0 引言
可控源大地电磁法(CSMT)是在大地电磁基础上发展起来的一种人工源电磁法[1 ] ,由于采用人工场源,克服了大地电磁天然源信号弱、信噪比低的缺点,使该方法在工程勘察、矿产资源勘查以及能源勘查等领域得到应用[2 ⇓ ⇓ ⇓ ⇓ -7 ] 。传统的可控源电磁法采用卡尼亚视电阻率进行数据解释,其效果直观,能够良好地反映地下的电性结构,在可控源电磁法解释中发挥了重要作用。但是,卡尼亚电阻率要求在远区进行测量,因为在过渡区进行测量会导致近区视电阻率公式与远区视电阻率公式的近似条件不成立,使计算的视电阻率存在畸变,这使得施工难度大大增加。针对这一问题,国内外许多学者提出了不同的校正方法和不同的视电阻率计算方法:曹昌祺[8 ] 借鉴天然源大地电磁测深,通过CSMT理论曲线与实测曲线的对比,提出由比值法定义视电阻率,改进了波区视电阻率定义方法;Spies等[9 ] 提出基于波阻抗的实部和虚部迭代计算视电阻率的简单方法;殷长春等[10 ] 根据视电阻率定义基本原则,通过迭代从场值中用多项式逼近的方法直接求解视电阻率,并提出针对水平电偶源电场的全新的全区视电阻率定义方式和概念;方文藻等[11 ] 将远区视电阻率乘以校正系数,简便快速地得到全区视电阻率;汤井田等[12 ⇓ -14 ] 提出了求取阻抗实部等效电阻率和用电场定义视电阻率定义的方法,计算较为简便且能够较形象地反映地下介质信息;底青云等[15 ⇓ -17 ] 提出了在近区和远区做近似的过渡区三角形法;毛先进等[18 ] 提出水平电偶源的频率域电磁测深全区视电阻率直接算法;佟铁钢等[19 ] 利用迭代法基于电场分量计算了可控源音频大地电磁全区视电阻率;韩自强等[20 ] 利用二分法计算了电性双极性源全区视电阻定义。这些校正方法与全区视电阻率的提出使非远区的畸变得到很大的改善。近年来,何继善[21 ] 提出了广域视电阻率计算方法,并逐渐发展为广域电磁法。广域电磁法在激发方面采用伪随机信号实现多个频率的同时发射与接收,在电阻率计算方面只测量电场或磁场的一个分量来计算全域视电阻率,可以在广大的测区范围进行观测。通过广域视电阻率定义,电磁测深的探测区域由远区推广到了中区,并有望实现近源探测[22 ] 。
由均匀半空间偶极子频率域场各分量表达式可知,电磁场各分量的强度和波数有关,而波数包含了介质的电性参数。因此,CSMT的电磁场各分量与地层电阻率之间存在复杂的隐函数关系。在有效的测量范围内,每个电磁场分量必然存在一个电阻率值与之对应,这就为基于反函数思想用电磁场各分量定义全域视电阻率提供了基础。本文针对CSMT的广域视电阻率定义问题,从反函数原理出发,给出一种适合电磁场各分量的不受测区影响的全域视电阻率的定义方法,并对理论模型进行试验。
1 基于反函数原理的视电阻率计算方法
1.1 视电阻率计算方法
由于电磁场各分量均为地下介质电阻率以及场源的函数,因此将电磁场分量记为f (c ,ρ ,ω ),其中,c 表示测点与场源的位置关系以及场源参数,ρ 为大地电阻率,ω 为发射源频率。为了利用反函数原理实现广域视电阻率的计算,将复杂函数f (c ,ρ ,ω )在ρ 0 的领域内进行泰勒展开:
(1) f ( c , ρ , ω ) = f ( c , ρ 0 , ω ) + f ' ( c , ρ 0 , ω ) · ( ρ - ρ 0 ) + … + R n ( ρ ) ,
式中:Rn (ρ )=f n + 1 ( c , ρ 0 , ω ) ( n + 1 ) ! ( ρ -ρ 0 )n +1 。
当场值分量关于地下介质电阻率参数为单调函数时反函数存在,可将式(1)中高阶无穷小量忽略,得线性化函数:
(2) f ( c , ρ , ω ) = f ( c , ρ 0 , ω ) + f ' ( c , ρ 0 , ω ) ( ρ - ρ 0 ) 。
当反函数存在时,通过反函数原理,将式(2)改写成电阻率的函数,即可以获得迭代的视电阻率计算表达式:
(3) ρ = f ( c , ρ , ω ) - f ( c , ρ 0 , ω ) f ' ( c , ρ 0 , ω ) + ρ 0 。
式中:f (c ,ρ ,ω )为实测电磁场分量,f (c ,ρ 0 ,ω )为电阻率等于ρ 0 时均匀半空间模型的理论电磁场值,f' (c ,ρ 0 ,ω )为f (c ,ρ 0 ,ω )的一阶导数。可将式(3)改写为迭代格式:
(4) ρ τ i + 1 ≈ Δ ρ τ i + ρ 0 i , ( i = 1,2 , … , n ) 。
1.2 均匀半空间频域电磁场与电阻率函数关系
根据均匀半空间电偶极子场表达式给出不同频率电磁场各分量随电阻率变化的曲线特征。图1 所示为Ex 电场分量模值、实部与虚部在不同频率关于电阻率变化的曲线;图2 给出了Hy 磁场分量模值、实部与虚部在不同频率关于电阻率变化的曲线;图3 为Ex /Hy 波阻抗分量模值、实部与虚部在不同频率关于电阻率变化的曲线。对于电场分量以及电场与磁场的比值随着电阻率变化呈单调函数,有利于基于反函数原理的视电阻率定义。对于磁场分量在电阻率变化过程中存在一个极值,可以在极值电阻率两侧分别采用反函数原理进行视电阻计算。
图1
图1
频域电磁场Ex 分量关于电阻率变换曲线特征
Fig.1
Characteristic of Ex component in frequency domain about resistivity
图2
图2
频域电磁场Hy 分量关于电阻率变换曲线特征
Fig.2
Characteristic of Hy component in frequency domain about resistivity
图3
图3
频域电磁场Zxy 分量关于电阻率变换曲线特征
Fig.3
Characteristic of Zxy component in frequency domain about resistivity
已知均匀半空间电阻率值为ρ =20 Ω·m,分别采用卡尼亚视电阻率、基于反函数原理的视电阻率等计算模型视电阻率曲线;由图4 可知卡尼亚视电阻率计算的视电阻率值随着偏移距增大,视电阻率的极大值逐渐减小,近场效应随偏移距的增大逐渐减弱。由图5 可知,基于反函数原理定义的视电阻率不存在近场效应,不论在近区、过渡区、远区电阻率值均为ρ =20 Ω·m,与模型完全符合。
