且实际生产中多种接收设备已具备三分量数据采集能力,相关学者已开展了对磁场各分量的研究.McNeill等[17 -18 ] 对导电半空间中埋藏导体的瞬变电磁各分量响应进行了近似计算,分析了不同分量对异常体的反映,并研究了在瞬变电磁测量中测量电磁场各分量的必要性;刘金涛等[19 ] 通过对瞬变电磁三分量深度研究发现瞬变电磁三分量解释可对异常体的空间特性进行综合解释和精确定位;席振铢等[20 ] 对瞬变电磁三分量测量方法进行了研究,发现X 分量可以用来确定异常体的中心,而Y 、Z 分量可以定性确定异常体的倾向;戚志鹏等[21 ] 研究了瞬变电磁水平分量的视电阻率,用实测数据验证了水平分量可以较好地确定异常体的边界;Sun等[22 ] 研究了多分量、多阵列瞬变电磁方法的实际应用,发现磁场垂直分量的纵向分辨率较高,而水平分量的横向分辨率也较高;Meng等[23 ] 研究了地井瞬变电磁多分量响应的数值分析;张莹莹等[24 -25 ] 研究了多辐射场源地空瞬变电磁法多分量全域视电阻率定义,以及多分量的响应特征;张继锋等[26 -27 ] 研究了地空电磁法在煤矿水害隐患探测方面应用效果,发明了“一种多源频率域地空电磁探测采集系统及方法”;徐晶等[28 ] 采用有限单元法,分析了半航空频率域电磁场电偶源与长导线源的感应磁场三分量在距地面20 m高度的磁场特征,当场源为电偶极源时,Hy 对异常不敏感,而Hx 和Hz 对异常敏感,而三分量对长导线源均有反应. ...
多辐射场源地空瞬变电磁法多分量全域视电阻率定义
1
2015
... 目前,国内外电磁法的研究多侧重于时间域,采集数据大多为单一分量的响应信号.由于在接收点可以同时接收X 、Y 、Z 三个方向上的磁场分量,并且实际生产中多种接收设备已具备三分量数据采集能力,相关学者已开展了对磁场各分量的研究.McNeill等[17 -18 ] 对导电半空间中埋藏导体的瞬变电磁各分量响应进行了近似计算,分析了不同分量对异常体的反映,并研究了在瞬变电磁测量中测量电磁场各分量的必要性;刘金涛等[19 ] 通过对瞬变电磁三分量深度研究发现瞬变电磁三分量解释可对异常体的空间特性进行综合解释和精确定位;席振铢等[20 ] 对瞬变电磁三分量测量方法进行了研究,发现X 分量可以用来确定异常体的中心,而Y 、Z 分量可以定性确定异常体的倾向;戚志鹏等[21 ] 研究了瞬变电磁水平分量的视电阻率,用实测数据验证了水平分量可以较好地确定异常体的边界;Sun等[22 ] 研究了多分量、多阵列瞬变电磁方法的实际应用,发现磁场垂直分量的纵向分辨率较高,而水平分量的横向分辨率也较高;Meng等[23 ] 研究了地井瞬变电磁多分量响应的数值分析;张莹莹等[24 -25 ] 研究了多辐射场源地空瞬变电磁法多分量全域视电阻率定义,以及多分量的响应特征;张继锋等[26 -27 ] 研究了地空电磁法在煤矿水害隐患探测方面应用效果,发明了“一种多源频率域地空电磁探测采集系统及方法”;徐晶等[28 ] 采用有限单元法,分析了半航空频率域电磁场电偶源与长导线源的感应磁场三分量在距地面20 m高度的磁场特征,当场源为电偶极源时,Hy 对异常不敏感,而Hx 和Hz 对异常敏感,而三分量对长导线源均有反应. ...
