基于L1-2范数约束的叠前多分量地震数据直接反演纵横波速度比方法 |
| 韩磊, 李景叶, 耿伟恒, 王永平, 杨骐羽, 张宇宁 |
|
A method for calculating the P-to-S-wave velocity ratio through direct inversion of prestack multi-component seismic data based on the L1-2 norm constraint |
| HAN Lei, LI Jing-Ye, GENG Wei-Heng, WANG Yong-Ping, YANG Qi-Yu, ZHANG Yu-Ning |
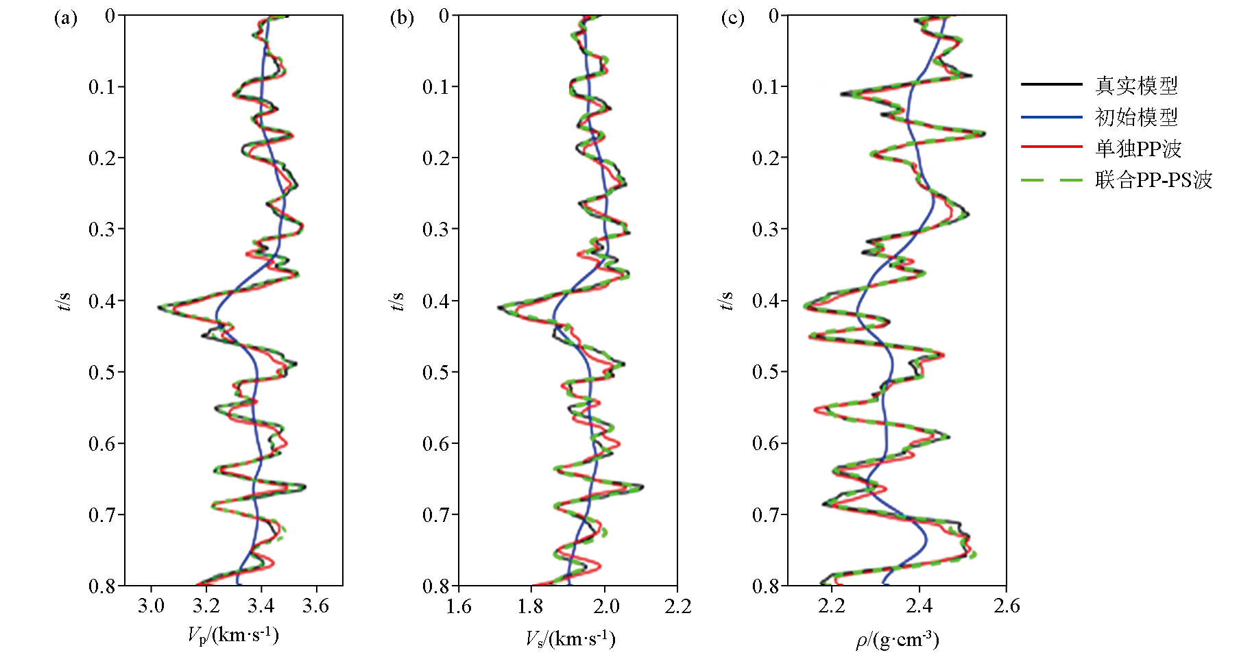
| 图1 单独PP波、联合PP-PS波直接反演纵波速度(a)、横波速度(b)、密度(c) |
| Fig.1 Direct inversion of P-wave velocity (a), S-wave velocity (b) and density (c) by PP and PP-PS wave |
|