0 引言
大地电磁测深法(MT)作为一种深地地质构造研究的频率域电磁测深法,其数据反演方法的选择对结果有直接影响[1 ] 。目前的一维MT反演可大致分为线性算法与非线性算法,线性算法主要有阻尼最小二乘法、广义逆矩阵法以及OCCAM法等,其核心思想最终都是将非线性的问题通过线性的方法来逼近[2 ⇓ -4 ] ,这些方法大都非常依赖初始模型,很容易陷入局部最优解。非线性算法对比线性算法而言,由于不依赖初始模型,无需求取偏导数,以及具有较强的搜索能力等优点,逐渐被应用在多种地球物理方法的数据反演中。目前应用于地球物理数据反演的非线性算法主要有遗传算法(GA)[5 -6 ] 、模拟退火算法(SA)[7 -8 ] 、蚁群算法(ACO)[9 ] 、粒子群算法(PSO)以及其他一些经过改良的非线性算法[10 ⇓ -12 ] 。
粒子群算法最早是由Kennedy以及Eherhart于1995年提出[13 ] ,该算法源于鸟群的群体觅食行为,鸟群的栖息地可以看作是待求问题的可能解的位置,通过鸟群中个体的信息传递,指引整个鸟群向着最优解移动。PSO算法是基于迭代的随机优化算法,该算法初始化时生成一组随机解,通过迭代搜索最优解。粒子群算法不同于其他进化算法,不是采用群体解的竞争机制来迭代产生最优解,而是通过群体解的合作机制来迭代产生最优解[14 ] 。粒子群算法的机制容易实现、概念简单、参数少,并且隐含并行性。因此粒子群算法在求解多维非线性问题上有很好的前景[15 ] 。国内外学者对PSO算法进行了一系列的研究与优化,Francesca等[16 ] 总结了PSO算法在电磁法勘探、重磁勘探、直流电法勘探以及地震勘探等各种地球物理方法中的应用;师学明等[17 ] 、肖敏[18 ] 提出一种新的惯性权重ω 参数振荡递减策略,并将其应用于一维和简单的二维大地电磁测深反演中;韩家兴等[19 ] 通过将PSO算法应用于测井中,有效提高了密度测井的质量;李明星等[20 ] 将PSO算法应用于瞬变电磁反演计算中。本文通过对PSO算法在多维问题中容易早熟的缺点进行改进,提出了一种改进的PSO算法(LFPSO),通过结合Lévy飞行,更有机会跳出局部最优解。通过模型试验表明:LFPSO相较于标准PSO算法适应度值下降速度更快、寻优能力更好;相较于OCCAM反演,LFPSO反演效率更高;并在实际数据处理中取得了较好的结果。
1 粒子群算法
1.1 标准粒子群算法(PSO)
PSO算法的数学描述如下[13 ,21 ] :由SN 个粒子组成的群体在D 维的搜索空间中以一定的速度飞行,每个粒子初始速度vi =(v 1 ,v 2 ,…,vD ),初始位置xi =(x 1 ,x 2 ,…,xD )。在搜索时,粒子群体记录每一个粒子到过的历史最优位置pbest =[pbest 1 ,pbest 2 ,…,pbestSN ],同时记录整个群体所有到过的最优位置gbest =[gbest 1 ,gbest 2 ,…,gbestSN ],在此基础上寻找最优解。对每一个粒子,其第d 维根据式(1)进行变化:
(1) v i d [ t + 1 ] = ω · v i d [ t ] + c 1 · r a n d · ( p b e s t i - x i d ) + c 2 · r a n d · ( g b e s t i - x i d ) ,
(2) x i d [ t + 1 ] = x i d + v i d [ t + 1 ] ,
其中:i =1,2,…,SN ;rand 为0~1之间的随机数;ω 为惯性权重,该参数决定了粒子先前速度对当前速度的影响程度,该值较大时,全局搜索能力较强,局部搜索能力较弱,该值较小时,则局部搜索能力增强,全局搜索能力变弱,本文权重ω 通过式(3)线性变化,ω max 取值2,ω min 取值0.4:
(3) ω = ω m a x - t - t m a x ω m a x - ω m i n 。
随着迭代次数的增加,ω 线性减小,从而使得粒子群算法在初期具有较强的全局收敛能力,而在后期拥有较强的局部搜索能力[14 ] 。
由式(1)可知,粒子的速度更新公式包含3部分:第一部分为惯性部分,即对粒子先前速度的记忆;第二部分为自我认知部分,即粒子i 在当前位置与自己到过的最好位置之间的距离;第三部分为社会经验部分,该部分表示粒子之间的信息共享,即粒子i 当前位置与群体已知的最好位置之间的距离。
1.2 基于Lévy飞行的粒子群优化算法(LYPSO)
标准的粒子群算法在处理多维非线性问题时,仍然存在早熟情况,随着迭代次数的增加,各个粒子会变得越来越相似,最终可能进入局部最优解。避免早熟问题,目前主要通过以下3种方法[14 ] :①修改惯性权重参数的值;②增加种群多样性;③结合其他一些进化算法提高算法的性能。
为了达到增加种群多样性的目的,本文采用Lévy飞行策略,扰动陷入局部极值的全局最优粒子,使得粒子有更大的几率脱逃局部最优解。
Lévy飞行是服从Lévy分布的随机搜索方法,其来源于混沌理论相关的数学,是一种短距离搜索与偶尔长距离的行走相结合的行走方式,其特点是长时间以较小的步长随机游走,偶尔以较大的步长进行突变跳跃,飞行示意图如图1 所示。本文通过Lévy飞行随机游走策略更新种群搜索个体的位置,提高种群多样性。
图1
图1
迭代200次的Lévy飞行示意
a—Lévy飞行轨迹;b—Lévy飞行步长分布
Fig.1
Schematic diagram of the Lévy flight trajectory after 200 iterations
a—Levy flight path;b—Levy flight step distribution
本文采用Mantegna于1994年提出的Mantegna方法来模拟Lévy飞行[22 ] 。生成服从Lévy飞行的随机步长的方法如式(4):
(4) S = μ | v | 1 β ,
其中:μ =N(0,σ 2 ),v =N(0,1),σ =Γ ( 1 + β ) s i n ( π β / 2 ) Γ [ ( 1 + β ) / 2 ] β 2 ( β - 1 ) / 2 1 / β ,β 取1.5。每次迭代时,将当前群体最优解gbest 进行多次Lévy扰动,如式(5)所示,选取适应度值最好的值作为gbest Lévy ,再与gbes t进行对比,选择适应度较好的gbest 作为群体最优解,算法流程图如图2 所示。
(5) g b e s t L é v y = g b e s t + μ · L ,
式中:L 表示Lévy随机搜索路径;μ 表示步长的控制量。
图2
图2
LFPSO算法流程
Fig.2
LFPSO algorithm flow chart
2 数值正、反演计算及实际数据处理
正演是反演的基础,求解电磁场分布规律的方法主要有解析法与数值模拟法[1 ] ;解析法运算速度快,但是仅对较为简单的规则形体的地质模型有效,对于多层地电模型而言,有限差分法与有限元法是较为有效的正演方法。
本文中2层、3层模型正演采用数值解析法[1 ] 。多层地电模型以及实测数据采用可变步长的一维有限元数值模拟法来进行数据正演。评价解(粒子)的优劣程度的适应度函数使用式(6)
(6) f ( ρ c a l ) = ∑ i = 1 N ( l g ρ c a l [ i ] - l g ρ o b s [ i ] ) 2 N 。
式中: N 表示实测数据频率个数;ρ cal 表示由地电模型正演响应;ρ obs 表示实测视电阻率值。
2.1 有限元数据正演
线性有限元法(FEM)由麦克斯韦方程组推导而出。节点示意图如图3 所示,TM模式下,电场满足的微分方程:
图3
图3
可变步长有限元法单元节点示意
Fig.3
Schematic diagram of variable step FEM element nodes
(7) $\left\{\begin{array}{l} -\frac{\partial H_{y}}{\partial z}=\frac{1}{\rho} E_{x}, \\ \frac{\partial E_{x}}{\partial z}=i \omega \mu H_{y}, \\ \frac{\partial^{2} H_{y}}{\partial z^{2}}-k^{2} H_{y}=0, \\ \frac{\partial^{2} E_{x}}{\partial z^{2}}-k^{2} E_{x}=0。 \end{array}\right.$
(8) $\left\{\begin{array}{l} \frac{\partial^{2} E_{x}}{\partial z^{2}}+\frac{i \omega \mu E_{x}}{\rho}=0, \\ \left.E_{x}\right|_{z=0}=1, \\ \left.E_{x}\right|_{z=N}=-k E_{x} 。 \end{array}\right.$
式中:ω 为角频率;ρ 为电阻率;μ 为空气中磁导率;k 为传播常数;z 表示深度;N 表示最地层的底层深度。
(9) $\left\{\begin{array}{l} r=\frac{\partial^{2} E_{x}}{\partial z^{2}}+\frac{i \omega \mu E_{x}}{\rho}=0, \\ R_{i}^{e}=\int_{x_{2}^{e}}^{x_{1}^{e}} N_{i}^{e} r \mathrm{~d} x=0,(i=1,2)。 \end{array}\right.$
其中:x 1 e ,x 2 e 为单元的节点坐标。解方程式(9),得到单元方程(10),最终将所有单元方程组合,求解得到各个节点的电场值Ex 以及阻抗Z 。
(10) $\left\{\begin{array}{l} R_{i}^{e}=\sum_{j=1}^{2} E_{x_{i}}^{e} \int_{x_{1}^{e}}^{x_{2}^{e}}\left(\alpha \frac{\mathrm{d} N_{i}^{e}}{\mathrm{~d} x} \frac{\mathrm{d} N_{j}^{e}}{\mathrm{~d} x}+b N_{i}^{e} N_{j}^{e}\right) \mathrm{d} x-\left.k E_{x}\right|_{z=N}=0 \\ b=\frac{i \omega \mu}{\rho} \\ N_{1}^{e}(x)=\frac{x_{2}^{e}-x}{x_{2}^{e}-x_{1}^{e}} \\ N_{2}^{e}(x)=\frac{x-x_{1}^{e}}{x_{2}^{e}-x_{1}^{e}} \\ E_{x}^{e}(x)=\sum_{j=1}^{2} N_{j}^{e}(x) E_{x_{j}}^{e} \end{array}\right.$
(11) H y = 1 i ω μ d E x d z ,
(12) Z = E x / H y ,
(13) ρ a = | Z | 2 / ( ω μ ) ,
(14) φ = t a n - 1 I m ( Z ) R e ( Z ) ,
然后根据式(11)求得Z = 0 时的辅助场Hy ,最终通过式(12)~(14)得到波阻抗、视电阻率以及阻抗相位。
有限元法采用传统的固定网格计算时,在高、低频段拟合误差都较大,而且采用的网格是随地层层数增加而对数等间隔变大的变步长网格,对于频率域电磁法而言更为符合实际情况,本文地层厚度递增公式如式(15)。
(15) Δ z [ m ] = Δ z [ 0 ] × γ m 。
式中:Δz [m ]表示第m 层网格厚度,γ 为一常数,表示网格厚度递增参数。
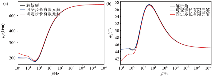