图4
图4
基于卡尼亚视电阻计算的不同偏移距半空间视电阻率
Fig.4
Different offset half-space apparent resistivity calculations based on Cagniard apparent resistivity
图5
图5
基于反函数原理的不同偏移距半空间视电阻率曲线
Fig.5
Apparent resistivity for different offsets in half space based on the inverse function principle
2 层状模型分析
为验证文中视电阻计算方法,给定发射源参数:电流源长度1 000 m,电流1 A,偏移距分别为200、500、1 000、5 000 m;利用文中所述方法,分别用Ex 、Hy 、Ex /Hy 、ABS(Ex /Hy )等分量来计算层状模型的视电阻率。
2.1 两层模型分析
设两层模型参数:第一层电阻率值ρ 1 =100 Ω·m,层厚h 1 =50 m;第二层电阻率为变化值,ρ 2 分别为2、3、5、8、20、30、50、80、200、300、500、800 Ω·m,构成D型和G型模型。基于反函数原理定义的视电阻率计算结果见图6 ~图8 。
图6
图6
偏移距200 m时两层模型各分量定义的视电阻率特征
Fig.6
The apparent resistivity characteristics defined by each component of the two-layer model when the offset is 200 meters
图7
图7
偏移距1 000 m时两层模型各分量定义的视电阻率特征
Fig.7
The apparent resistivity characteristics defined by each component of the two-layer model when the offset is 1 000 meters
图8
图8
偏移距5 000 m时两层模型各分量定义的视电阻率特征
Fig.8
The apparent resistivity characteristics defined by each component of the two-layer model when the offset is 5 000 meters
将图6 ~图8 进行对比分析,发现曲线首支总趋于第一层电阻率,尾支总能表征第二层电阻率值相对于第一层电阻率变化趋势。在收发距较小的情况下,受收发装置所限,曲线尾支不能趋近于最后一层电阻率,这是因为当收发距较小时,电磁场与频率无关,等效为几何测深装置,因此最后一层电阻率趋于常值。在收发距较大的情况下,曲线尾支逐渐趋近于最后一层电阻率。
整体上看,无论是D型还是G型,其视电阻率计算结果在高频段和低频段都能很好地反映模型的电阻率,曲线光滑,且较真实地反映了地电结构。
2.2 三层模型分析
2.2.1 改变中间层电阻率
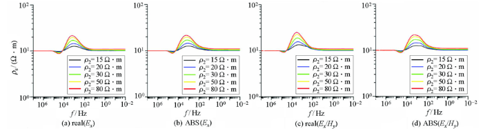
设三层H型模型参数:第一层电阻率ρ 1 =100 Ω·m,层厚h 1 =10 m;第二层电阻率为变化值,ρ 2 分别为10、20、30、50、80 Ω·m,h 2 =30 m;第三层电阻率ρ 3 =100 Ω·m。基于反函数原理的视电阻率定义结果见图9 ~11。
图9
图9
偏移距500 m时H型模型各分量定义的视电阻率特征
Fig.9
The apparent resistivity characteristics defined by each component of the H-type model when the offset is 500 meters
图10
图10
偏移距1 000 m时H型模型各分量定义的视电阻率特征
Fig.10
The apparent resistivity characteristics defined by each component of the H-type model when the offset is 1 000 meters
图11
图11
偏移距5 000 m时H型模型各分量定义的视电阻率特征
Fig.11
The apparent resistivity characteristics defined by each component of the H-type model when the offset is 5 000 meters
由图9 ~11可见:在收发距较大情况下,高频段和低频段的视电阻率与模型电阻率一致;由于中间层为低阻,所以全域视电阻率曲线表现为下凹形态,这与所设计的正演模型吻合。总体来说,CSMT的全域视电阻率定义能细致刻画地电信息的变化,在不同的偏移距处可以准确定义,进一步说明CSMT全域视电阻率定义方法的准确性。
设三层K型模型参数:ρ 1 =10 Ω·m,h 1 =10 m;第二层电阻率为变化值,ρ 2 分别为15、20、30、50、80 Ω·m,h 2 =30 m;ρ 3 =10 Ω·m。基于反函数思想定义的视电阻率结果见图12 ~14。
图12
图12
偏移距200 m时K型模型各分量定义的视电阻率特征
Fig.12
The apparent resistivity characteristics defined by each component of the K-type model when the offset is 200 meters
图13
图13
偏移距500 m时K型模型各分量定义的视电阻率特征
Fig.13
The apparent resistivity characteristics defined by each component of the K-type model when the offset is 500 meters