多辐射场源地空瞬变电磁法多分量全域视电阻率定义
1
2015
... 目前,国内外电磁法的研究多侧重于时间域,采集数据大多为单一分量的响应信号.由于在接收点可以同时接收X 、Y 、Z 三个方向上的磁场分量,并且实际生产中多种接收设备已具备三分量数据采集能力,相关学者已开展了对磁场各分量的研究.McNeill等[17 -18 ] 对导电半空间中埋藏导体的瞬变电磁各分量响应进行了近似计算,分析了不同分量对异常体的反映,并研究了在瞬变电磁测量中测量电磁场各分量的必要性;刘金涛等[19 ] 通过对瞬变电磁三分量深度研究发现瞬变电磁三分量解释可对异常体的空间特性进行综合解释和精确定位;席振铢等[20 ] 对瞬变电磁三分量测量方法进行了研究,发现X 分量可以用来确定异常体的中心,而Y 、Z 分量可以定性确定异常体的倾向;戚志鹏等[21 ] 研究了瞬变电磁水平分量的视电阻率,用实测数据验证了水平分量可以较好地确定异常体的边界;Sun等[22 ] 研究了多分量、多阵列瞬变电磁方法的实际应用,发现磁场垂直分量的纵向分辨率较高,而水平分量的横向分辨率也较高;Meng等[23 ] 研究了地井瞬变电磁多分量响应的数值分析;张莹莹等[24 -25 ] 研究了多辐射场源地空瞬变电磁法多分量全域视电阻率定义,以及多分量的响应特征;张继锋等[26 -27 ] 研究了地空电磁法在煤矿水害隐患探测方面应用效果,发明了“一种多源频率域地空电磁探测采集系统及方法”;徐晶等[28 ] 采用有限单元法,分析了半航空频率域电磁场电偶源与长导线源的感应磁场三分量在距地面20 m高度的磁场特征,当场源为电偶极源时,Hy 对异常不敏感,而Hx 和Hz 对异常敏感,而三分量对长导线源均有反应. ...
多辐射场源半航空瞬变电磁法多分量响应特征分析
1
2021
... 目前,国内外电磁法的研究多侧重于时间域,采集数据大多为单一分量的响应信号.由于在接收点可以同时接收X 、Y 、Z 三个方向上的磁场分量,并且实际生产中多种接收设备已具备三分量数据采集能力,相关学者已开展了对磁场各分量的研究.McNeill等[17 -18 ] 对导电半空间中埋藏导体的瞬变电磁各分量响应进行了近似计算,分析了不同分量对异常体的反映,并研究了在瞬变电磁测量中测量电磁场各分量的必要性;刘金涛等[19 ] 通过对瞬变电磁三分量深度研究发现瞬变电磁三分量解释可对异常体的空间特性进行综合解释和精确定位;席振铢等[20 ] 对瞬变电磁三分量测量方法进行了研究,发现X 分量可以用来确定异常体的中心,而Y 、Z 分量可以定性确定异常体的倾向;戚志鹏等[21 ] 研究了瞬变电磁水平分量的视电阻率,用实测数据验证了水平分量可以较好地确定异常体的边界;Sun等[22 ] 研究了多分量、多阵列瞬变电磁方法的实际应用,发现磁场垂直分量的纵向分辨率较高,而水平分量的横向分辨率也较高;Meng等[23 ] 研究了地井瞬变电磁多分量响应的数值分析;张莹莹等[24 -25 ] 研究了多辐射场源地空瞬变电磁法多分量全域视电阻率定义,以及多分量的响应特征;张继锋等[26 -27 ] 研究了地空电磁法在煤矿水害隐患探测方面应用效果,发明了“一种多源频率域地空电磁探测采集系统及方法”;徐晶等[28 ] 采用有限单元法,分析了半航空频率域电磁场电偶源与长导线源的感应磁场三分量在距地面20 m高度的磁场特征,当场源为电偶极源时,Hy 对异常不敏感,而Hx 和Hz 对异常敏感,而三分量对长导线源均有反应. ...
多辐射场源半航空瞬变电磁法多分量响应特征分析
1
2021
... 目前,国内外电磁法的研究多侧重于时间域,采集数据大多为单一分量的响应信号.由于在接收点可以同时接收X 、Y 、Z 三个方向上的磁场分量,并且实际生产中多种接收设备已具备三分量数据采集能力,相关学者已开展了对磁场各分量的研究.McNeill等[17 -18 ] 对导电半空间中埋藏导体的瞬变电磁各分量响应进行了近似计算,分析了不同分量对异常体的反映,并研究了在瞬变电磁测量中测量电磁场各分量的必要性;刘金涛等[19 ] 通过对瞬变电磁三分量深度研究发现瞬变电磁三分量解释可对异常体的空间特性进行综合解释和精确定位;席振铢等[20 ] 对瞬变电磁三分量测量方法进行了研究,发现X 分量可以用来确定异常体的中心,而Y 、Z 分量可以定性确定异常体的倾向;戚志鹏等[21 ] 研究了瞬变电磁水平分量的视电阻率,用实测数据验证了水平分量可以较好地确定异常体的边界;Sun等[22 ] 研究了多分量、多阵列瞬变电磁方法的实际应用,发现磁场垂直分量的纵向分辨率较高,而水平分量的横向分辨率也较高;Meng等[23 ] 研究了地井瞬变电磁多分量响应的数值分析;张莹莹等[24 -25 ] 研究了多辐射场源地空瞬变电磁法多分量全域视电阻率定义,以及多分量的响应特征;张继锋等[26 -27 ] 研究了地空电磁法在煤矿水害隐患探测方面应用效果,发明了“一种多源频率域地空电磁探测采集系统及方法”;徐晶等[28 ] 采用有限单元法,分析了半航空频率域电磁场电偶源与长导线源的感应磁场三分量在距地面20 m高度的磁场特征,当场源为电偶极源时,Hy 对异常不敏感,而Hx 和Hz 对异常敏感,而三分量对长导线源均有反应. ...