本文所使用的有限元正演程序由python编写。图4 为地电模型参数ρh =[200,800,500]的解析解与有限元正演对比曲线,曲线结果验证了编写的有限元正演程序是正确的;正演网格深度要求2 600 m,固定步长有限元网格厚度10 m,则需要网格数260层,可变步长有限元首层厚度1 m,网格厚度递增参数1.05,网格数只需要100层即可到达要求的正演深度,可见可变步长有限元正演在提高正演效率的同时,精度也更高。
图4
图4
固定步长和可变步长的有限元正演在简单地电模型(G型)中的正演结果对比
a—视电阻率结果对比;b—阻抗相位结果对比
Fig.4
Comparison of forward results of finite element forward modeling with fixed step size and variable step in simple geoelectric model (G type)
a—comparison of apparent resistivity;b—comparison of impedance phase
2.2 两层、三层理论模型反演
为了对LFPSO与PSO的反演效果进行对比分析,选择两层G型、D型地电模型和三层地电模型K型、H型地电模型进行反演,反演迭代100次,正演采用解析解法,曲线拟合结果见图5 、图6 ,反演模型参数以及结果见表1 。
图5
图5
2层地电模型PSO、LFPSO反演结果与理论值对比
a—G型曲线对比;b—D型曲线对比;c—G型曲线适应度迭代变化;d—D型曲线适应度迭代变化
Fig.5
Comparison of PSO and LFPSO inversion results and theoretical values of the two-layer geoelectric model
a—G-curve comparison chart;b—D-curve comparison chart;c—the fitness value of G-curve changes iterativel;d—the fitness value of D-curve changes iterativel
图6
图6
3层地电模型PSO、LFPSO反演结果与理论值对比
a—H型曲线对比;b—K型曲线对比;c—H型曲线适应度迭代变化;d—K型曲线适应度迭代变化
Fig.6
Comparison of PSO and LFPSO inversion results and theoretical values of the three-layer geoelectric model
a—H-curve comparison chart;b—K-curve comparison chart;c—the fitness value of H-curve changes iterativel; d—the fitness value of K-curve changes iterativel
由图5 、图6 可以看出,在迭代100次后,地电模型解析解与PSO、LFPSO反演曲线形态均较为相似;LFPSO在初始值相较PSO差的情况下,仍然可以更快地找到适应度更好的解,由表1 可知,PSO在4种地电模型中反演结果的平均相对误差为16.86%,LFPSO的平均相对误差仅为5.58%,说明无论是曲线拟合程度还是适应度值下降速度,LFPSO算法均优于PSO算法。
2.3 多层复杂地电模型
为验证LFPSO算法的实用性和有效性,本文选择OCCAM反演与LFPSO算法进行对比验证。OCCAM反演作为一种线性算法,其实质即是求一个多层地球模型的最光滑解[23 ] 。由于其稳定的收敛性、不依赖初值等优点,在MT一维、二维反演中具有良好的效果。
多层复杂地层模型选择一个6层薄互层的地电模型[24 -25 ] 进行数据反演。正演采用可变步长有限元法,地层网格剖分采用对数等间隔剖分:地层层数50层,首层层厚5 m,网格厚度递增参数1.05,网格深度最深1 046 m。频率范围104 ~10-4 。地电模型参数如表2 所示。
由于LFPSO在搜索空间内会出现高频跳点,而地层电性数据在实际中是连续且光滑的,因此需要对产生的电性数据进行滤波,去除随机产生的不合实际的构造,以便于符合实际地层数据。本文使用SAVITZKY-GOLAY对反演结果进行滤波,SAVITZKY-GOLAY滤波是一种数字滤波器,通过线性最小二乘法将相邻数据点的连续子集与一个低次多项式拟合,在滤除高频噪声的同时可以保证反演结果形状不变,使得反演模型结果尽可能与实际地层吻合,其滤波效果如图7 所示。
图7
图7
Savitzky-Golay滤波器的滤波效果
Fig.7
The filtering effect of the filter Savitzky-Golay
本次反演,LFPSO粒子种群数100个,搜索空间10~1 000 Ω·m,迭代次数30次,每次迭代完成后对反演结果(地层电阻率值)进行Savitzky-Golay滤波,滤波窗口宽度为5,多项式阶数为3。OCCAM反演初始电阻率默认为均匀半空间电阻率,阻值50 Ω·m,拉格朗日乘子μ 初始值为1,步长λ 为2,每次迭代令μk =μk -1 /λ ,迭代次数5次。
反演结果如图8 所示,可以看出,OCCAM与LFPSO整体上都可以在趋势上与理论真实地层相一致,两者对低阻薄层均有较好的反应。然而由于OCCAM是在一定的拟合误差下使模型的光滑度最大,因此在低阻薄层相邻的高阻层上反演效果不如LFPSO,只是在趋势上与真实模型一致,而LFPSO在高阻层反演效果更好;在反演效率方面,LFPSO共耗时876 s,而OCCAM反演由于需要求解Jacobian矩阵,效率较低,最终耗时3 337 s;说明在效率方面,LFPSO相较于OCCAM反演优势较为明显。
图8
图8
OCCAM反演与PSO反演在6层薄互层中的反演结果
a—六层薄互层有限元正演电阻率、相位曲线;b—反演结果
Fig.8
Inversion results of OCCAM inversion and PSO inversion in six-layer geoelectric model
a—finite element forward resistivity and phase curve for the six-layer geoelectric model;b—result of inversion
2.4 实测数据处理
为进一步验证LFPSO算法的有效性和实用性,选择安徽省铜陵市大姚地区某线的2700号点广域电磁法实测数据进行反演对比,该点毗邻ZK701号钻孔,孔深806 m。钻孔及井中激电(地—井方式)结果显示,该地地层岩性大致分为3层:第一层为新近系、第四系砂砾岩,深度约200 m;第二层为三叠系砂岩,深度约400 m;第三层为闪长玢岩岩体。其中在三叠系砂岩与岩体的接触带形成有两处黄铁矿化,对应深度大致在400~420 m、640~680 m。
地层网格与2.3小节的网格相同。LFPSO算法迭代50次,粒子数100个,搜索空间10~4 000 Ω·m;OCCAM反演参数与2.3小节相同。
最终反演结果如图9 所示。可以看出,OCCAM与LFPSO反演整体上均呈现出HK型曲线形态,浅部地层由于地层含水较多,两种反演均呈现低阻情况;随着深度的增加,OCCAM反演在深度200~600 m之间只有一个高阻的厚层的反映,在黄铁矿化处均无明显异常反映;而LFPSO反演结果呈现出与井中激电电阻率曲线基本吻合的情况,其中的两处黄铁矿化位置也均有异常反映,验证了LFPSO算法的有效性。
图9
图9
井旁测点实测数据反演结果
Fig.9
Inversion results of measured data at measuring points next to the drill
3 结论
1)LFPSO算法相较于标准PSO算法,收敛快,拟合好,在迭代后期可以更好地跳出局部最优解。
2)通过对MT理论地电模型的计算结果表明,LFPSO算法可以较好地反映出地下介质的电性关系,对初始模型无要求,只需一个大致的搜索空间即可。在实际数据处理中,具有一定的实用性。
3)LFPSO算法具有很强的鲁棒性,如何提升算法的效率以及准确度需要进一步分析研究。
4)MT二维正演目前仍然较为耗时,非线性算法在二维反演中相较于线性算法发展缓慢,但是随着二维正演效率的提高以及计算机算力和并行技术的改进与发展,二维、三维非线性算法将会是电磁法勘探反演的一个方向。
参考文献
View Option
[1]
李金铭 . 地电场与电法勘探 [M]. 北京 : 地质出版社 , 2007 .
[本文引用: 3]
Li J M . Geoelectric field and electrical exploration [M]. Beijing : Geology Press , 2007 .
[本文引用: 3]
[2]
冯思臣 . 一维大地电磁测深反演算法比较研究 [D]. 成都 : 成都理工大学 , 2007 .
[本文引用: 1]
Feng S C . A comparative study of one dimensional magnetotelluric sounding inversion algorithms [D]. Chengdu : Chengdu University of Technology , 2007 .
[本文引用: 1]
[3]
石昆法 . 可控源音频大地电磁法理论与应用 [M]. 北京 : 科学出版社 , 1999 .
[本文引用: 1]
Shi K F . Theory and application of controlled source audio magnetotelluric method [M]. Beijing : Science Press , 1999 .
[本文引用: 1]
[4]
汤井田 , 任政勇 , 化希瑞 . 地球物理学中的电磁场正演与反演
[J]. 地球物理学进展 , 2007 , 22 (4 ):1181 -1194 .
[本文引用: 1]
Tang J T , Ren Z Y , Hua X R . The forward modeling and inversion in geophysical electromagnetic field
[J]. Progress in Geophysics , 2007 , 22 (4 ):1181 -1194 .
[本文引用: 1]
[5]
王光杰 , 王勇 , 李帝铨 , 等 . 基于遗传算法CSAMT反演计算研究
[J]. 地球物理学进展 , 2016 , 21 (4 ):1285 -1289 .
[本文引用: 1]
Wang G J , Wang Y , Li D Q , et al . Research on inversion calculation of CSAMT based on genetic algorithm
[J]. Progress in Geophysics , 2016 , 21 (4 ):1285 -1289 .
[本文引用: 1]
[6]
孙彩堂 , 李玲 , 黄维宁 , 等 . 基于自适应遗传算法的CSAMT一维反演
[J]. 石油地球物理勘探 , 2017 , 52 (2 ):392 -397 .
[本文引用: 1]
Sun C T , Li L , Huang W N , et al . One-dimensional inversion of CSAMT based on adaptive genetic algorithm
[J]. Oil Geophysical Prospecting , 2017 , 52 (2 ):392 -397 .