图14
图14
偏移距1 000 m时K型模型各分量定义的视电阻率特征
Fig.14
The apparent resistivity characteristics defined by each component of the K-type model when the offset is 1 000 meters
对比图12 ~14可知,当偏移距较小时视电阻率尾支趋于定值,随着偏移距的增加电阻率曲线尾支能够较好地趋近于底层电阻率。总体而言,视电阻率曲线能较好地拟合给定模型参数,中间夹层为高阻层时,视电阻率曲线存在上凸,能够反映中间高阻层,并且随着电阻率的增加异常逐渐变大,较好地反映了模型的电阻率特征。
2.2.2 改变中间层厚度
改变三层模型的中间层厚度。H型模型:ρ 1 =100 Ω·m,h 1 =10 m;ρ 2 =10 Ω·m,h 2 分别为5、10、15、30、50、80 m;ρ 3 =100 Ω·m。基于反函数原理的视电阻率定义结果见图15 。K型模型:ρ 1 =10 Ω·m,h 1 =10 m;ρ 2 =20 Ω·m,h 2 分别为5、10、20、30、50、80 m;ρ 3 =10 Ω·m。基于反函数原理的视电阻率定义结果见图16 。
图15
图15
层厚改变时H型模型各分量定义的视电阻率特征
Fig.15
The apparent resistivity characteristics defined by each component of the H-type model with layer thickness changes
图16
图16
层厚改变时K型模型各分量定义的视电阻率特征
Fig.16
The apparent resistivity characteristics defined by each component of the K-type model with layer thickness changes
对于H型和K型模型,由图可见:在地层厚度较小时中间层的电阻率异常较小,在层厚逐渐增大的情况下,异常范围逐渐增大,曲线缓慢趋于平稳,视电阻率曲线的“下凹”与“上凸”更加明显;各分量定义的视电阻率都能对模型有较好的反映。
3 结论
基于反函数定理实现了任意分量的CSMT全区视电阻率定义,均匀半空间下层状模型的视电阻率计算结果充分说明了本文算法的有效性。本算法可以实现各种地电模型全区全频段的视电阻率计算,相对于卡尼亚视电阻率,曲线形态没有畸变,能正确反映地下电性结构,且计算速度快、精度高。实际工作中,可根据测量的单分量或多分量数据来计算视电阻率,方便快捷地实现对野外资料数据的处理。
分析了偏移距、中间层厚度以及中间层电阻率等参数对视电阻率计算的影响。野外应避免收发距相对为极小量,因为这时电磁场与频率无关,装置等效为几何测深,磁场与电阻率无关而低频电场分量计算的视电阻率趋于常值,不能真实反映地层电阻率。在不同偏移距测区,从各分量的视电阻率曲线图可以看到,视电阻率曲线的首支都能够很好地反映第一层的真实电阻率,在尾支也能不断趋于最后一层的真实电阻率,三层模型的曲线变化光滑且能较好地反映中间层的变化趋势,都能很好地逼近模型电阻率。
参考文献
View Option
[1]
Goldstein M A , Strangway D W . Audio frequency magnetotellurics with a ground dipole source
[J]. Geophysics , 1975 , 40 (4 ): 669 -683 .
DOI:10.1190/1.1440558
URL
[本文引用: 1]
[2]
欧阳涛 , 底青云 , 安志国 , 等 . CSAMT法在某铁路隧道勘察中的应用研究
[J]. 地球物理学进展 , 2016 , 31 (3 ):1351 -1357 .
[本文引用: 1]
Ouyang T , Di Q Y , An Z G , et al . Research on the application of CSAMT method in a railway tunnel survey
[J]. Progress in Geophysics , 2016 , 31 (3 ): 1351 -1357 .
[本文引用: 1]
[3]
陈玉玲 , 韩凯 , 陈贻祥 , 等 . 可控源音频大地电磁法在岩溶塌陷勘察中的应用
[J]. 地球物理学进展 , 2015 , 30 (6 ):2616 -2622 .
[本文引用: 1]
Chen Y L , Han K , Chen Y X , et al . Application of controllable source audio magnetotelluric method in karst collapse survey
[J]. Progress in Geophysics , 2015 , 30 (6 ): 2616 -2622 .
[本文引用: 1]
[4]
薛融晖 , 安志国 , 王显祥 , 等 . 利用电磁方法探测内蒙古塔木素高放废物预选场址岩体的内部构造
[J]. 地球物理学报 , 2016 , 59 (6 ):2316 -2325 .
[本文引用: 1]
Xue R H , An Z G , Wang X X , et al . Using electromagnetic method to detect the internal structure of the rock mass at the high level radioactive waste pre-selected site in Inner Mongolia
[J]. Journal of Geophysics , 2016 , 59 (6 ):2316 -2325 .
[本文引用: 1]
[5]
李帝铨 , 汪振兴 , 胡艳芳 , 等 . 广域电磁法在武陵山区页岩气勘探中的探索应用——以黔北桐梓地区为例
[J]. 物探与化探 , 2020 , 44 (5 ):991 -998 .