电磁法在煤矿水害隐患探测方面的综述
1
2023
... 目前,国内外电磁法的研究多侧重于时间域,采集数据大多为单一分量的响应信号.由于在接收点可以同时接收X 、Y 、Z 三个方向上的磁场分量,并且实际生产中多种接收设备已具备三分量数据采集能力,相关学者已开展了对磁场各分量的研究.McNeill等[17 -18 ] 对导电半空间中埋藏导体的瞬变电磁各分量响应进行了近似计算,分析了不同分量对异常体的反映,并研究了在瞬变电磁测量中测量电磁场各分量的必要性;刘金涛等[19 ] 通过对瞬变电磁三分量深度研究发现瞬变电磁三分量解释可对异常体的空间特性进行综合解释和精确定位;席振铢等[20 ] 对瞬变电磁三分量测量方法进行了研究,发现X 分量可以用来确定异常体的中心,而Y 、Z 分量可以定性确定异常体的倾向;戚志鹏等[21 ] 研究了瞬变电磁水平分量的视电阻率,用实测数据验证了水平分量可以较好地确定异常体的边界;Sun等[22 ] 研究了多分量、多阵列瞬变电磁方法的实际应用,发现磁场垂直分量的纵向分辨率较高,而水平分量的横向分辨率也较高;Meng等[23 ] 研究了地井瞬变电磁多分量响应的数值分析;张莹莹等[24 -25 ] 研究了多辐射场源地空瞬变电磁法多分量全域视电阻率定义,以及多分量的响应特征;张继锋等[26 -27 ] 研究了地空电磁法在煤矿水害隐患探测方面应用效果,发明了“一种多源频率域地空电磁探测采集系统及方法”;徐晶等[28 ] 采用有限单元法,分析了半航空频率域电磁场电偶源与长导线源的感应磁场三分量在距地面20 m高度的磁场特征,当场源为电偶极源时,Hy 对异常不敏感,而Hx 和Hz 对异常敏感,而三分量对长导线源均有反应. ...
电磁法在煤矿水害隐患探测方面的综述
1
2023
... 目前,国内外电磁法的研究多侧重于时间域,采集数据大多为单一分量的响应信号.由于在接收点可以同时接收X 、Y 、Z 三个方向上的磁场分量,并且实际生产中多种接收设备已具备三分量数据采集能力,相关学者已开展了对磁场各分量的研究.McNeill等[17 -18 ] 对导电半空间中埋藏导体的瞬变电磁各分量响应进行了近似计算,分析了不同分量对异常体的反映,并研究了在瞬变电磁测量中测量电磁场各分量的必要性;刘金涛等[19 ] 通过对瞬变电磁三分量深度研究发现瞬变电磁三分量解释可对异常体的空间特性进行综合解释和精确定位;席振铢等[20 ] 对瞬变电磁三分量测量方法进行了研究,发现X 分量可以用来确定异常体的中心,而Y 、Z 分量可以定性确定异常体的倾向;戚志鹏等[21 ] 研究了瞬变电磁水平分量的视电阻率,用实测数据验证了水平分量可以较好地确定异常体的边界;Sun等[22 ] 研究了多分量、多阵列瞬变电磁方法的实际应用,发现磁场垂直分量的纵向分辨率较高,而水平分量的横向分辨率也较高;Meng等[23 ] 研究了地井瞬变电磁多分量响应的数值分析;张莹莹等[24 -25 ] 研究了多辐射场源地空瞬变电磁法多分量全域视电阻率定义,以及多分量的响应特征;张继锋等[26 -27 ] 研究了地空电磁法在煤矿水害隐患探测方面应用效果,发明了“一种多源频率域地空电磁探测采集系统及方法”;徐晶等[28 ] 采用有限单元法,分析了半航空频率域电磁场电偶源与长导线源的感应磁场三分量在距地面20 m高度的磁场特征,当场源为电偶极源时,Hy 对异常不敏感,而Hx 和Hz 对异常敏感,而三分量对长导线源均有反应. ...
