基于L1-2范数约束的叠前多分量地震数据直接反演纵横波速度比方法
A method for calculating the P-to-S-wave velocity ratio through direct inversion of prestack multi-component seismic data based on the L1-2 norm constraint
第一作者:
责任编辑: 叶佩
收稿日期: 2024-10-25 修回日期: 2025-02-13
| 基金资助: |
|
Received: 2024-10-25 Revised: 2025-02-13
纵横波速度比是判别岩性、描述储层特征、识别气藏的重要工具。通过PP波地震数据直接反演纵波速度和横波速度的技术已经相对成熟,但分别反演纵横波速度后再求取其比值会产生累积误差。相比之下,PS波中包含横波速度信息,联合反演能够提高纵横波速度比的反演精度。本文引入了L1-2范数以提高反演结果的分辨率。相较于L1范数和L2范数,L1-2范数更稀疏,可以得到分辨率更高的反演结果。首先,通过推导线性化的PP波和PS波正演近似公式并分析其精度。然后,基于贝叶斯理论,引入L1-2范数构建直接反演纵横波速度比的目标函数,通过求解该目标函数,获得纵横波速度比的反演结果。定量对比相关系数表明,基于L1-2范数的反演结果优于L1范数和L2范数,直接反演结果优于间接反演结果,联合反演的结果优于单独反演的结果。合成数据和实际资料的反演验证了所提方法的有效性和可行性。
关键词:
The ratio of compressional to shear wave velocities(hereafter referred to as the P-to-S-wave velocity ratio) is an essential parameter for lithology discrimination,reservoir characterization,and gas reservoir identification.Direct inversion of PP-wave seismic data to derive the P- and S-wave velocities has been a well-established technique.However,calculating the P-to-S-wave velocity ratio using the P- and S-wave velocities obtained through individual inversion may lead to cumulative errors.In contrast,since PS-wave data inherently contain S-wave velocity information,the joint inversion of PS-wave data can significantly improve the accuracy of the P-to-S-wave velocity ratio.This study employed the L1-2 norm to enhance the resolution of inversion results.Compared to the L1 and L2 norms,the L1-2 norm yielded sparser solutions with higher resolution.First,this study derived and assessed the accuracy of linearized forward modeling approximate formulas for PP- and PS-waves.Second,based on Bayesian theory,this study incorporated the L1-2 norm to construct an objective function for the direct inversion of the P-to-S-wave velocity ratio.Third,the objective function was solved to obtain the inversion result for the P-to-S-wave velocity ratio.The quantitative comparison of the correlation coefficients demonstrates that the inversion results based on the L1-2 norm outperform those based on the L1 or L2 norm,direct inversion is superior to indirect inversion,and joint inversion provides better results than individual inversion.Finally, the effectiveness and feasibility of the proposed method in this study were validated through inversions of synthetic and field data.
Keywords:
本文引用格式