[本文引用: 1]
Li D Q , Wang Z X , Hu Y F , et al . The application of wide field electromagnetic method to shale gas exploration in Wuling Mountain area: A case study of Tongzi area in northern Guizhou
[J]. Geophysical and Geochemical Exploration , 2020 , 44 (5 ):991 -998 .
[本文引用: 1]
[6]
孙求实 , 袁杰 , 宗文明 , 等 . 广域电磁法在辽西地区牛营子凹陷油气资源潜力评价中的应用
[J]. 物探与化探 , 2019 , 43 (1 ):64 -69 .
[本文引用: 1]
Sun Q S , Yuan J , Zong W M , et al . The application of wide field electromagnetic method to the oil and gas exploration of Niuyingzi sag in Liaoxi area
[J]. Geophysical and Geochemical Exploration , 2019 , 43 (1 ):64 -69 .
[本文引用: 1]
[7]
何继善 . 广域电磁法理论及应用研究的新进展
[J]. 物探与化探 , 2020 , 44 (5 ):585 -590 .
[本文引用: 1]
He J S . New research progress in theory and application of wide field electromagnetic method
[J]. Geophysical and Geochemical Exploration , 2020 , 44 (5 ):585 -590 .
[本文引用: 1]
[8]
曹昌祺 . 水平分层大地的交流视电阻率
[J]. 地球物理学报 , 1978 , 21 (3 ):248 -261 .
[本文引用: 1]
Cao C Q . AC apparent resistance of horizontal layered earth
[J]. Journal of Geophysics , 1978 , 21 (3 ): 248 -261 .
[本文引用: 1]
[9]
Spies B R , Eggers D E . The use and misuse of apparent resistivity in electromagnetic methods
[J]. Geophysics , 1986 , 51 (7 ): 1462 -1471 .
DOI:10.1190/1.1442194
URL
[本文引用: 1]
[10]
殷长春 , 朴化荣 . 电磁测深法视电阻率定义问题的研究
[J]. 物探与化探 , 1991 , 15 (4 ):290 -299 .
[本文引用: 1]
Yin C C , Piao H R . Study on the definition of apparent resistivity by electromagnetic sounding
[J]. Geophysical and Geochemical Exploration , 1991 , 15 (4 ): 290 -299 .
[本文引用: 1]
[11]
方文藻 , 李貅 , 李予国 , 等 . 频率域电磁法中视电阻率全区定义
[J]. 西安地质学院学报 , 1992 , 14 (4 ):81 -86 .
[本文引用: 1]
Fang W Z , Li X , Li Y G , et al . Regional definition of apparent resistivity in frequency domain electromagnetic method
[J]. Journal of Xi’an Institute of Geosciences , 1992 , 14 (4 ): 81 -86 .
[本文引用: 1]
[12]
汤井田 , 何继善 . 水平电偶源频率测深中全区视电阻率定义的新方法
[J]. 地球物理学报 , 1994 , 37 (4 ):543 -552 .
[本文引用: 1]
Tang J T , He J S . New method for defining the whole-area apparent resistivity in horizontal electric dipole frequency sounding
[J]. Journal of Geophysics , 1994 , 37 (4 ): 543 -552 .
[本文引用: 1]
[13]
汤井田 , 周聪 , 张林成 . CSAMT电场y方向视电阻率的定义及研究
[J]. 吉林大学学报:地球科学版 , 2011 , 41 (2 ):552 -558 .
[本文引用: 1]
Tang J T , Zhou C , Zhang L C . Definition and study of csamt electric field y direction apparent resistivity
[J]. Journal of Jilin University:Geosciences , 2011 , 41 (2 ): 552 -558 .
[本文引用: 1]
[14]
汤井田 , 何继善 . 可控源音频大地电磁法及其应用 [M]. 长沙 : 中南大学出版社 , 2005 .
[本文引用: 1]
Tang J T , He J S . Controllable source audio magnetotelluric method and its application [M]. Changsha : Central South University Press , 2005 .
[本文引用: 1]
[15]
底青云 , 王若 , 王妙月 . 可控源音频大地电磁数据正反演及方法应用 [M]. 北京 : 科学出版社 , 2008 .
[本文引用: 1]
Di Q Y , Wang R , Wang M Y . Forward inversion and application of controllable source audio magnetotelluric data [M]. Beijing : Science Press , 2008 .
[本文引用: 1]
[16]
底青云 , 王妙月 , 付长民 , 等 . “地-电离层”模式电磁波传播特征研究 [M]. 北京 : 科学出版社 , 2013 .
[本文引用: 1]
Di Q Y , Wang M Y , Fu C M , et al . Study on electromagnetic wave propagation characteristics of earth-ionosphere model [M]. Beijing : Science Press , 2013 .
[本文引用: 1]
[17]
栾晓东 , 底青云 , 雷达 . 基于牛顿迭代法和遗传算法的CSAMT近场校正
[J]. 地球物理学报 , 2018 , 61 (10 ):4148 -4159 .
[本文引用: 1]
Luan X D , Di Q Y , Lei D . CSAMT near field correction based on Newton iterative method and genetic algorithm
[J]. Journal of Geophysics , 2018 , 61 (10 ): 4148 -4159 .
[本文引用: 1]
[18]
毛先进 , 鲍光淑 . 水平电偶源频率域电磁测深全区视电阻率的直接算法
[J]. 中南工业大学学报 , 1996 , 27 (3 ):253 -256 .