[本文引用: 1]
[7]
蒋龙聪 , 刘江平 . 模拟退火算法及其改进
[J]. 工程地球物理学报 , 2007 , 4 (2 ):135 -140 .
[本文引用: 1]
Jiang L C , Liu J P . Revised simulated annealing algorithm
[J]. Chinese Journal of Engineering Geophysics , 2007 , 4 (2 ):135 -140 .
[本文引用: 1]
[8]
师学明 , 王家映 . 一维层状介质大地电磁模拟退火反演法
[J]. 地球科学 , 1998 , 7 (5 ):542 -545 .
[本文引用: 1]
Shi X M , Wang J Y . One dimensional magnetotelluric sounding inversion using simulated annealing
[J]. Earth Science , 1998 , 7 (5 ):542 -545 .
[本文引用: 1]
[9]
曾志文 , 陈晓 , 郭冬 , 等 . 双种群人工蜂群算法及其在MT和重力联合反演中的应用
[J]. 石油地球物理勘探 , 2021 , 56 (6 ):1400 -1408 .
[本文引用: 1]
Zeng Z W , Chen X , Guo D , et al . Dual-population artificial bee colony algorithm and its application in joint inversion of magnetotelluric and gravity data
[J]. Oil Geophysical Prospecting , 2021 , 56 (6 ):1400 -1408 .
[本文引用: 1]
[10]
谢卓良 , 王绪本 , 李德伟 , 等 . 基于混沌天牛群算法的大地电磁反演
[J]. 物探化探计算技术 , 2022 , 44 (1 ):41 -50 .
[本文引用: 1]
Xie Z L , Wang X B , Li D W , et al . Magnetotelluric inversion based on chaotic beetle swarm algorithm
[J]. Computing Techniques for Geophysical and Geochemical Exploration , 2022 , 44 (1 ):41 -50 .
[本文引用: 1]
[11]
徐正玉 , 付能翼 , 周洁 , 等 . 瞬变电磁法非线性优化反演算法对比
[J]. 吉林大学学报:地球科学版 , 2022 , 52 (3 ):744 -753 .
[本文引用: 1]
Xu Z Y , Fu N Y , Zhou J , et al . Comparison of nonlinear optimization and inversion algorithms of transient electromagnetic method
[J]. Journal of Jilin University:Earth Science Edition , 2022 , 52 (3 ):744 -753 .
[本文引用: 1]
[12]
王一鸣 , 宋先海 , 张学强 . 基于蚁狮优化算法的瑞雷波频散曲线反演
[J]. 地质科学通报 , 2022 , 42 (3 ):331 -337 .
[本文引用: 1]
Wang Y M , Song X H , Zhang X Q . Inversion of the dispersion curve of Rayleigh wave based on antlion optimizer algorithm
[J]. Bulletin of Geological Science and Technology , 2022 , 42 (3 ):331 -337 .
[本文引用: 1]
[13]
Kennedy J , Eberhart R . Particle swarm optimization
[C]// Piscataway : Proceeding of IEEE International Conference on Neural Networks ,IEEE CS, 1995 :1942 -1948 .
[本文引用: 2]
[14]
刘建华 . 粒子群算法的基本理论及其改进研究 [D]. 长沙 : 中南大学 , 2009 .
[本文引用: 3]
Liu J H . The research of basic theory analysis and imporvement on particle swarm optimization [D]. Changsha : Central South University , 2009 .
[本文引用: 3]
[15]
陈先洁 , 王绪本 , 李德伟 , 等 . 基于改进粒子群算法的大地电磁阻抗张量分解方法
[J]. 物探化探计算技术 , 2021 , 43 (5 ):620 -627 .
[本文引用: 1]
Chen X J , Wang X B , Li D W , et al . Tensor decomposition method of magnetotelluric impedance based on particle swarm optimization
[J]. Computing Techniques for Geophysical and Geochemical , 2021 , 43 (5 ):620 -627 .
[本文引用: 1]
[16]
Francesca P , Alessandro S , Alberto G . A review of geophysical modeling based on particle swarm optimization
[J]. Surveys in Geophysics , 2021 , 42 (3 ):505 -549 .
DOI:10.1007/s10712-021-09638-4
[本文引用: 1]
This paper reviews the application of the algorithm particle swarm optimization (PSO) to perform stochastic inverse modeling of geophysical data. The main features of PSO are summarized, and the most important contributions in several geophysical fields are analyzed. The aim is to indicate the fundamental steps of the evolution of PSO methodologies that have been adopted to model the Earth’s subsurface and then to undertake a critical evaluation of their benefits and limitations. Original works have been selected from the existing geophysical literature to illustrate successful PSO applied to the interpretation of electromagnetic (magnetotelluric and time-domain) data, gravimetric and magnetic data, self-potential, direct current and seismic data. These case studies are critically described and compared. In addition, joint optimization of multiple geophysical data sets by means of multi-objective PSO is presented to highlight the advantage of using a single solver that deploys Pareto optimality to handle different data sets without conflicting solutions. Finally, we propose best practices for the implementation of a customized algorithm from scratch to perform stochastic inverse modeling of any kind of geophysical data sets for the benefit of PSO practitioners or inexperienced researchers.
[17]
师学明 , 肖敏 , 范建柯 , 等 . 大地电磁阻尼粒子群优化反演法研究
[J]. 地球物理学报 , 2009 , 52 (4 ):1114 -1120 .
[本文引用: 1]
Shi X M , Xiao M , Fan J K , et al . The damped PSO algorithm and its application for magnetotelluric sounding data inversion
[J]. Chinese Journal of Geophysics , 2009 , 52 (4 ):1114 -1120 .
[本文引用: 1]
[18]
肖敏 . 二维大地电磁粒子群优化算法反演方法研究 [D]. 武汉 : 中国地质大学(武汉) , 2011 .
[本文引用: 1]
Xiao M . Research on inversion method of magnetotelluric damped particle swarm optimization [D]. Wuhan : China University of Geosciences(Wuhan) , 2011 .
[本文引用: 1]
[19]
韩家兴 , 吴施楷 , 田仁飞 , 等 . 基于粒子群优化算法的多元线性拟合方法研究及其应用
[J]. 物探化探计算技术 , 2016 , 38 (2 ):212 -218 .
[本文引用: 1]
Han J X , Wu S K , Tian R F , et al . The particle swarm optimization research and application based on multivariate linear fitting method
[J]. Computing Techniques for Geophysical and Geochemical Exploration , 2016 , 38 (2 ):212 -218 .
[本文引用: 1]
[20]
李明星 , 肖林通 , 张倚瑞 , 等 . 瞬变电磁粒子群优化反演研究
[J]. 煤炭技术 , 2014 , 33 (9 ):302 -304 .
[本文引用: 1]
Li M X , Xiao L T , Zhang Y R , et al . Research on particle swarm optimization inversion of transient electromagnetic method
[J]. Coal Technology , 2014 , 33 (9 ):302 -304 .
[本文引用: 1]
[21]
Kennedy J . The particle swarm:social adaptation of knowledge
[C]// Indianapolis : IEEE International Conference on Evolutionary Computation , 1997 .
[本文引用: 1]
[22]
Mantegna R N . Fast,accurate algorithm for numerical simulation of Lévy stable stochastic processes
[J]. Physical Review E , 1994 , 49 (5 ):4677 .
DOI:10.1103/PhysRevE.49.4677
URL
[本文引用: 1]
[23]
吴小平 , 徐果明 . 大地电磁数据的Occam反演改进
[J]. 地球物理学报 , 1998 , 41 (4 ):547 -554 .
[本文引用: 1]
Wu X P , Xu G M . Improvement of Occam’s inversion for MT data
[J]. Chinese Journal of Geophysics , 1998 , 41 (4 ):547 -554 .
[本文引用: 1]
[24]
吴小平 , 徐果明 , 卫山 , 等 . 利用新的MT视电阻率定义识别薄互层
[J]. 石油地球物理勘探 , 1998 , 33 (3 ):328 -335 .
[本文引用: 1]
Wu X P , Xu G M , Wei S , et al . Defining and identifying thin interbeds by using new MT apparent resistivity
[J]. Oil Geophysical Prospecting , 1998 , 33 (3 ):328 -335 .
[本文引用: 1]
[25]
梁生贤 , 吾守艾力·肉孜 , 廖国忠 , 等 . 大地电磁线性反演算法比较
[J]. 地球物理学进展 , 2014 , 29 (6 ):2702 -2707 .
[本文引用: 1]
Liang S X , Wu-shou-ai-li·R Z , Liao G Z , et al . Comparison and analysis of two-dimensional linear algorithm inversion for magnetoteluric
[J]. Progres in Geophysics , 2014 , 29 (6 ):2702 -2707 .
[本文引用: 1]
3
2007
... 大地电磁测深法(MT)作为一种深地地质构造研究的频率域电磁测深法,其数据反演方法的选择对结果有直接影响[1 ] .目前的一维MT反演可大致分为线性算法与非线性算法,线性算法主要有阻尼最小二乘法、广义逆矩阵法以及OCCAM法等,其核心思想最终都是将非线性的问题通过线性的方法来逼近[2 ⇓ -4 ] ,这些方法大都非常依赖初始模型,很容易陷入局部最优解.非线性算法对比线性算法而言,由于不依赖初始模型,无需求取偏导数,以及具有较强的搜索能力等优点,逐渐被应用在多种地球物理方法的数据反演中.目前应用于地球物理数据反演的非线性算法主要有遗传算法(GA)[5 -6 ] 、模拟退火算法(SA)[7 -8 ] 、蚁群算法(ACO)[9 ] 、粒子群算法(PSO)以及其他一些经过改良的非线性算法[10 ⇓ -12 ] . ...
... 正演是反演的基础,求解电磁场分布规律的方法主要有解析法与数值模拟法[1 ] ;解析法运算速度快,但是仅对较为简单的规则形体的地质模型有效,对于多层地电模型而言,有限差分法与有限元法是较为有效的正演方法. ...
... 本文中2层、3层模型正演采用数值解析法[1 ] .多层地电模型以及实测数据采用可变步长的一维有限元数值模拟法来进行数据正演.评价解(粒子)的优劣程度的适应度函数使用式(6) ...