1
... 目前,国内外电磁法的研究多侧重于时间域,采集数据大多为单一分量的响应信号.由于在接收点可以同时接收X 、Y 、Z 三个方向上的磁场分量,并且实际生产中多种接收设备已具备三分量数据采集能力,相关学者已开展了对磁场各分量的研究.McNeill等[17 -18 ] 对导电半空间中埋藏导体的瞬变电磁各分量响应进行了近似计算,分析了不同分量对异常体的反映,并研究了在瞬变电磁测量中测量电磁场各分量的必要性;刘金涛等[19 ] 通过对瞬变电磁三分量深度研究发现瞬变电磁三分量解释可对异常体的空间特性进行综合解释和精确定位;席振铢等[20 ] 对瞬变电磁三分量测量方法进行了研究,发现X 分量可以用来确定异常体的中心,而Y 、Z 分量可以定性确定异常体的倾向;戚志鹏等[21 ] 研究了瞬变电磁水平分量的视电阻率,用实测数据验证了水平分量可以较好地确定异常体的边界;Sun等[22 ] 研究了多分量、多阵列瞬变电磁方法的实际应用,发现磁场垂直分量的纵向分辨率较高,而水平分量的横向分辨率也较高;Meng等[23 ] 研究了地井瞬变电磁多分量响应的数值分析;张莹莹等[24 -25 ] 研究了多辐射场源地空瞬变电磁法多分量全域视电阻率定义,以及多分量的响应特征;张继锋等[26 -27 ] 研究了地空电磁法在煤矿水害隐患探测方面应用效果,发明了“一种多源频率域地空电磁探测采集系统及方法”;徐晶等[28 ] 采用有限单元法,分析了半航空频率域电磁场电偶源与长导线源的感应磁场三分量在距地面20 m高度的磁场特征,当场源为电偶极源时,Hy 对异常不敏感,而Hx 和Hz 对异常敏感,而三分量对长导线源均有反应. ...
1
... 目前,国内外电磁法的研究多侧重于时间域,采集数据大多为单一分量的响应信号.由于在接收点可以同时接收X 、Y 、Z 三个方向上的磁场分量,并且实际生产中多种接收设备已具备三分量数据采集能力,相关学者已开展了对磁场各分量的研究.McNeill等[17 -18 ] 对导电半空间中埋藏导体的瞬变电磁各分量响应进行了近似计算,分析了不同分量对异常体的反映,并研究了在瞬变电磁测量中测量电磁场各分量的必要性;刘金涛等[19 ] 通过对瞬变电磁三分量深度研究发现瞬变电磁三分量解释可对异常体的空间特性进行综合解释和精确定位;席振铢等[20 ] 对瞬变电磁三分量测量方法进行了研究,发现X 分量可以用来确定异常体的中心,而Y 、Z 分量可以定性确定异常体的倾向;戚志鹏等[21 ] 研究了瞬变电磁水平分量的视电阻率,用实测数据验证了水平分量可以较好地确定异常体的边界;Sun等[22 ] 研究了多分量、多阵列瞬变电磁方法的实际应用,发现磁场垂直分量的纵向分辨率较高,而水平分量的横向分辨率也较高;Meng等[23 ] 研究了地井瞬变电磁多分量响应的数值分析;张莹莹等[24 -25 ] 研究了多辐射场源地空瞬变电磁法多分量全域视电阻率定义,以及多分量的响应特征;张继锋等[26 -27 ] 研究了地空电磁法在煤矿水害隐患探测方面应用效果,发明了“一种多源频率域地空电磁探测采集系统及方法”;徐晶等[28 ] 采用有限单元法,分析了半航空频率域电磁场电偶源与长导线源的感应磁场三分量在距地面20 m高度的磁场特征,当场源为电偶极源时,Hy 对异常不敏感,而Hx 和Hz 对异常敏感,而三分量对长导线源均有反应. ...