[本文引用: 1]
Mao X J , Bao G S . Direct algorithm for electromagnetic sounding of all-region visual resistivity in horizontal electric power source frequency domain
[J]. Journal of Central South Polytechnic University , 1996 , 27 (3 ): 253 -256 .
[本文引用: 1]
[19]
佟铁钢 , 柳建新 . 一种新型CSAMT观测参数的计算方法
[J]. 物探化探计算技术 , 2009 , 31 (3 ):210 -212 .
[本文引用: 1]
Tong T G , Liu J X . A new calculation method of CSAMT observation parameters
[J]. Computing Techniques for Geophysical and Geochemical Exploration , 2009 , 31 (3 ): 210 -212 .
[本文引用: 1]
[20]
韩自强 , 冯兵 , 陈红 , 等 . 电性双极源频率域全区视电阻率的计算及应用效果研究
[J]. 地球物理学进展 , 2016 , 31 (4 ):1575 -1582 .
[本文引用: 1]
Han Z Q , Feng B , Chen H , et al . Calculation and application of apparent resistivity in electrical bipolar frequency domain
[J]. Progress in Geophysics , 2016 , 31 (4 ):1575 -1582 .
[本文引用: 1]
[21]
何继善 . 广域电磁测深法研究
[J]. 中南大学学报:自然科学版 , 2010 , 41 (3 ):1065 -1072 .
[本文引用: 1]
He J S . Wide-area electromagnetic sounding
[J]. Journal of Central South University:Natural Science Edition , 2010 , 41 (3 ): 1065 -1072 .
[本文引用: 1]
[22]
何继善 , 薛国强 . 短偏移距电磁探测技术概述
[J]. 地球物理学报 , 2018 , 61 (1 ):1 -8 .
[本文引用: 1]
He J S , Xue G Q . Review of the key techniques on short-offset electromagnetic detection
[J]. Chinese Journal of Geophysics , 2018 , 61 (1 ): 1 -8 .
[本文引用: 1]
Audio frequency magnetotellurics with a ground dipole source
1
1975
... 可控源大地电磁法(CSMT)是在大地电磁基础上发展起来的一种人工源电磁法[1 ] ,由于采用人工场源,克服了大地电磁天然源信号弱、信噪比低的缺点,使该方法在工程勘察、矿产资源勘查以及能源勘查等领域得到应用[2 ⇓ ⇓ ⇓ ⇓ -7 ] .传统的可控源电磁法采用卡尼亚视电阻率进行数据解释,其效果直观,能够良好地反映地下的电性结构,在可控源电磁法解释中发挥了重要作用.但是,卡尼亚电阻率要求在远区进行测量,因为在过渡区进行测量会导致近区视电阻率公式与远区视电阻率公式的近似条件不成立,使计算的视电阻率存在畸变,这使得施工难度大大增加.针对这一问题,国内外许多学者提出了不同的校正方法和不同的视电阻率计算方法:曹昌祺[8 ] 借鉴天然源大地电磁测深,通过CSMT理论曲线与实测曲线的对比,提出由比值法定义视电阻率,改进了波区视电阻率定义方法;Spies等[9 ] 提出基于波阻抗的实部和虚部迭代计算视电阻率的简单方法;殷长春等[10 ] 根据视电阻率定义基本原则,通过迭代从场值中用多项式逼近的方法直接求解视电阻率,并提出针对水平电偶源电场的全新的全区视电阻率定义方式和概念;方文藻等[11 ] 将远区视电阻率乘以校正系数,简便快速地得到全区视电阻率;汤井田等[12 ⇓ -14 ] 提出了求取阻抗实部等效电阻率和用电场定义视电阻率定义的方法,计算较为简便且能够较形象地反映地下介质信息;底青云等[15 ⇓ -17 ] 提出了在近区和远区做近似的过渡区三角形法;毛先进等[18 ] 提出水平电偶源的频率域电磁测深全区视电阻率直接算法;佟铁钢等[19 ] 利用迭代法基于电场分量计算了可控源音频大地电磁全区视电阻率;韩自强等[20 ] 利用二分法计算了电性双极性源全区视电阻定义.这些校正方法与全区视电阻率的提出使非远区的畸变得到很大的改善.近年来,何继善[21 ] 提出了广域视电阻率计算方法,并逐渐发展为广域电磁法.广域电磁法在激发方面采用伪随机信号实现多个频率的同时发射与接收,在电阻率计算方面只测量电场或磁场的一个分量来计算全域视电阻率,可以在广大的测区范围进行观测.通过广域视电阻率定义,电磁测深的探测区域由远区推广到了中区,并有望实现近源探测[22 ] . ...