韩磊, 李景叶, 耿伟恒, 王永平, 杨骐羽, 张宇宁.
HAN Lei, LI Jing-Ye, GENG Wei-Heng, WANG Yong-Ping, YANG Qi-Yu, ZHANG Yu-Ning.
0 引言
叠前多分量地震反演是地震勘探中一种重要的解释工具,多波多分量地震采集技术日趋完善,纵波与转换横波联合AVO/AVA反演已发展为储层表征和流体识别的基本技术。相较于PP波单独反演,PP与PS波联合反演能够获取更加精确的地下介质的纵横波速度信息。根据挪威海Tommeliten油田的勘探发现,当地下存在“气烟囱”构造时,纵波数据的成像结果较差,相比之下,PS波由于受流体情况影响较小,可以获得更加清晰的成像结果[1]。由于P波与S波在地下介质中传播速度的差异,在地面接收到的PP波和PS波地震记录存在时差,需要进行匹配处理[2],本文采用DTW(dynamic time warping,DTW)算法[3]对地震数据进行匹配处理。匹配处理的方法是将转换波压缩到纵波时间域。压缩转换波会使得原本稳态的转换波数据变成非稳态。子波不再统一,而是随着时间和空间位置的变化而变化。这时,如果再对转换波提取一个统一的子波进行后续的联合反演,势必会影响到反演结果的精度。因此,在联合反演之前,必须要对转换波的波形进行校正。利用一个自适应时频域整形滤波器[4]进行波形校正。
利用纵横波速度比能够有效的进行储层的表征以及岩性区分[5]。该参数能够直接用于表示泊松比,泊松比是一个重要的流体因子,因为相较于S波,P波对流体更加敏感,纵横波速度比在储层含气性评价中起着重要的作用[6]。含气砂岩随着含气饱和度升高,纵波速度和横波速度都降低,但是纵波速度比横波速度变化大,因此,纵横波速度比降低。近年来纵横波速度比反演技术发展迅速,Compton等 [7]利用DIW技术来估算纵横波速度比,但是该方法计算得到的纵横波速度比分辨率较低,无法准确地指示气藏。Zhi等[8]提出了利用精确Zoeppritz方程的两步法PP-PS波联合反演方法,两步法计算会产生累计误差,降低纵横波速度比的反演精度。
Donoho[9]、Zhang等[10]、Yin等[11]许多学者致力于研究从线性测量中恢复稀疏信号,稀疏重建是从欠定的线性系统中,通过施加合适的正则化项,利用反演方法来估计出稀疏解的过程。L0范数是最稀疏的度量,理论上,向反演的目标函数中施加L0范数约束项即可获得一个最稀疏的解。然而,L0最小化问题是一个NP-Hard(nondeterministic polynomial-time hard,NP-Hard)问题,在实际应用中想要求解L0范数是非常困难的。为此,学者们提出了各式各样的稀疏度量来近似L0范数,例如Lp范数、L1范数等。近几年,L1-2范数[12]被广泛地应用于稀疏重建,相比于L1范数,它更加地近似L0范数,并且也更易于求解。利用L1-2范数进行约束,可以得到稀疏的反射系数反演结果[13]。本文将L1-2范数应用于纵横波速度比反演,合成数据和实际数据表明该方法在指示气藏以及储层表征方面的可行性和有效性。
1 PP与PS波联合反演纵横波速度比方法
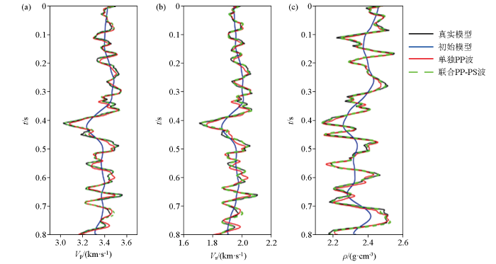
由于PS波地震数据相较于PP波包含更加丰富的地层信息,PP波与PS波进行联合反演可以更好地描述储层边界,提出储层预测精度(图1)。
图1
图1
单独PP波、联合PP-PS波直接反演纵波速度(a)、横波速度(b)、密度(c)
Fig.1
Direct inversion of P-wave velocity (a), S-wave velocity (b) and density (c) by PP and PP-PS wave
为了更加直观体现出联合反演的精度,通过计算相关系数来进行精度对比:
式中:c(X,X)、c(Y,Y)分别为序列X、Y的方差,c(X,Y)为序列X、Y的协方差。
联合反演的纵波速度、横波速度、密度相较于单独反演都得到了显著提高(表1)。
表1 不同数据类型反演结果的相关系数
Table 1
| 数据类型 | 单独PP反演 | 联合PP+PS联合反演 | ||||
|---|---|---|---|---|---|---|
| 反演参数 | 纵波速度 | 横波速度 | 密度 | 纵波速度 | 横波速度 | 密度 |
| 相关系数 | 0.8723 | 0.8259 | 0.9067 | 0.9423 | 0.8697 | 0.9619 |
20世纪80年代出版的《Quantitative seismology theory and methods》一书中提出了一种反射系数的近似方程[14]:
我们对该式进行重新表达:
式中:k为背景参数,实际生产应用中选择井数据计算:
通过数学推导,建立起纵横波速度积、纵横波速度比与上下界面纵横波速度的关系[15]:
式中:
将式(4)、(5)代入式(2)中得到式(8),建立起反射系数与纵横波速度比之间的联系:
相较于传统的PP波,PS波对于横波速度更加敏感,采用纵横波联合反演能够有效地提高弹性参数的预测精度,提高气藏边界刻画能力。
同样将式(4)、(5)代入式(11)中得到式(12):
由此我们成功构建了用纵横波速度比来表示的PP波反射系数方程以及PS波反射系数方程。正演模型的正确与否将会直接影响反演结果的精度,接下来进行正演模拟分析对比,来检验我们新推导的反射系数方程与精确的Zoeppritz方程之间的误差。
表2 第一类典型AVO模型
Table 2
| 地层 | Vp/(m·s-1) | Vs/(m·s-1) | ρ/(g·cm-3) |