半航空频率域电磁测深2.5D正演模拟中几个关键问题
1
2024
... 目前,国内外电磁法的研究多侧重于时间域,采集数据大多为单一分量的响应信号.由于在接收点可以同时接收X 、Y 、Z 三个方向上的磁场分量,并且实际生产中多种接收设备已具备三分量数据采集能力,相关学者已开展了对磁场各分量的研究.McNeill等[17 -18 ] 对导电半空间中埋藏导体的瞬变电磁各分量响应进行了近似计算,分析了不同分量对异常体的反映,并研究了在瞬变电磁测量中测量电磁场各分量的必要性;刘金涛等[19 ] 通过对瞬变电磁三分量深度研究发现瞬变电磁三分量解释可对异常体的空间特性进行综合解释和精确定位;席振铢等[20 ] 对瞬变电磁三分量测量方法进行了研究,发现X 分量可以用来确定异常体的中心,而Y 、Z 分量可以定性确定异常体的倾向;戚志鹏等[21 ] 研究了瞬变电磁水平分量的视电阻率,用实测数据验证了水平分量可以较好地确定异常体的边界;Sun等[22 ] 研究了多分量、多阵列瞬变电磁方法的实际应用,发现磁场垂直分量的纵向分辨率较高,而水平分量的横向分辨率也较高;Meng等[23 ] 研究了地井瞬变电磁多分量响应的数值分析;张莹莹等[24 -25 ] 研究了多辐射场源地空瞬变电磁法多分量全域视电阻率定义,以及多分量的响应特征;张继锋等[26 -27 ] 研究了地空电磁法在煤矿水害隐患探测方面应用效果,发明了“一种多源频率域地空电磁探测采集系统及方法”;徐晶等[28 ] 采用有限单元法,分析了半航空频率域电磁场电偶源与长导线源的感应磁场三分量在距地面20 m高度的磁场特征,当场源为电偶极源时,Hy 对异常不敏感,而Hx 和Hz 对异常敏感,而三分量对长导线源均有反应. ...
半航空频率域电磁测深2.5D正演模拟中几个关键问题
1
2024
... 目前,国内外电磁法的研究多侧重于时间域,采集数据大多为单一分量的响应信号.由于在接收点可以同时接收X 、Y 、Z 三个方向上的磁场分量,并且实际生产中多种接收设备已具备三分量数据采集能力,相关学者已开展了对磁场各分量的研究.McNeill等[17 -18 ] 对导电半空间中埋藏导体的瞬变电磁各分量响应进行了近似计算,分析了不同分量对异常体的反映,并研究了在瞬变电磁测量中测量电磁场各分量的必要性;刘金涛等[19 ] 通过对瞬变电磁三分量深度研究发现瞬变电磁三分量解释可对异常体的空间特性进行综合解释和精确定位;席振铢等[20 ] 对瞬变电磁三分量测量方法进行了研究,发现X 分量可以用来确定异常体的中心,而Y 、Z 分量可以定性确定异常体的倾向;戚志鹏等[21 ] 研究了瞬变电磁水平分量的视电阻率,用实测数据验证了水平分量可以较好地确定异常体的边界;Sun等[22 ] 研究了多分量、多阵列瞬变电磁方法的实际应用,发现磁场垂直分量的纵向分辨率较高,而水平分量的横向分辨率也较高;Meng等[23 ] 研究了地井瞬变电磁多分量响应的数值分析;张莹莹等[24 -25 ] 研究了多辐射场源地空瞬变电磁法多分量全域视电阻率定义,以及多分量的响应特征;张继锋等[26 -27 ] 研究了地空电磁法在煤矿水害隐患探测方面应用效果,发明了“一种多源频率域地空电磁探测采集系统及方法”;徐晶等[28 ] 采用有限单元法,分析了半航空频率域电磁场电偶源与长导线源的感应磁场三分量在距地面20 m高度的磁场特征,当场源为电偶极源时,Hy 对异常不敏感,而Hx 和Hz 对异常敏感,而三分量对长导线源均有反应. ...
瞬变电磁法全区视电阻率的二分搜索算法
1
2009
... 考虑到Hy 的不单调存在多解性,我们选择使用二分法[29 ] 来逼近两个解,并选择其中更合适的解进行输出.由二分法原理可知:当函数F (x )在区间[a ,b ]上单调连续且存在零点,即F (a )·F (b )<0时,令c = a + b 2 ,则F (x )的零点必在[a ,c ]或[c ,b ]之间,将零点所在区间继续二分,不断重复,最后区间越来越小,区间边界逼近零点.当区间足够小时,即可近似将区间边界视为零点. ...
瞬变电磁法全区视电阻率的二分搜索算法
1
2009
... 考虑到Hy 的不单调存在多解性,我们选择使用二分法[29 ] 来逼近两个解,并选择其中更合适的解进行输出.由二分法原理可知:当函数F (x )在区间[a ,b ]上单调连续且存在零点,即F (a )·F (b )<0时,令c = a + b 2 ,则F (x )的零点必在[a ,c ]或[c ,b ]之间,将零点所在区间继续二分,不断重复,最后区间越来越小,区间边界逼近零点.当区间足够小时,即可近似将区间边界视为零点. ...