CSAMT法在某铁路隧道勘察中的应用研究
1
2016
... 可控源大地电磁法(CSMT)是在大地电磁基础上发展起来的一种人工源电磁法[1 ] ,由于采用人工场源,克服了大地电磁天然源信号弱、信噪比低的缺点,使该方法在工程勘察、矿产资源勘查以及能源勘查等领域得到应用[2 ⇓ ⇓ ⇓ ⇓ -7 ] .传统的可控源电磁法采用卡尼亚视电阻率进行数据解释,其效果直观,能够良好地反映地下的电性结构,在可控源电磁法解释中发挥了重要作用.但是,卡尼亚电阻率要求在远区进行测量,因为在过渡区进行测量会导致近区视电阻率公式与远区视电阻率公式的近似条件不成立,使计算的视电阻率存在畸变,这使得施工难度大大增加.针对这一问题,国内外许多学者提出了不同的校正方法和不同的视电阻率计算方法:曹昌祺[8 ] 借鉴天然源大地电磁测深,通过CSMT理论曲线与实测曲线的对比,提出由比值法定义视电阻率,改进了波区视电阻率定义方法;Spies等[9 ] 提出基于波阻抗的实部和虚部迭代计算视电阻率的简单方法;殷长春等[10 ] 根据视电阻率定义基本原则,通过迭代从场值中用多项式逼近的方法直接求解视电阻率,并提出针对水平电偶源电场的全新的全区视电阻率定义方式和概念;方文藻等[11 ] 将远区视电阻率乘以校正系数,简便快速地得到全区视电阻率;汤井田等[12 ⇓ -14 ] 提出了求取阻抗实部等效电阻率和用电场定义视电阻率定义的方法,计算较为简便且能够较形象地反映地下介质信息;底青云等[15 ⇓ -17 ] 提出了在近区和远区做近似的过渡区三角形法;毛先进等[18 ] 提出水平电偶源的频率域电磁测深全区视电阻率直接算法;佟铁钢等[19 ] 利用迭代法基于电场分量计算了可控源音频大地电磁全区视电阻率;韩自强等[20 ] 利用二分法计算了电性双极性源全区视电阻定义.这些校正方法与全区视电阻率的提出使非远区的畸变得到很大的改善.近年来,何继善[21 ] 提出了广域视电阻率计算方法,并逐渐发展为广域电磁法.广域电磁法在激发方面采用伪随机信号实现多个频率的同时发射与接收,在电阻率计算方面只测量电场或磁场的一个分量来计算全域视电阻率,可以在广大的测区范围进行观测.通过广域视电阻率定义,电磁测深的探测区域由远区推广到了中区,并有望实现近源探测[22 ] . ...
CSAMT法在某铁路隧道勘察中的应用研究
1
2016
... 可控源大地电磁法(CSMT)是在大地电磁基础上发展起来的一种人工源电磁法[1 ] ,由于采用人工场源,克服了大地电磁天然源信号弱、信噪比低的缺点,使该方法在工程勘察、矿产资源勘查以及能源勘查等领域得到应用[2 ⇓ ⇓ ⇓ ⇓ -7 ] .传统的可控源电磁法采用卡尼亚视电阻率进行数据解释,其效果直观,能够良好地反映地下的电性结构,在可控源电磁法解释中发挥了重要作用.但是,卡尼亚电阻率要求在远区进行测量,因为在过渡区进行测量会导致近区视电阻率公式与远区视电阻率公式的近似条件不成立,使计算的视电阻率存在畸变,这使得施工难度大大增加.针对这一问题,国内外许多学者提出了不同的校正方法和不同的视电阻率计算方法:曹昌祺[8 ] 借鉴天然源大地电磁测深,通过CSMT理论曲线与实测曲线的对比,提出由比值法定义视电阻率,改进了波区视电阻率定义方法;Spies等[9 ] 提出基于波阻抗的实部和虚部迭代计算视电阻率的简单方法;殷长春等[10 ] 根据视电阻率定义基本原则,通过迭代从场值中用多项式逼近的方法直接求解视电阻率,并提出针对水平电偶源电场的全新的全区视电阻率定义方式和概念;方文藻等[11 ] 将远区视电阻率乘以校正系数,简便快速地得到全区视电阻率;汤井田等[12 ⇓ -14 ] 提出了求取阻抗实部等效电阻率和用电场定义视电阻率定义的方法,计算较为简便且能够较形象地反映地下介质信息;底青云等[15 ⇓ -17 ] 提出了在近区和远区做近似的过渡区三角形法;毛先进等[18 ] 提出水平电偶源的频率域电磁测深全区视电阻率直接算法;佟铁钢等[19 ] 利用迭代法基于电场分量计算了可控源音频大地电磁全区视电阻率;韩自强等[20 ] 利用二分法计算了电性双极性源全区视电阻定义.这些校正方法与全区视电阻率的提出使非远区的畸变得到很大的改善.近年来,何继善[21 ] 提出了广域视电阻率计算方法,并逐渐发展为广域电磁法.广域电磁法在激发方面采用伪随机信号实现多个频率的同时发射与接收,在电阻率计算方面只测量电场或磁场的一个分量来计算全域视电阻率,可以在广大的测区范围进行观测.通过广域视电阻率定义,电磁测深的探测区域由远区推广到了中区,并有望实现近源探测[22 ] . ...