|---|---|---|---|
| 页岩 | 2540 | 1250 | 2.30 |
| 含气砂岩 | 2980 | 1525 | 2.42 |
表3 第二类典型AVO模型
Table 3
| 地层 | Vp/(m·s-1) | Vs/(m·s-1) | ρ/(g·cm-3) |
|---|---|---|---|
| 页岩 | 2776 | 1780 | 2.35 |
| 含气砂岩 | 2700 | 1740 | 2.34 |
表4 第三类典型AVO模型
Table 4
| 地层 | Vp/(m·s -1) | Vs/(m·s-1) | ρ/(g·cm-3) |
|---|---|---|---|
| 页岩 | 3000 | 1280 | 2.30 |
| 含气砂岩 | 2450 | 1265 | 2.12 |
通过3种经典的AVO模型的验证,新构建的PP波、PS波反射系数表达式与精确Zoeppritz方程计算得到的反射系数拟合度较高,在一定程度上克服了大角度入射情况下PS波反射系数计算误差较大的缺点。说明本文所构建的反射系数方程的可行性,为直接反演纵横波速度比做好正演算子的准备。
图2
图2
3种典型AVO模型的PP波反射系数对比
Fig.2
Comparison of PP wave reflection coefficients of three typical AVO models
图3
图3
3种典型AVO模型的PS波反射系数对比
Fig.3
Comparison of PS wave reflection coefficients of three typical AVO models
图4
图4
无噪正演合成的PP波(a)和PS波(b)地震记录
Fig.4
Noise-free forward-modeled PP-wave(a) and PS-wave(b) seismic records
2 构造添加L1-2范数约束的目标函数
图5
图5
不同分布的一维概率密度函数对比
Fig.5
Comparison of one-dimensional probability density functions with different distributions
为了更直观地对比几种不同范数的分布特征,绘制了L0范数、L1范数(对应拉普拉斯分布)、L2范数(对应高斯分布)以及L1-2范数的二维图像(图6)。可见,相比于L2范数和L1范数,L1-2范数与L0范数更相似,因此,理论上基于L1-2范数约束可以获得比L2范数和L1范数约束更稀疏、分辨率更高的反演结果。
式中:x、y为二维向量的分量。L0范数定义为计算模型中非零项的个数,也被认为是最稀疏的度量。因此可通过对比其他范数图像与L0范数图像的相似程度来判断范数的稀疏性。
图6
图6
L0范数(a)、L1范数(b)、L2范数(c)、L1-2范数(d)的二维图像
Fig.6
Two-dimensional images of L0 norm (a), L1 norm (b), L2 norm (c), and L1-2 norm (d)
通过对正演算子正确性的验证以及正则化约束能够提高分辨率的理论进行的阐述,接下来进行目标函数的构建,由于L2范数本质是一种高斯分布,根据贝叶斯框架构建L2范数约束的反演纵横波速度比的目标函数[20]:
式中:dpp表示PP波地震记录;dps表示PS波地震记录;Gpp示PP波的正演算子;Gps表示PS波的正演算子;m表示待反演参数;Cm是模型参数的协方差矩阵与单位阵的Kronecker内积。
在反演过程中,通常需要多次试验反演结果与真实值的相关系数来获得合适的参数及迭代次数,以保证最终获得较满意的反演结果。
由于L1范数与L1-2范数不易求导,采用ADMM算法进行求解:
具体求解过程见附录。
3 模型测试
利用单道模型,分别对比、分析基于L2范数、L1范数以及L1-2范数约束的PP波反演结果和基于L2范数、L1范数以及L1-2范数约束的联合PP-PS波的反演结果,以验证所提方法的效果。图7为无噪地震数据的反演结果,可以观察到,由于没有噪声的干扰均可得到较为准确的反演结果,其中L1-2范数约束的联合反演的相关系数最高,达到0.999 68。
图7
图7
无噪数据反演结果
a—PP单独反演;b—PP+PS联合反演
Fig.7
Noise-free data inversion results
a—PP only inversion;b—PP+PS joint inversion
图8
图8
SNR=10正演合成地震记录
a—PP波地震记录;b—PS波地震记录
Fig.8
Forward modeling synthetic seismic record with SNR=10
a—PP wave seismic record;b—PS wave seismic record
图9
图9
SNR=10数据反演结果
a—PP单独反演;b—PP+PS联合反演
Fig.9
SNR=10 data inversion results
a—PP only inversion;b—PP+PS joint inversion
图10
图10
SNR=4正演合成地震记录
a—PP波地震记录;b—PS波地震记录
Fig.10
Forward modeling synthetic seismic record with SNR=4
a—PP wave seismic record;b—PS wave seismic record
表5 反演结果相关系数对比
Table 5