3
2007
... 大地电磁测深法(MT)作为一种深地地质构造研究的频率域电磁测深法,其数据反演方法的选择对结果有直接影响[1 ] .目前的一维MT反演可大致分为线性算法与非线性算法,线性算法主要有阻尼最小二乘法、广义逆矩阵法以及OCCAM法等,其核心思想最终都是将非线性的问题通过线性的方法来逼近[2 ⇓ -4 ] ,这些方法大都非常依赖初始模型,很容易陷入局部最优解.非线性算法对比线性算法而言,由于不依赖初始模型,无需求取偏导数,以及具有较强的搜索能力等优点,逐渐被应用在多种地球物理方法的数据反演中.目前应用于地球物理数据反演的非线性算法主要有遗传算法(GA)[5 -6 ] 、模拟退火算法(SA)[7 -8 ] 、蚁群算法(ACO)[9 ] 、粒子群算法(PSO)以及其他一些经过改良的非线性算法[10 ⇓ -12 ] . ...
... 正演是反演的基础,求解电磁场分布规律的方法主要有解析法与数值模拟法[1 ] ;解析法运算速度快,但是仅对较为简单的规则形体的地质模型有效,对于多层地电模型而言,有限差分法与有限元法是较为有效的正演方法. ...
... 本文中2层、3层模型正演采用数值解析法[1 ] .多层地电模型以及实测数据采用可变步长的一维有限元数值模拟法来进行数据正演.评价解(粒子)的优劣程度的适应度函数使用式(6) ...
1
2007
... 大地电磁测深法(MT)作为一种深地地质构造研究的频率域电磁测深法,其数据反演方法的选择对结果有直接影响[1 ] .目前的一维MT反演可大致分为线性算法与非线性算法,线性算法主要有阻尼最小二乘法、广义逆矩阵法以及OCCAM法等,其核心思想最终都是将非线性的问题通过线性的方法来逼近[2 ⇓ -4 ] ,这些方法大都非常依赖初始模型,很容易陷入局部最优解.非线性算法对比线性算法而言,由于不依赖初始模型,无需求取偏导数,以及具有较强的搜索能力等优点,逐渐被应用在多种地球物理方法的数据反演中.目前应用于地球物理数据反演的非线性算法主要有遗传算法(GA)[5 -6 ] 、模拟退火算法(SA)[7 -8 ] 、蚁群算法(ACO)[9 ] 、粒子群算法(PSO)以及其他一些经过改良的非线性算法[10 ⇓ -12 ] . ...
1
2007
... 大地电磁测深法(MT)作为一种深地地质构造研究的频率域电磁测深法,其数据反演方法的选择对结果有直接影响[1 ] .目前的一维MT反演可大致分为线性算法与非线性算法,线性算法主要有阻尼最小二乘法、广义逆矩阵法以及OCCAM法等,其核心思想最终都是将非线性的问题通过线性的方法来逼近[2 ⇓ -4 ] ,这些方法大都非常依赖初始模型,很容易陷入局部最优解.非线性算法对比线性算法而言,由于不依赖初始模型,无需求取偏导数,以及具有较强的搜索能力等优点,逐渐被应用在多种地球物理方法的数据反演中.目前应用于地球物理数据反演的非线性算法主要有遗传算法(GA)[5 -6 ] 、模拟退火算法(SA)[7 -8 ] 、蚁群算法(ACO)[9 ] 、粒子群算法(PSO)以及其他一些经过改良的非线性算法[10 ⇓ -12 ] . ...
1
1999
... 大地电磁测深法(MT)作为一种深地地质构造研究的频率域电磁测深法,其数据反演方法的选择对结果有直接影响[1 ] .目前的一维MT反演可大致分为线性算法与非线性算法,线性算法主要有阻尼最小二乘法、广义逆矩阵法以及OCCAM法等,其核心思想最终都是将非线性的问题通过线性的方法来逼近[2 ⇓ -4 ] ,这些方法大都非常依赖初始模型,很容易陷入局部最优解.非线性算法对比线性算法而言,由于不依赖初始模型,无需求取偏导数,以及具有较强的搜索能力等优点,逐渐被应用在多种地球物理方法的数据反演中.目前应用于地球物理数据反演的非线性算法主要有遗传算法(GA)[5 -6 ] 、模拟退火算法(SA)[7 -8 ] 、蚁群算法(ACO)[9 ] 、粒子群算法(PSO)以及其他一些经过改良的非线性算法[10 ⇓ -12 ] . ...
1
1999
... 大地电磁测深法(MT)作为一种深地地质构造研究的频率域电磁测深法,其数据反演方法的选择对结果有直接影响[1 ] .目前的一维MT反演可大致分为线性算法与非线性算法,线性算法主要有阻尼最小二乘法、广义逆矩阵法以及OCCAM法等,其核心思想最终都是将非线性的问题通过线性的方法来逼近[2 ⇓ -4 ] ,这些方法大都非常依赖初始模型,很容易陷入局部最优解.非线性算法对比线性算法而言,由于不依赖初始模型,无需求取偏导数,以及具有较强的搜索能力等优点,逐渐被应用在多种地球物理方法的数据反演中.目前应用于地球物理数据反演的非线性算法主要有遗传算法(GA)[5 -6 ] 、模拟退火算法(SA)[7 -8 ] 、蚁群算法(ACO)[9 ] 、粒子群算法(PSO)以及其他一些经过改良的非线性算法[10 ⇓ -12 ] . ...
地球物理学中的电磁场正演与反演
1
2007
... 大地电磁测深法(MT)作为一种深地地质构造研究的频率域电磁测深法,其数据反演方法的选择对结果有直接影响[1 ] .目前的一维MT反演可大致分为线性算法与非线性算法,线性算法主要有阻尼最小二乘法、广义逆矩阵法以及OCCAM法等,其核心思想最终都是将非线性的问题通过线性的方法来逼近[2 ⇓ -4 ] ,这些方法大都非常依赖初始模型,很容易陷入局部最优解.非线性算法对比线性算法而言,由于不依赖初始模型,无需求取偏导数,以及具有较强的搜索能力等优点,逐渐被应用在多种地球物理方法的数据反演中.目前应用于地球物理数据反演的非线性算法主要有遗传算法(GA)[5 -6 ] 、模拟退火算法(SA)[7 -8 ] 、蚁群算法(ACO)[9 ] 、粒子群算法(PSO)以及其他一些经过改良的非线性算法[10 ⇓ -12 ] . ...
地球物理学中的电磁场正演与反演
1
2007
... 大地电磁测深法(MT)作为一种深地地质构造研究的频率域电磁测深法,其数据反演方法的选择对结果有直接影响[1 ] .目前的一维MT反演可大致分为线性算法与非线性算法,线性算法主要有阻尼最小二乘法、广义逆矩阵法以及OCCAM法等,其核心思想最终都是将非线性的问题通过线性的方法来逼近[2 ⇓ -4 ] ,这些方法大都非常依赖初始模型,很容易陷入局部最优解.非线性算法对比线性算法而言,由于不依赖初始模型,无需求取偏导数,以及具有较强的搜索能力等优点,逐渐被应用在多种地球物理方法的数据反演中.目前应用于地球物理数据反演的非线性算法主要有遗传算法(GA)[5 -6 ] 、模拟退火算法(SA)[7 -8 ] 、蚁群算法(ACO)[9 ] 、粒子群算法(PSO)以及其他一些经过改良的非线性算法[10 ⇓ -12 ] . ...
基于遗传算法CSAMT反演计算研究
1
2016
... 大地电磁测深法(MT)作为一种深地地质构造研究的频率域电磁测深法,其数据反演方法的选择对结果有直接影响[1 ] .目前的一维MT反演可大致分为线性算法与非线性算法,线性算法主要有阻尼最小二乘法、广义逆矩阵法以及OCCAM法等,其核心思想最终都是将非线性的问题通过线性的方法来逼近[2 ⇓ -4 ] ,这些方法大都非常依赖初始模型,很容易陷入局部最优解.非线性算法对比线性算法而言,由于不依赖初始模型,无需求取偏导数,以及具有较强的搜索能力等优点,逐渐被应用在多种地球物理方法的数据反演中.目前应用于地球物理数据反演的非线性算法主要有遗传算法(GA)[5 -6 ] 、模拟退火算法(SA)[7 -8 ] 、蚁群算法(ACO)[9 ] 、粒子群算法(PSO)以及其他一些经过改良的非线性算法[10 ⇓ -12 ] . ...
基于遗传算法CSAMT反演计算研究
1
2016
... 大地电磁测深法(MT)作为一种深地地质构造研究的频率域电磁测深法,其数据反演方法的选择对结果有直接影响[1 ] .目前的一维MT反演可大致分为线性算法与非线性算法,线性算法主要有阻尼最小二乘法、广义逆矩阵法以及OCCAM法等,其核心思想最终都是将非线性的问题通过线性的方法来逼近[2 ⇓ -4 ] ,这些方法大都非常依赖初始模型,很容易陷入局部最优解.非线性算法对比线性算法而言,由于不依赖初始模型,无需求取偏导数,以及具有较强的搜索能力等优点,逐渐被应用在多种地球物理方法的数据反演中.目前应用于地球物理数据反演的非线性算法主要有遗传算法(GA)[5 -6 ] 、模拟退火算法(SA)[7 -8 ] 、蚁群算法(ACO)[9 ] 、粒子群算法(PSO)以及其他一些经过改良的非线性算法[10 ⇓ -12 ] . ...
基于自适应遗传算法的CSAMT一维反演
1
2017
... 大地电磁测深法(MT)作为一种深地地质构造研究的频率域电磁测深法,其数据反演方法的选择对结果有直接影响[1 ] .目前的一维MT反演可大致分为线性算法与非线性算法,线性算法主要有阻尼最小二乘法、广义逆矩阵法以及OCCAM法等,其核心思想最终都是将非线性的问题通过线性的方法来逼近[2 ⇓ -4 ] ,这些方法大都非常依赖初始模型,很容易陷入局部最优解.非线性算法对比线性算法而言,由于不依赖初始模型,无需求取偏导数,以及具有较强的搜索能力等优点,逐渐被应用在多种地球物理方法的数据反演中.目前应用于地球物理数据反演的非线性算法主要有遗传算法(GA)[5 -6 ] 、模拟退火算法(SA)[7 -8 ] 、蚁群算法(ACO)[9 ] 、粒子群算法(PSO)以及其他一些经过改良的非线性算法[10 ⇓ -12 ] . ...