可控源音频大地电磁法在岩溶塌陷勘察中的应用
1
2015
... 可控源大地电磁法(CSMT)是在大地电磁基础上发展起来的一种人工源电磁法[1 ] ,由于采用人工场源,克服了大地电磁天然源信号弱、信噪比低的缺点,使该方法在工程勘察、矿产资源勘查以及能源勘查等领域得到应用[2 ⇓ ⇓ ⇓ ⇓ -7 ] .传统的可控源电磁法采用卡尼亚视电阻率进行数据解释,其效果直观,能够良好地反映地下的电性结构,在可控源电磁法解释中发挥了重要作用.但是,卡尼亚电阻率要求在远区进行测量,因为在过渡区进行测量会导致近区视电阻率公式与远区视电阻率公式的近似条件不成立,使计算的视电阻率存在畸变,这使得施工难度大大增加.针对这一问题,国内外许多学者提出了不同的校正方法和不同的视电阻率计算方法:曹昌祺[8 ] 借鉴天然源大地电磁测深,通过CSMT理论曲线与实测曲线的对比,提出由比值法定义视电阻率,改进了波区视电阻率定义方法;Spies等[9 ] 提出基于波阻抗的实部和虚部迭代计算视电阻率的简单方法;殷长春等[10 ] 根据视电阻率定义基本原则,通过迭代从场值中用多项式逼近的方法直接求解视电阻率,并提出针对水平电偶源电场的全新的全区视电阻率定义方式和概念;方文藻等[11 ] 将远区视电阻率乘以校正系数,简便快速地得到全区视电阻率;汤井田等[12 ⇓ -14 ] 提出了求取阻抗实部等效电阻率和用电场定义视电阻率定义的方法,计算较为简便且能够较形象地反映地下介质信息;底青云等[15 ⇓ -17 ] 提出了在近区和远区做近似的过渡区三角形法;毛先进等[18 ] 提出水平电偶源的频率域电磁测深全区视电阻率直接算法;佟铁钢等[19 ] 利用迭代法基于电场分量计算了可控源音频大地电磁全区视电阻率;韩自强等[20 ] 利用二分法计算了电性双极性源全区视电阻定义.这些校正方法与全区视电阻率的提出使非远区的畸变得到很大的改善.近年来,何继善[21 ] 提出了广域视电阻率计算方法,并逐渐发展为广域电磁法.广域电磁法在激发方面采用伪随机信号实现多个频率的同时发射与接收,在电阻率计算方面只测量电场或磁场的一个分量来计算全域视电阻率,可以在广大的测区范围进行观测.通过广域视电阻率定义,电磁测深的探测区域由远区推广到了中区,并有望实现近源探测[22 ] . ...
可控源音频大地电磁法在岩溶塌陷勘察中的应用
1
2015
... 可控源大地电磁法(CSMT)是在大地电磁基础上发展起来的一种人工源电磁法[1 ] ,由于采用人工场源,克服了大地电磁天然源信号弱、信噪比低的缺点,使该方法在工程勘察、矿产资源勘查以及能源勘查等领域得到应用[2 ⇓ ⇓ ⇓ ⇓ -7 ] .传统的可控源电磁法采用卡尼亚视电阻率进行数据解释,其效果直观,能够良好地反映地下的电性结构,在可控源电磁法解释中发挥了重要作用.但是,卡尼亚电阻率要求在远区进行测量,因为在过渡区进行测量会导致近区视电阻率公式与远区视电阻率公式的近似条件不成立,使计算的视电阻率存在畸变,这使得施工难度大大增加.针对这一问题,国内外许多学者提出了不同的校正方法和不同的视电阻率计算方法:曹昌祺[8 ] 借鉴天然源大地电磁测深,通过CSMT理论曲线与实测曲线的对比,提出由比值法定义视电阻率,改进了波区视电阻率定义方法;Spies等[9 ] 提出基于波阻抗的实部和虚部迭代计算视电阻率的简单方法;殷长春等[10 ] 根据视电阻率定义基本原则,通过迭代从场值中用多项式逼近的方法直接求解视电阻率,并提出针对水平电偶源电场的全新的全区视电阻率定义方式和概念;方文藻等[11 ] 将远区视电阻率乘以校正系数,简便快速地得到全区视电阻率;汤井田等[12 ⇓ -14 ] 提出了求取阻抗实部等效电阻率和用电场定义视电阻率定义的方法,计算较为简便且能够较形象地反映地下介质信息;底青云等[15 ⇓ -17 ] 提出了在近区和远区做近似的过渡区三角形法;毛先进等[18 ] 提出水平电偶源的频率域电磁测深全区视电阻率直接算法;佟铁钢等[19 ] 利用迭代法基于电场分量计算了可控源音频大地电磁全区视电阻率;韩自强等[20 ] 利用二分法计算了电性双极性源全区视电阻定义.这些校正方法与全区视电阻率的提出使非远区的畸变得到很大的改善.近年来,何继善[21 ] 提出了广域视电阻率计算方法,并逐渐发展为广域电磁法.广域电磁法在激发方面采用伪随机信号实现多个频率的同时发射与接收,在电阻率计算方面只测量电场或磁场的一个分量来计算全域视电阻率,可以在广大的测区范围进行观测.通过广域视电阻率定义,电磁测深的探测区域由远区推广到了中区,并有望实现近源探测[22 ] . ...