| 联合PP+PS直接反演 | 单独PP直接反演 | 联合PP+PS间接反演 | |||||||
|---|---|---|---|---|---|---|---|---|---|
| L1 | L2 | L1-2 | L1 | L2 | L1-2 | L1 | L2 | L1-2 | |
| SNR=4 | 0.9326 | 0.9300 | 0.9592 | 0.9123 | 0.9050 | 0.9454 | 0.9073 | 0.9017 | 0.9342 |
| SNR=10 | 0.9815 | 0.9529 | 0.9841 | 0.9257 | 0.9228 | 0.9536 | 0.9219 | 0.9162 | 0.9425 |
随着噪声的增强,相较于地震记录的SNR=10,SNR=4的反演结果的精度都会降低(图11),主要是由于线性反演易受到噪声的影响导致的。通过添加PS波地震信息,反演结果的精度和稳定性都得到改善。L1-2范数约束由于更好地压制了“小值”,同时也保护了大值,纵横波速度比的反演结果在噪声较强的条件下,仍能够提高反演结果的分辨率。
图11
图11
SNR=4数据反演结果
a—PP单独反演;b—PP+PS联合反演
Fig.11
SNR=4 data inversion results
a—PP only inversion;b—PP+PS joint inversion
相较于本文所提出的利用叠前多分量地震资料直接反演纵横波速度比,常规方法仅利用PP波地震数据单独反演纵波速度、横波速度,间接计算得到的纵横波速度比精度较低。如图12所示,为常规的间接反演得到的纵横波速度比。SNR=10时,常规联合反演结果与真实结果的相关系数为0.942 5,低于本文提出直接反演结果与真实结果的相关系数0.984 1。
图12
图12
SNR=10(a)和SNR=4(b)数据PP单独反演结果
Fig.12
PP only inversion results with SNR=10(a) and SNR=4(b) data
合成数据的反演结果表明本文提出的基于L1-2范数约束的叠前多分量地震数据直接反演纵横波速度比,反演结果的精度和抗噪性都得改善,证明了该方法的可行性。
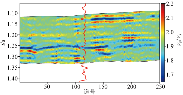
4 实际数据应用
为了进一步验证该方法的有效性,利用S区实际地震资料测试本文方法。该工区目的层的岩性以致密砂岩为主,主要油藏类型为致密砂岩气。利用纵横波速度比能够较好地指示“甜点”。由于该工区河道砂岩具有期次多、砂体叠置的地质特征,传统的纵波勘探难以精细刻画砂体及其叠置关系。因此在研究区开展了多分量地震采集探索。多分量地震资料采用炸药震源激发、DSU3数字三分量检波器接收。在纵波剖面上反射特征不明显;在转换波剖面上反射特征能够清晰地识别。纵波数据对砂体变化不敏感,地震波形难以反映砂体的叠置关系。转换波虽然主频低于纵波,但对岩性变化敏感,地震波形与砂体变化有很好的对应关系。图13为该地区的叠后地震剖面。通过DTW算法对地震数据进行匹配处理,对匹配处理后的地震数据利用自适应滤波器进行整形滤波,为纵横波速度比做好数据准备。
图13
图13
PP波(a)和PS波(b)部分叠加地震剖面
Fig.13
Part-stack seismic profile of PP waves(a) and PS waves(b)
图14
图14
井旁道PP波单独反演结果(a)和井旁道PP波、PS波联合反演结果(b)
Fig.14
Comparison between offset well log inversion results inversion results of PP waves alone(a) joint inversion results of PP-PS waves(b)
图15
图15
L1-2范数约束的叠前单独PP波地震数据直接反演纵横波速度比
Fig.15
Direct inversion of P-to-S wave velocity ratio using L1-2 norm constraint for single PP waves seismic data
图16
图16
L1-2范数约束的叠前联合PP波、PS波地震数据直接反演纵横波速度比
Fig.16
Direct inversion of P-to-S wave velocity ratio using L1-2 norm constraint for joint PP waves and PS waves seismic data
表6 反演结果相关系数对比
Table 6
| 数据类型 | 单独PP反演 | 联合PP+PS联合反演 | ||||
|---|---|---|---|---|---|---|
| 约束方法 | L1范数 | L2范数 | L1-2范数 | L1范数 | L2范数 | L1-2范数 |
| 相关系数 | 0.3133 | 0.3019 | 0.5350 | 0.4514 | 0.4359 | 0.6535 |
5 结论及讨论
本文提出了一种利用叠前多分量地震数据直接反演纵横波速度比,并添加L1-2范数约束的技术,通过合成数据和实际数据验证了该方法的可行性和有效性。利用该方法直接反演得到的纵横波速度比分辨率高,提高了气藏识别的精度,并且该方法具有一定的抗噪性。然而,该方法仍存在一些缺点,由于PP波与PS波具有走时的差异,本文所采用的正演模拟方法并没有考虑波的走时信息,因此需要匹配处理,这个过程会存在一定的误差,进而影响纵横波速度比的反演结果。