基于自适应遗传算法的CSAMT一维反演
1
2017
... 大地电磁测深法(MT)作为一种深地地质构造研究的频率域电磁测深法,其数据反演方法的选择对结果有直接影响[1 ] .目前的一维MT反演可大致分为线性算法与非线性算法,线性算法主要有阻尼最小二乘法、广义逆矩阵法以及OCCAM法等,其核心思想最终都是将非线性的问题通过线性的方法来逼近[2 ⇓ -4 ] ,这些方法大都非常依赖初始模型,很容易陷入局部最优解.非线性算法对比线性算法而言,由于不依赖初始模型,无需求取偏导数,以及具有较强的搜索能力等优点,逐渐被应用在多种地球物理方法的数据反演中.目前应用于地球物理数据反演的非线性算法主要有遗传算法(GA)[5 -6 ] 、模拟退火算法(SA)[7 -8 ] 、蚁群算法(ACO)[9 ] 、粒子群算法(PSO)以及其他一些经过改良的非线性算法[10 ⇓ -12 ] . ...
模拟退火算法及其改进
1
2007
... 大地电磁测深法(MT)作为一种深地地质构造研究的频率域电磁测深法,其数据反演方法的选择对结果有直接影响[1 ] .目前的一维MT反演可大致分为线性算法与非线性算法,线性算法主要有阻尼最小二乘法、广义逆矩阵法以及OCCAM法等,其核心思想最终都是将非线性的问题通过线性的方法来逼近[2 ⇓ -4 ] ,这些方法大都非常依赖初始模型,很容易陷入局部最优解.非线性算法对比线性算法而言,由于不依赖初始模型,无需求取偏导数,以及具有较强的搜索能力等优点,逐渐被应用在多种地球物理方法的数据反演中.目前应用于地球物理数据反演的非线性算法主要有遗传算法(GA)[5 -6 ] 、模拟退火算法(SA)[7 -8 ] 、蚁群算法(ACO)[9 ] 、粒子群算法(PSO)以及其他一些经过改良的非线性算法[10 ⇓ -12 ] . ...
模拟退火算法及其改进
1
2007
... 大地电磁测深法(MT)作为一种深地地质构造研究的频率域电磁测深法,其数据反演方法的选择对结果有直接影响[1 ] .目前的一维MT反演可大致分为线性算法与非线性算法,线性算法主要有阻尼最小二乘法、广义逆矩阵法以及OCCAM法等,其核心思想最终都是将非线性的问题通过线性的方法来逼近[2 ⇓ -4 ] ,这些方法大都非常依赖初始模型,很容易陷入局部最优解.非线性算法对比线性算法而言,由于不依赖初始模型,无需求取偏导数,以及具有较强的搜索能力等优点,逐渐被应用在多种地球物理方法的数据反演中.目前应用于地球物理数据反演的非线性算法主要有遗传算法(GA)[5 -6 ] 、模拟退火算法(SA)[7 -8 ] 、蚁群算法(ACO)[9 ] 、粒子群算法(PSO)以及其他一些经过改良的非线性算法[10 ⇓ -12 ] . ...
一维层状介质大地电磁模拟退火反演法
1
1998
... 大地电磁测深法(MT)作为一种深地地质构造研究的频率域电磁测深法,其数据反演方法的选择对结果有直接影响[1 ] .目前的一维MT反演可大致分为线性算法与非线性算法,线性算法主要有阻尼最小二乘法、广义逆矩阵法以及OCCAM法等,其核心思想最终都是将非线性的问题通过线性的方法来逼近[2 ⇓ -4 ] ,这些方法大都非常依赖初始模型,很容易陷入局部最优解.非线性算法对比线性算法而言,由于不依赖初始模型,无需求取偏导数,以及具有较强的搜索能力等优点,逐渐被应用在多种地球物理方法的数据反演中.目前应用于地球物理数据反演的非线性算法主要有遗传算法(GA)[5 -6 ] 、模拟退火算法(SA)[7 -8 ] 、蚁群算法(ACO)[9 ] 、粒子群算法(PSO)以及其他一些经过改良的非线性算法[10 ⇓ -12 ] . ...
一维层状介质大地电磁模拟退火反演法
1
1998
... 大地电磁测深法(MT)作为一种深地地质构造研究的频率域电磁测深法,其数据反演方法的选择对结果有直接影响[1 ] .目前的一维MT反演可大致分为线性算法与非线性算法,线性算法主要有阻尼最小二乘法、广义逆矩阵法以及OCCAM法等,其核心思想最终都是将非线性的问题通过线性的方法来逼近[2 ⇓ -4 ] ,这些方法大都非常依赖初始模型,很容易陷入局部最优解.非线性算法对比线性算法而言,由于不依赖初始模型,无需求取偏导数,以及具有较强的搜索能力等优点,逐渐被应用在多种地球物理方法的数据反演中.目前应用于地球物理数据反演的非线性算法主要有遗传算法(GA)[5 -6 ] 、模拟退火算法(SA)[7 -8 ] 、蚁群算法(ACO)[9 ] 、粒子群算法(PSO)以及其他一些经过改良的非线性算法[10 ⇓ -12 ] . ...
双种群人工蜂群算法及其在MT和重力联合反演中的应用
1
2021
... 大地电磁测深法(MT)作为一种深地地质构造研究的频率域电磁测深法,其数据反演方法的选择对结果有直接影响[1 ] .目前的一维MT反演可大致分为线性算法与非线性算法,线性算法主要有阻尼最小二乘法、广义逆矩阵法以及OCCAM法等,其核心思想最终都是将非线性的问题通过线性的方法来逼近[2 ⇓ -4 ] ,这些方法大都非常依赖初始模型,很容易陷入局部最优解.非线性算法对比线性算法而言,由于不依赖初始模型,无需求取偏导数,以及具有较强的搜索能力等优点,逐渐被应用在多种地球物理方法的数据反演中.目前应用于地球物理数据反演的非线性算法主要有遗传算法(GA)[5 -6 ] 、模拟退火算法(SA)[7 -8 ] 、蚁群算法(ACO)[9 ] 、粒子群算法(PSO)以及其他一些经过改良的非线性算法[10 ⇓ -12 ] . ...
双种群人工蜂群算法及其在MT和重力联合反演中的应用
1
2021
... 大地电磁测深法(MT)作为一种深地地质构造研究的频率域电磁测深法,其数据反演方法的选择对结果有直接影响[1 ] .目前的一维MT反演可大致分为线性算法与非线性算法,线性算法主要有阻尼最小二乘法、广义逆矩阵法以及OCCAM法等,其核心思想最终都是将非线性的问题通过线性的方法来逼近[2 ⇓ -4 ] ,这些方法大都非常依赖初始模型,很容易陷入局部最优解.非线性算法对比线性算法而言,由于不依赖初始模型,无需求取偏导数,以及具有较强的搜索能力等优点,逐渐被应用在多种地球物理方法的数据反演中.目前应用于地球物理数据反演的非线性算法主要有遗传算法(GA)[5 -6 ] 、模拟退火算法(SA)[7 -8 ] 、蚁群算法(ACO)[9 ] 、粒子群算法(PSO)以及其他一些经过改良的非线性算法[10 ⇓ -12 ] . ...
基于混沌天牛群算法的大地电磁反演
1
2022
... 大地电磁测深法(MT)作为一种深地地质构造研究的频率域电磁测深法,其数据反演方法的选择对结果有直接影响[1 ] .目前的一维MT反演可大致分为线性算法与非线性算法,线性算法主要有阻尼最小二乘法、广义逆矩阵法以及OCCAM法等,其核心思想最终都是将非线性的问题通过线性的方法来逼近[2 ⇓ -4 ] ,这些方法大都非常依赖初始模型,很容易陷入局部最优解.非线性算法对比线性算法而言,由于不依赖初始模型,无需求取偏导数,以及具有较强的搜索能力等优点,逐渐被应用在多种地球物理方法的数据反演中.目前应用于地球物理数据反演的非线性算法主要有遗传算法(GA)[5 -6 ] 、模拟退火算法(SA)[7 -8 ] 、蚁群算法(ACO)[9 ] 、粒子群算法(PSO)以及其他一些经过改良的非线性算法[10 ⇓ -12 ] . ...
基于混沌天牛群算法的大地电磁反演
1
2022
... 大地电磁测深法(MT)作为一种深地地质构造研究的频率域电磁测深法,其数据反演方法的选择对结果有直接影响[1 ] .目前的一维MT反演可大致分为线性算法与非线性算法,线性算法主要有阻尼最小二乘法、广义逆矩阵法以及OCCAM法等,其核心思想最终都是将非线性的问题通过线性的方法来逼近[2 ⇓ -4 ] ,这些方法大都非常依赖初始模型,很容易陷入局部最优解.非线性算法对比线性算法而言,由于不依赖初始模型,无需求取偏导数,以及具有较强的搜索能力等优点,逐渐被应用在多种地球物理方法的数据反演中.目前应用于地球物理数据反演的非线性算法主要有遗传算法(GA)[5 -6 ] 、模拟退火算法(SA)[7 -8 ] 、蚁群算法(ACO)[9 ] 、粒子群算法(PSO)以及其他一些经过改良的非线性算法[10 ⇓ -12 ] . ...
瞬变电磁法非线性优化反演算法对比
1
2022
... 大地电磁测深法(MT)作为一种深地地质构造研究的频率域电磁测深法,其数据反演方法的选择对结果有直接影响[1 ] .目前的一维MT反演可大致分为线性算法与非线性算法,线性算法主要有阻尼最小二乘法、广义逆矩阵法以及OCCAM法等,其核心思想最终都是将非线性的问题通过线性的方法来逼近[2 ⇓ -4 ] ,这些方法大都非常依赖初始模型,很容易陷入局部最优解.非线性算法对比线性算法而言,由于不依赖初始模型,无需求取偏导数,以及具有较强的搜索能力等优点,逐渐被应用在多种地球物理方法的数据反演中.目前应用于地球物理数据反演的非线性算法主要有遗传算法(GA)[5 -6 ] 、模拟退火算法(SA)[7 -8 ] 、蚁群算法(ACO)[9 ] 、粒子群算法(PSO)以及其他一些经过改良的非线性算法[10 ⇓ -12 ] . ...
瞬变电磁法非线性优化反演算法对比
1
2022
... 大地电磁测深法(MT)作为一种深地地质构造研究的频率域电磁测深法,其数据反演方法的选择对结果有直接影响[1 ] .目前的一维MT反演可大致分为线性算法与非线性算法,线性算法主要有阻尼最小二乘法、广义逆矩阵法以及OCCAM法等,其核心思想最终都是将非线性的问题通过线性的方法来逼近[2 ⇓ -4 ] ,这些方法大都非常依赖初始模型,很容易陷入局部最优解.非线性算法对比线性算法而言,由于不依赖初始模型,无需求取偏导数,以及具有较强的搜索能力等优点,逐渐被应用在多种地球物理方法的数据反演中.目前应用于地球物理数据反演的非线性算法主要有遗传算法(GA)[5 -6 ] 、模拟退火算法(SA)[7 -8 ] 、蚁群算法(ACO)[9 ] 、粒子群算法(PSO)以及其他一些经过改良的非线性算法[10 ⇓ -12 ] . ...