附录:
1 L2范数约束的目标函数求解
J(m)=
γ=
Hessian≈
则Δm=Hessian/γ,mk+1=mk+λΔm 。
2 L1范数约束的目标函数求解(ADMM算法)
J(m)=
重新表述目标函数:
增广拉格朗日函数为:L(m,z,u)=
1)更新m: mk+1=
2)更新z: zk+1=soft
3)更新拉格朗日算子u: uk+1=uk+zk+1-mk+1。
3 L1-2范数约束的目标函数求解
J(m)=
重新表述目标函数:
L(m,z,u)=
1)初始化,设置初始值m0、z0、u0,设置超参数η、λ、α以及最大迭代次数;
2)迭代循环,更新m: mk+1=
更新z: zk+1=soft
更新u: uk+1=uk+mk+1-zk+1;
3)收敛检查:
4)输出结果:返回mk+1作为最优解。
参考文献
Imaging through gas-filled sediments using marine shear-wave data
[J].
Seismic anisotropy in exploration and reservoir characterization:An overview
[J].
Warped P-SV wavelet distortion correction using a time-frequency adaptive shaping filter
[J].
应用Lp拟范数稀疏约束的纵横波速比直接反演
[J].
Direct inversion of P-wave to S-wave velocity ratio by Lp quasi-norm sparse constraints
[J].
多波速度比参数含气性识别研究与应用
[J].
Gas identification using multi-wave velocity ratio parameters
[J].
Estimating VP/VS ratios using smooth dynamic image warping
[J].
Nonlinear PP and PS joint inversion based on the exact zoeppritz equations:A two-stage procedure
[J].
Compressed sensing
[J].
Seismic sparse-layer reflectivity inversion using basis pursuit decomposition
[J].
Minimization of L1-2 for compressed sensing
[J].
基于L1-2正则化的地震波阻抗“块” 反演
[J].
Seismic“blocky” acoustic impedance inversion based on L1-2 regularization
[J].
Quantitative seismology theory and methods
[M].
基于弹性阻抗的高精度纵横波速比直接反演方法研究与应用
[J].
Study and application of high-precision direct inversion method of P-to-S-wave velocity ratio based on elastic impedance
[J].
AVO approximation for PS-wave and its application in PP/PS joint inversion
[J].
Useful approximations for converted-wave AVO
[J].
基于三变量柯西分布先验约束的叠前三参数反演方法
[J].
Prestack three term inversion method based on Trivariate Cauchy distribution prior constraint
[J].
基于精确Zoeppritz方程的储层含油气性预测方法
[J].
DOI:10.6038/cjg2021P0099
[本文引用: 1]
流体指示因子和泊松比作为重要的指标参数在储层含油气性预测中发挥着至关重要的作用,大量学者开展了这两个参数的直接反演研究.然而,现有反演方法主要是以精确Zoeppritz方程的近似公式为正演方程,近似公式诸多的假设条件及较低的计算精度极大地限制了这类方法在复杂储层的应用效果.因此,为了提升储层含油气性预测精度,文中提出了一种新的基于精确Zoeppritz方程的流体因子和泊松比反演方法.首先,借助敏感流体因子定量分析法对现有流体指示因子进行优选,并将传统形式的精确Zoeppritz方程改写为包含该优选流体指示因子和泊松比的新形式.然后,基于新方程构建贝叶斯理论框架下的非线性反演目标函数.同时,为了进一步提升流体因子和泊松比对储层的刻画精度,在假设背景先验模型服从高斯分布的同时引入服从微分拉普拉斯分布的块约束项.最后,借助泰勒级数展开对上述非线性目标函数进行求解.合成数据和油田数据验证结果表明新方法能够稳定合理地估计流体指示因子和泊松比,且精度远高于基于近似公式的传统方法.此外,实际数据测试表明新方法能够有效提升储层含油气性预测精度,降低不确定性.
Prediction method of reservoir oil-gas potential based on exact Zoeppritz equations
[J].
/
| 〈 |
|
〉 |