基于蚁狮优化算法的瑞雷波频散曲线反演
1
2022
... 大地电磁测深法(MT)作为一种深地地质构造研究的频率域电磁测深法,其数据反演方法的选择对结果有直接影响[1 ] .目前的一维MT反演可大致分为线性算法与非线性算法,线性算法主要有阻尼最小二乘法、广义逆矩阵法以及OCCAM法等,其核心思想最终都是将非线性的问题通过线性的方法来逼近[2 ⇓ -4 ] ,这些方法大都非常依赖初始模型,很容易陷入局部最优解.非线性算法对比线性算法而言,由于不依赖初始模型,无需求取偏导数,以及具有较强的搜索能力等优点,逐渐被应用在多种地球物理方法的数据反演中.目前应用于地球物理数据反演的非线性算法主要有遗传算法(GA)[5 -6 ] 、模拟退火算法(SA)[7 -8 ] 、蚁群算法(ACO)[9 ] 、粒子群算法(PSO)以及其他一些经过改良的非线性算法[10 ⇓ -12 ] . ...
基于蚁狮优化算法的瑞雷波频散曲线反演
1
2022
... 大地电磁测深法(MT)作为一种深地地质构造研究的频率域电磁测深法,其数据反演方法的选择对结果有直接影响[1 ] .目前的一维MT反演可大致分为线性算法与非线性算法,线性算法主要有阻尼最小二乘法、广义逆矩阵法以及OCCAM法等,其核心思想最终都是将非线性的问题通过线性的方法来逼近[2 ⇓ -4 ] ,这些方法大都非常依赖初始模型,很容易陷入局部最优解.非线性算法对比线性算法而言,由于不依赖初始模型,无需求取偏导数,以及具有较强的搜索能力等优点,逐渐被应用在多种地球物理方法的数据反演中.目前应用于地球物理数据反演的非线性算法主要有遗传算法(GA)[5 -6 ] 、模拟退火算法(SA)[7 -8 ] 、蚁群算法(ACO)[9 ] 、粒子群算法(PSO)以及其他一些经过改良的非线性算法[10 ⇓ -12 ] . ...
Particle swarm optimization
2
1995
... 粒子群算法最早是由Kennedy以及Eherhart于1995年提出[13 ] ,该算法源于鸟群的群体觅食行为,鸟群的栖息地可以看作是待求问题的可能解的位置,通过鸟群中个体的信息传递,指引整个鸟群向着最优解移动.PSO算法是基于迭代的随机优化算法,该算法初始化时生成一组随机解,通过迭代搜索最优解.粒子群算法不同于其他进化算法,不是采用群体解的竞争机制来迭代产生最优解,而是通过群体解的合作机制来迭代产生最优解[14 ] .粒子群算法的机制容易实现、概念简单、参数少,并且隐含并行性.因此粒子群算法在求解多维非线性问题上有很好的前景[15 ] .国内外学者对PSO算法进行了一系列的研究与优化,Francesca等[16 ] 总结了PSO算法在电磁法勘探、重磁勘探、直流电法勘探以及地震勘探等各种地球物理方法中的应用;师学明等[17 ] 、肖敏[18 ] 提出一种新的惯性权重ω 参数振荡递减策略,并将其应用于一维和简单的二维大地电磁测深反演中;韩家兴等[19 ] 通过将PSO算法应用于测井中,有效提高了密度测井的质量;李明星等[20 ] 将PSO算法应用于瞬变电磁反演计算中.本文通过对PSO算法在多维问题中容易早熟的缺点进行改进,提出了一种改进的PSO算法(LFPSO),通过结合Lévy飞行,更有机会跳出局部最优解.通过模型试验表明:LFPSO相较于标准PSO算法适应度值下降速度更快、寻优能力更好;相较于OCCAM反演,LFPSO反演效率更高;并在实际数据处理中取得了较好的结果. ...
... PSO算法的数学描述如下[13 ,21 ] :由SN 个粒子组成的群体在D 维的搜索空间中以一定的速度飞行,每个粒子初始速度vi =(v 1 ,v 2 ,…,vD ),初始位置xi =(x 1 ,x 2 ,…,xD ).在搜索时,粒子群体记录每一个粒子到过的历史最优位置pbest =[pbest 1 ,pbest 2 ,…,pbestSN ],同时记录整个群体所有到过的最优位置gbest =[gbest 1 ,gbest 2 ,…,gbestSN ],在此基础上寻找最优解.对每一个粒子,其第d 维根据式(1)进行变化: ...
3
2009
... 粒子群算法最早是由Kennedy以及Eherhart于1995年提出[13 ] ,该算法源于鸟群的群体觅食行为,鸟群的栖息地可以看作是待求问题的可能解的位置,通过鸟群中个体的信息传递,指引整个鸟群向着最优解移动.PSO算法是基于迭代的随机优化算法,该算法初始化时生成一组随机解,通过迭代搜索最优解.粒子群算法不同于其他进化算法,不是采用群体解的竞争机制来迭代产生最优解,而是通过群体解的合作机制来迭代产生最优解[14 ] .粒子群算法的机制容易实现、概念简单、参数少,并且隐含并行性.因此粒子群算法在求解多维非线性问题上有很好的前景[15 ] .国内外学者对PSO算法进行了一系列的研究与优化,Francesca等[16 ] 总结了PSO算法在电磁法勘探、重磁勘探、直流电法勘探以及地震勘探等各种地球物理方法中的应用;师学明等[17 ] 、肖敏[18 ] 提出一种新的惯性权重ω 参数振荡递减策略,并将其应用于一维和简单的二维大地电磁测深反演中;韩家兴等[19 ] 通过将PSO算法应用于测井中,有效提高了密度测井的质量;李明星等[20 ] 将PSO算法应用于瞬变电磁反演计算中.本文通过对PSO算法在多维问题中容易早熟的缺点进行改进,提出了一种改进的PSO算法(LFPSO),通过结合Lévy飞行,更有机会跳出局部最优解.通过模型试验表明:LFPSO相较于标准PSO算法适应度值下降速度更快、寻优能力更好;相较于OCCAM反演,LFPSO反演效率更高;并在实际数据处理中取得了较好的结果. ...
... 随着迭代次数的增加,ω 线性减小,从而使得粒子群算法在初期具有较强的全局收敛能力,而在后期拥有较强的局部搜索能力[14 ] . ...
... 标准的粒子群算法在处理多维非线性问题时,仍然存在早熟情况,随着迭代次数的增加,各个粒子会变得越来越相似,最终可能进入局部最优解.避免早熟问题,目前主要通过以下3种方法[14 ] :①修改惯性权重参数的值;②增加种群多样性;③结合其他一些进化算法提高算法的性能. ...
3
2009
... 粒子群算法最早是由Kennedy以及Eherhart于1995年提出[13 ] ,该算法源于鸟群的群体觅食行为,鸟群的栖息地可以看作是待求问题的可能解的位置,通过鸟群中个体的信息传递,指引整个鸟群向着最优解移动.PSO算法是基于迭代的随机优化算法,该算法初始化时生成一组随机解,通过迭代搜索最优解.粒子群算法不同于其他进化算法,不是采用群体解的竞争机制来迭代产生最优解,而是通过群体解的合作机制来迭代产生最优解[14 ] .粒子群算法的机制容易实现、概念简单、参数少,并且隐含并行性.因此粒子群算法在求解多维非线性问题上有很好的前景[15 ] .国内外学者对PSO算法进行了一系列的研究与优化,Francesca等[16 ] 总结了PSO算法在电磁法勘探、重磁勘探、直流电法勘探以及地震勘探等各种地球物理方法中的应用;师学明等[17 ] 、肖敏[18 ] 提出一种新的惯性权重ω 参数振荡递减策略,并将其应用于一维和简单的二维大地电磁测深反演中;韩家兴等[19 ] 通过将PSO算法应用于测井中,有效提高了密度测井的质量;李明星等[20 ] 将PSO算法应用于瞬变电磁反演计算中.本文通过对PSO算法在多维问题中容易早熟的缺点进行改进,提出了一种改进的PSO算法(LFPSO),通过结合Lévy飞行,更有机会跳出局部最优解.通过模型试验表明:LFPSO相较于标准PSO算法适应度值下降速度更快、寻优能力更好;相较于OCCAM反演,LFPSO反演效率更高;并在实际数据处理中取得了较好的结果. ...
... 随着迭代次数的增加,ω 线性减小,从而使得粒子群算法在初期具有较强的全局收敛能力,而在后期拥有较强的局部搜索能力[14 ] . ...
... 标准的粒子群算法在处理多维非线性问题时,仍然存在早熟情况,随着迭代次数的增加,各个粒子会变得越来越相似,最终可能进入局部最优解.避免早熟问题,目前主要通过以下3种方法[14 ] :①修改惯性权重参数的值;②增加种群多样性;③结合其他一些进化算法提高算法的性能. ...
基于改进粒子群算法的大地电磁阻抗张量分解方法
1
2021
... 粒子群算法最早是由Kennedy以及Eherhart于1995年提出[13 ] ,该算法源于鸟群的群体觅食行为,鸟群的栖息地可以看作是待求问题的可能解的位置,通过鸟群中个体的信息传递,指引整个鸟群向着最优解移动.PSO算法是基于迭代的随机优化算法,该算法初始化时生成一组随机解,通过迭代搜索最优解.粒子群算法不同于其他进化算法,不是采用群体解的竞争机制来迭代产生最优解,而是通过群体解的合作机制来迭代产生最优解[14 ] .粒子群算法的机制容易实现、概念简单、参数少,并且隐含并行性.因此粒子群算法在求解多维非线性问题上有很好的前景[15 ] .国内外学者对PSO算法进行了一系列的研究与优化,Francesca等[16 ] 总结了PSO算法在电磁法勘探、重磁勘探、直流电法勘探以及地震勘探等各种地球物理方法中的应用;师学明等[17 ] 、肖敏[18 ] 提出一种新的惯性权重ω 参数振荡递减策略,并将其应用于一维和简单的二维大地电磁测深反演中;韩家兴等[19 ] 通过将PSO算法应用于测井中,有效提高了密度测井的质量;李明星等[20 ] 将PSO算法应用于瞬变电磁反演计算中.本文通过对PSO算法在多维问题中容易早熟的缺点进行改进,提出了一种改进的PSO算法(LFPSO),通过结合Lévy飞行,更有机会跳出局部最优解.通过模型试验表明:LFPSO相较于标准PSO算法适应度值下降速度更快、寻优能力更好;相较于OCCAM反演,LFPSO反演效率更高;并在实际数据处理中取得了较好的结果. ...
基于改进粒子群算法的大地电磁阻抗张量分解方法
1
2021
... 粒子群算法最早是由Kennedy以及Eherhart于1995年提出[13 ] ,该算法源于鸟群的群体觅食行为,鸟群的栖息地可以看作是待求问题的可能解的位置,通过鸟群中个体的信息传递,指引整个鸟群向着最优解移动.PSO算法是基于迭代的随机优化算法,该算法初始化时生成一组随机解,通过迭代搜索最优解.粒子群算法不同于其他进化算法,不是采用群体解的竞争机制来迭代产生最优解,而是通过群体解的合作机制来迭代产生最优解[14 ] .粒子群算法的机制容易实现、概念简单、参数少,并且隐含并行性.因此粒子群算法在求解多维非线性问题上有很好的前景[15 ] .国内外学者对PSO算法进行了一系列的研究与优化,Francesca等[16 ] 总结了PSO算法在电磁法勘探、重磁勘探、直流电法勘探以及地震勘探等各种地球物理方法中的应用;师学明等[17 ] 、肖敏[18 ] 提出一种新的惯性权重ω 参数振荡递减策略,并将其应用于一维和简单的二维大地电磁测深反演中;韩家兴等[19 ] 通过将PSO算法应用于测井中,有效提高了密度测井的质量;李明星等[20 ] 将PSO算法应用于瞬变电磁反演计算中.本文通过对PSO算法在多维问题中容易早熟的缺点进行改进,提出了一种改进的PSO算法(LFPSO),通过结合Lévy飞行,更有机会跳出局部最优解.通过模型试验表明:LFPSO相较于标准PSO算法适应度值下降速度更快、寻优能力更好;相较于OCCAM反演,LFPSO反演效率更高;并在实际数据处理中取得了较好的结果. ...
A review of geophysical modeling based on particle swarm optimization
1
2021
... 粒子群算法最早是由Kennedy以及Eherhart于1995年提出[13 ] ,该算法源于鸟群的群体觅食行为,鸟群的栖息地可以看作是待求问题的可能解的位置,通过鸟群中个体的信息传递,指引整个鸟群向着最优解移动.PSO算法是基于迭代的随机优化算法,该算法初始化时生成一组随机解,通过迭代搜索最优解.粒子群算法不同于其他进化算法,不是采用群体解的竞争机制来迭代产生最优解,而是通过群体解的合作机制来迭代产生最优解[14 ] .粒子群算法的机制容易实现、概念简单、参数少,并且隐含并行性.因此粒子群算法在求解多维非线性问题上有很好的前景[15 ] .国内外学者对PSO算法进行了一系列的研究与优化,Francesca等[16 ] 总结了PSO算法在电磁法勘探、重磁勘探、直流电法勘探以及地震勘探等各种地球物理方法中的应用;师学明等[17 ] 、肖敏[18 ] 提出一种新的惯性权重ω 参数振荡递减策略,并将其应用于一维和简单的二维大地电磁测深反演中;韩家兴等[19 ] 通过将PSO算法应用于测井中,有效提高了密度测井的质量;李明星等[20 ] 将PSO算法应用于瞬变电磁反演计算中.本文通过对PSO算法在多维问题中容易早熟的缺点进行改进,提出了一种改进的PSO算法(LFPSO),通过结合Lévy飞行,更有机会跳出局部最优解.通过模型试验表明:LFPSO相较于标准PSO算法适应度值下降速度更快、寻优能力更好;相较于OCCAM反演,LFPSO反演效率更高;并在实际数据处理中取得了较好的结果. ...
大地电磁阻尼粒子群优化反演法研究
1
2009
... 粒子群算法最早是由Kennedy以及Eherhart于1995年提出[13 ] ,该算法源于鸟群的群体觅食行为,鸟群的栖息地可以看作是待求问题的可能解的位置,通过鸟群中个体的信息传递,指引整个鸟群向着最优解移动.PSO算法是基于迭代的随机优化算法,该算法初始化时生成一组随机解,通过迭代搜索最优解.粒子群算法不同于其他进化算法,不是采用群体解的竞争机制来迭代产生最优解,而是通过群体解的合作机制来迭代产生最优解[14 ] .粒子群算法的机制容易实现、概念简单、参数少,并且隐含并行性.因此粒子群算法在求解多维非线性问题上有很好的前景[15 ] .国内外学者对PSO算法进行了一系列的研究与优化,Francesca等[16 ] 总结了PSO算法在电磁法勘探、重磁勘探、直流电法勘探以及地震勘探等各种地球物理方法中的应用;师学明等[17 ] 、肖敏[18 ] 提出一种新的惯性权重ω 参数振荡递减策略,并将其应用于一维和简单的二维大地电磁测深反演中;韩家兴等[19 ] 通过将PSO算法应用于测井中,有效提高了密度测井的质量;李明星等[20 ] 将PSO算法应用于瞬变电磁反演计算中.本文通过对PSO算法在多维问题中容易早熟的缺点进行改进,提出了一种改进的PSO算法(LFPSO),通过结合Lévy飞行,更有机会跳出局部最优解.通过模型试验表明:LFPSO相较于标准PSO算法适应度值下降速度更快、寻优能力更好;相较于OCCAM反演,LFPSO反演效率更高;并在实际数据处理中取得了较好的结果. ...
大地电磁阻尼粒子群优化反演法研究
1
2009
... 粒子群算法最早是由Kennedy以及Eherhart于1995年提出[13 ] ,该算法源于鸟群的群体觅食行为,鸟群的栖息地可以看作是待求问题的可能解的位置,通过鸟群中个体的信息传递,指引整个鸟群向着最优解移动.PSO算法是基于迭代的随机优化算法,该算法初始化时生成一组随机解,通过迭代搜索最优解.粒子群算法不同于其他进化算法,不是采用群体解的竞争机制来迭代产生最优解,而是通过群体解的合作机制来迭代产生最优解[14 ] .粒子群算法的机制容易实现、概念简单、参数少,并且隐含并行性.因此粒子群算法在求解多维非线性问题上有很好的前景[15 ] .国内外学者对PSO算法进行了一系列的研究与优化,Francesca等[16 ] 总结了PSO算法在电磁法勘探、重磁勘探、直流电法勘探以及地震勘探等各种地球物理方法中的应用;师学明等[17 ] 、肖敏[18 ] 提出一种新的惯性权重ω 参数振荡递减策略,并将其应用于一维和简单的二维大地电磁测深反演中;韩家兴等[19 ] 通过将PSO算法应用于测井中,有效提高了密度测井的质量;李明星等[20 ] 将PSO算法应用于瞬变电磁反演计算中.本文通过对PSO算法在多维问题中容易早熟的缺点进行改进,提出了一种改进的PSO算法(LFPSO),通过结合Lévy飞行,更有机会跳出局部最优解.通过模型试验表明:LFPSO相较于标准PSO算法适应度值下降速度更快、寻优能力更好;相较于OCCAM反演,LFPSO反演效率更高;并在实际数据处理中取得了较好的结果. ...
1
2011
... 粒子群算法最早是由Kennedy以及Eherhart于1995年提出[13 ] ,该算法源于鸟群的群体觅食行为,鸟群的栖息地可以看作是待求问题的可能解的位置,通过鸟群中个体的信息传递,指引整个鸟群向着最优解移动.PSO算法是基于迭代的随机优化算法,该算法初始化时生成一组随机解,通过迭代搜索最优解.粒子群算法不同于其他进化算法,不是采用群体解的竞争机制来迭代产生最优解,而是通过群体解的合作机制来迭代产生最优解[14 ] .粒子群算法的机制容易实现、概念简单、参数少,并且隐含并行性.因此粒子群算法在求解多维非线性问题上有很好的前景[15 ] .国内外学者对PSO算法进行了一系列的研究与优化,Francesca等[16 ] 总结了PSO算法在电磁法勘探、重磁勘探、直流电法勘探以及地震勘探等各种地球物理方法中的应用;师学明等[17 ] 、肖敏[18 ] 提出一种新的惯性权重ω 参数振荡递减策略,并将其应用于一维和简单的二维大地电磁测深反演中;韩家兴等[19 ] 通过将PSO算法应用于测井中,有效提高了密度测井的质量;李明星等[20 ] 将PSO算法应用于瞬变电磁反演计算中.本文通过对PSO算法在多维问题中容易早熟的缺点进行改进,提出了一种改进的PSO算法(LFPSO),通过结合Lévy飞行,更有机会跳出局部最优解.通过模型试验表明:LFPSO相较于标准PSO算法适应度值下降速度更快、寻优能力更好;相较于OCCAM反演,LFPSO反演效率更高;并在实际数据处理中取得了较好的结果. ...
1
2011
... 粒子群算法最早是由Kennedy以及Eherhart于1995年提出[13 ] ,该算法源于鸟群的群体觅食行为,鸟群的栖息地可以看作是待求问题的可能解的位置,通过鸟群中个体的信息传递,指引整个鸟群向着最优解移动.PSO算法是基于迭代的随机优化算法,该算法初始化时生成一组随机解,通过迭代搜索最优解.粒子群算法不同于其他进化算法,不是采用群体解的竞争机制来迭代产生最优解,而是通过群体解的合作机制来迭代产生最优解[14 ] .粒子群算法的机制容易实现、概念简单、参数少,并且隐含并行性.因此粒子群算法在求解多维非线性问题上有很好的前景[15 ] .国内外学者对PSO算法进行了一系列的研究与优化,Francesca等[16 ] 总结了PSO算法在电磁法勘探、重磁勘探、直流电法勘探以及地震勘探等各种地球物理方法中的应用;师学明等[17 ] 、肖敏[18 ] 提出一种新的惯性权重ω 参数振荡递减策略,并将其应用于一维和简单的二维大地电磁测深反演中;韩家兴等[19 ] 通过将PSO算法应用于测井中,有效提高了密度测井的质量;李明星等[20 ] 将PSO算法应用于瞬变电磁反演计算中.本文通过对PSO算法在多维问题中容易早熟的缺点进行改进,提出了一种改进的PSO算法(LFPSO),通过结合Lévy飞行,更有机会跳出局部最优解.通过模型试验表明:LFPSO相较于标准PSO算法适应度值下降速度更快、寻优能力更好;相较于OCCAM反演,LFPSO反演效率更高;并在实际数据处理中取得了较好的结果. ...
基于粒子群优化算法的多元线性拟合方法研究及其应用
1
2016
... 粒子群算法最早是由Kennedy以及Eherhart于1995年提出[13 ] ,该算法源于鸟群的群体觅食行为,鸟群的栖息地可以看作是待求问题的可能解的位置,通过鸟群中个体的信息传递,指引整个鸟群向着最优解移动.PSO算法是基于迭代的随机优化算法,该算法初始化时生成一组随机解,通过迭代搜索最优解.粒子群算法不同于其他进化算法,不是采用群体解的竞争机制来迭代产生最优解,而是通过群体解的合作机制来迭代产生最优解[14 ] .粒子群算法的机制容易实现、概念简单、参数少,并且隐含并行性.因此粒子群算法在求解多维非线性问题上有很好的前景[15 ] .国内外学者对PSO算法进行了一系列的研究与优化,Francesca等[16 ] 总结了PSO算法在电磁法勘探、重磁勘探、直流电法勘探以及地震勘探等各种地球物理方法中的应用;师学明等[17 ] 、肖敏[18 ] 提出一种新的惯性权重ω 参数振荡递减策略,并将其应用于一维和简单的二维大地电磁测深反演中;韩家兴等[19 ] 通过将PSO算法应用于测井中,有效提高了密度测井的质量;李明星等[20 ] 将PSO算法应用于瞬变电磁反演计算中.本文通过对PSO算法在多维问题中容易早熟的缺点进行改进,提出了一种改进的PSO算法(LFPSO),通过结合Lévy飞行,更有机会跳出局部最优解.通过模型试验表明:LFPSO相较于标准PSO算法适应度值下降速度更快、寻优能力更好;相较于OCCAM反演,LFPSO反演效率更高;并在实际数据处理中取得了较好的结果. ...
基于粒子群优化算法的多元线性拟合方法研究及其应用
1
2016
... 粒子群算法最早是由Kennedy以及Eherhart于1995年提出[13 ] ,该算法源于鸟群的群体觅食行为,鸟群的栖息地可以看作是待求问题的可能解的位置,通过鸟群中个体的信息传递,指引整个鸟群向着最优解移动.PSO算法是基于迭代的随机优化算法,该算法初始化时生成一组随机解,通过迭代搜索最优解.粒子群算法不同于其他进化算法,不是采用群体解的竞争机制来迭代产生最优解,而是通过群体解的合作机制来迭代产生最优解[14 ] .粒子群算法的机制容易实现、概念简单、参数少,并且隐含并行性.因此粒子群算法在求解多维非线性问题上有很好的前景[15 ] .国内外学者对PSO算法进行了一系列的研究与优化,Francesca等[16 ] 总结了PSO算法在电磁法勘探、重磁勘探、直流电法勘探以及地震勘探等各种地球物理方法中的应用;师学明等[17 ] 、肖敏[18 ] 提出一种新的惯性权重ω 参数振荡递减策略,并将其应用于一维和简单的二维大地电磁测深反演中;韩家兴等[19 ] 通过将PSO算法应用于测井中,有效提高了密度测井的质量;李明星等[20 ] 将PSO算法应用于瞬变电磁反演计算中.本文通过对PSO算法在多维问题中容易早熟的缺点进行改进,提出了一种改进的PSO算法(LFPSO),通过结合Lévy飞行,更有机会跳出局部最优解.通过模型试验表明:LFPSO相较于标准PSO算法适应度值下降速度更快、寻优能力更好;相较于OCCAM反演,LFPSO反演效率更高;并在实际数据处理中取得了较好的结果. ...
瞬变电磁粒子群优化反演研究
1
2014
... 粒子群算法最早是由Kennedy以及Eherhart于1995年提出[13 ] ,该算法源于鸟群的群体觅食行为,鸟群的栖息地可以看作是待求问题的可能解的位置,通过鸟群中个体的信息传递,指引整个鸟群向着最优解移动.PSO算法是基于迭代的随机优化算法,该算法初始化时生成一组随机解,通过迭代搜索最优解.粒子群算法不同于其他进化算法,不是采用群体解的竞争机制来迭代产生最优解,而是通过群体解的合作机制来迭代产生最优解[14 ] .粒子群算法的机制容易实现、概念简单、参数少,并且隐含并行性.因此粒子群算法在求解多维非线性问题上有很好的前景[15 ] .国内外学者对PSO算法进行了一系列的研究与优化,Francesca等[16 ] 总结了PSO算法在电磁法勘探、重磁勘探、直流电法勘探以及地震勘探等各种地球物理方法中的应用;师学明等[17 ] 、肖敏[18 ] 提出一种新的惯性权重ω 参数振荡递减策略,并将其应用于一维和简单的二维大地电磁测深反演中;韩家兴等[19 ] 通过将PSO算法应用于测井中,有效提高了密度测井的质量;李明星等[20 ] 将PSO算法应用于瞬变电磁反演计算中.本文通过对PSO算法在多维问题中容易早熟的缺点进行改进,提出了一种改进的PSO算法(LFPSO),通过结合Lévy飞行,更有机会跳出局部最优解.通过模型试验表明:LFPSO相较于标准PSO算法适应度值下降速度更快、寻优能力更好;相较于OCCAM反演,LFPSO反演效率更高;并在实际数据处理中取得了较好的结果. ...
瞬变电磁粒子群优化反演研究
1
2014
... 粒子群算法最早是由Kennedy以及Eherhart于1995年提出[13 ] ,该算法源于鸟群的群体觅食行为,鸟群的栖息地可以看作是待求问题的可能解的位置,通过鸟群中个体的信息传递,指引整个鸟群向着最优解移动.PSO算法是基于迭代的随机优化算法,该算法初始化时生成一组随机解,通过迭代搜索最优解.粒子群算法不同于其他进化算法,不是采用群体解的竞争机制来迭代产生最优解,而是通过群体解的合作机制来迭代产生最优解[14 ] .粒子群算法的机制容易实现、概念简单、参数少,并且隐含并行性.因此粒子群算法在求解多维非线性问题上有很好的前景[15 ] .国内外学者对PSO算法进行了一系列的研究与优化,Francesca等[16 ] 总结了PSO算法在电磁法勘探、重磁勘探、直流电法勘探以及地震勘探等各种地球物理方法中的应用;师学明等[17 ] 、肖敏[18 ] 提出一种新的惯性权重ω 参数振荡递减策略,并将其应用于一维和简单的二维大地电磁测深反演中;韩家兴等[19 ] 通过将PSO算法应用于测井中,有效提高了密度测井的质量;李明星等[20 ] 将PSO算法应用于瞬变电磁反演计算中.本文通过对PSO算法在多维问题中容易早熟的缺点进行改进,提出了一种改进的PSO算法(LFPSO),通过结合Lévy飞行,更有机会跳出局部最优解.通过模型试验表明:LFPSO相较于标准PSO算法适应度值下降速度更快、寻优能力更好;相较于OCCAM反演,LFPSO反演效率更高;并在实际数据处理中取得了较好的结果. ...
The particle swarm:social adaptation of knowledge
1
1997
... PSO算法的数学描述如下[13 ,21 ] :由SN 个粒子组成的群体在D 维的搜索空间中以一定的速度飞行,每个粒子初始速度vi =(v 1 ,v 2 ,…,vD ),初始位置xi =(x 1 ,x 2 ,…,xD ).在搜索时,粒子群体记录每一个粒子到过的历史最优位置pbest =[pbest 1 ,pbest 2 ,…,pbestSN ],同时记录整个群体所有到过的最优位置gbest =[gbest 1 ,gbest 2 ,…,gbestSN ],在此基础上寻找最优解.对每一个粒子,其第d 维根据式(1)进行变化: ...
Fast,accurate algorithm for numerical simulation of Lévy stable stochastic processes
1
1994
... 本文采用Mantegna于1994年提出的Mantegna方法来模拟Lévy飞行[22 ] .生成服从Lévy飞行的随机步长的方法如式(4): ...
大地电磁数据的Occam反演改进
1
1998
... 为验证LFPSO算法的实用性和有效性,本文选择OCCAM反演与LFPSO算法进行对比验证.OCCAM反演作为一种线性算法,其实质即是求一个多层地球模型的最光滑解[23 ] .由于其稳定的收敛性、不依赖初值等优点,在MT一维、二维反演中具有良好的效果. ...
大地电磁数据的Occam反演改进
1
1998
... 为验证LFPSO算法的实用性和有效性,本文选择OCCAM反演与LFPSO算法进行对比验证.OCCAM反演作为一种线性算法,其实质即是求一个多层地球模型的最光滑解[23 ] .由于其稳定的收敛性、不依赖初值等优点,在MT一维、二维反演中具有良好的效果. ...
利用新的MT视电阻率定义识别薄互层
1
1998
... 多层复杂地层模型选择一个6层薄互层的地电模型[24 -25 ] 进行数据反演.正演采用可变步长有限元法,地层网格剖分采用对数等间隔剖分:地层层数50层,首层层厚5 m,网格厚度递增参数1.05,网格深度最深1 046 m.频率范围104 ~10-4 .地电模型参数如表2 所示. ...
利用新的MT视电阻率定义识别薄互层
1
1998
... 多层复杂地层模型选择一个6层薄互层的地电模型[24 -25 ] 进行数据反演.正演采用可变步长有限元法,地层网格剖分采用对数等间隔剖分:地层层数50层,首层层厚5 m,网格厚度递增参数1.05,网格深度最深1 046 m.频率范围104 ~10-4 .地电模型参数如表2 所示. ...
大地电磁线性反演算法比较
1
2014
... 多层复杂地层模型选择一个6层薄互层的地电模型[24 -25 ] 进行数据反演.正演采用可变步长有限元法,地层网格剖分采用对数等间隔剖分:地层层数50层,首层层厚5 m,网格厚度递增参数1.05,网格深度最深1 046 m.频率范围104 ~10-4 .地电模型参数如表2 所示. ...
大地电磁线性反演算法比较
1
2014
... 多层复杂地层模型选择一个6层薄互层的地电模型[24 -25 ] 进行数据反演.正演采用可变步长有限元法,地层网格剖分采用对数等间隔剖分:地层层数50层,首层层厚5 m,网格厚度递增参数1.05,网格深度最深1 046 m.频率范围104 ~10-4 .地电模型参数如表2 所示. ...