利用电磁方法探测内蒙古塔木素高放废物预选场址岩体的内部构造
1
2016
... 可控源大地电磁法(CSMT)是在大地电磁基础上发展起来的一种人工源电磁法[1 ] ,由于采用人工场源,克服了大地电磁天然源信号弱、信噪比低的缺点,使该方法在工程勘察、矿产资源勘查以及能源勘查等领域得到应用[2 ⇓ ⇓ ⇓ ⇓ -7 ] .传统的可控源电磁法采用卡尼亚视电阻率进行数据解释,其效果直观,能够良好地反映地下的电性结构,在可控源电磁法解释中发挥了重要作用.但是,卡尼亚电阻率要求在远区进行测量,因为在过渡区进行测量会导致近区视电阻率公式与远区视电阻率公式的近似条件不成立,使计算的视电阻率存在畸变,这使得施工难度大大增加.针对这一问题,国内外许多学者提出了不同的校正方法和不同的视电阻率计算方法:曹昌祺[8 ] 借鉴天然源大地电磁测深,通过CSMT理论曲线与实测曲线的对比,提出由比值法定义视电阻率,改进了波区视电阻率定义方法;Spies等[9 ] 提出基于波阻抗的实部和虚部迭代计算视电阻率的简单方法;殷长春等[10 ] 根据视电阻率定义基本原则,通过迭代从场值中用多项式逼近的方法直接求解视电阻率,并提出针对水平电偶源电场的全新的全区视电阻率定义方式和概念;方文藻等[11 ] 将远区视电阻率乘以校正系数,简便快速地得到全区视电阻率;汤井田等[12 ⇓ -14 ] 提出了求取阻抗实部等效电阻率和用电场定义视电阻率定义的方法,计算较为简便且能够较形象地反映地下介质信息;底青云等[15 ⇓ -17 ] 提出了在近区和远区做近似的过渡区三角形法;毛先进等[18 ] 提出水平电偶源的频率域电磁测深全区视电阻率直接算法;佟铁钢等[19 ] 利用迭代法基于电场分量计算了可控源音频大地电磁全区视电阻率;韩自强等[20 ] 利用二分法计算了电性双极性源全区视电阻定义.这些校正方法与全区视电阻率的提出使非远区的畸变得到很大的改善.近年来,何继善[21 ] 提出了广域视电阻率计算方法,并逐渐发展为广域电磁法.广域电磁法在激发方面采用伪随机信号实现多个频率的同时发射与接收,在电阻率计算方面只测量电场或磁场的一个分量来计算全域视电阻率,可以在广大的测区范围进行观测.通过广域视电阻率定义,电磁测深的探测区域由远区推广到了中区,并有望实现近源探测[22 ] . ...
利用电磁方法探测内蒙古塔木素高放废物预选场址岩体的内部构造
1
2016
... 可控源大地电磁法(CSMT)是在大地电磁基础上发展起来的一种人工源电磁法[1 ] ,由于采用人工场源,克服了大地电磁天然源信号弱、信噪比低的缺点,使该方法在工程勘察、矿产资源勘查以及能源勘查等领域得到应用[2 ⇓ ⇓ ⇓ ⇓ -7 ] .传统的可控源电磁法采用卡尼亚视电阻率进行数据解释,其效果直观,能够良好地反映地下的电性结构,在可控源电磁法解释中发挥了重要作用.但是,卡尼亚电阻率要求在远区进行测量,因为在过渡区进行测量会导致近区视电阻率公式与远区视电阻率公式的近似条件不成立,使计算的视电阻率存在畸变,这使得施工难度大大增加.针对这一问题,国内外许多学者提出了不同的校正方法和不同的视电阻率计算方法:曹昌祺[8 ] 借鉴天然源大地电磁测深,通过CSMT理论曲线与实测曲线的对比,提出由比值法定义视电阻率,改进了波区视电阻率定义方法;Spies等[9 ] 提出基于波阻抗的实部和虚部迭代计算视电阻率的简单方法;殷长春等[10 ] 根据视电阻率定义基本原则,通过迭代从场值中用多项式逼近的方法直接求解视电阻率,并提出针对水平电偶源电场的全新的全区视电阻率定义方式和概念;方文藻等[11 ] 将远区视电阻率乘以校正系数,简便快速地得到全区视电阻率;汤井田等[12 ⇓ -14 ] 提出了求取阻抗实部等效电阻率和用电场定义视电阻率定义的方法,计算较为简便且能够较形象地反映地下介质信息;底青云等[15 ⇓ -17 ] 提出了在近区和远区做近似的过渡区三角形法;毛先进等[18 ] 提出水平电偶源的频率域电磁测深全区视电阻率直接算法;佟铁钢等[19 ] 利用迭代法基于电场分量计算了可控源音频大地电磁全区视电阻率;韩自强等[20 ] 利用二分法计算了电性双极性源全区视电阻定义.这些校正方法与全区视电阻率的提出使非远区的畸变得到很大的改善.近年来,何继善[21 ] 提出了广域视电阻率计算方法,并逐渐发展为广域电磁法.广域电磁法在激发方面采用伪随机信号实现多个频率的同时发射与接收,在电阻率计算方面只测量电场或磁场的一个分量来计算全域视电阻率,可以在广大的测区范围进行观测.通过广域视电阻率定义,电磁测深的探测区域由远区推广到了中区,并有望实现近源探测[22 ] . ...
广域电磁法在武陵山区页岩气勘探中的探索应用——以黔北桐梓地区为例
1
2020
... 可控源大地电磁法(CSMT)是在大地电磁基础上发展起来的一种人工源电磁法[1 ] ,由于采用人工场源,克服了大地电磁天然源信号弱、信噪比低的缺点,使该方法在工程勘察、矿产资源勘查以及能源勘查等领域得到应用[2 ⇓ ⇓ ⇓ ⇓ -7 ] .传统的可控源电磁法采用卡尼亚视电阻率进行数据解释,其效果直观,能够良好地反映地下的电性结构,在可控源电磁法解释中发挥了重要作用.但是,卡尼亚电阻率要求在远区进行测量,因为在过渡区进行测量会导致近区视电阻率公式与远区视电阻率公式的近似条件不成立,使计算的视电阻率存在畸变,这使得施工难度大大增加.针对这一问题,国内外许多学者提出了不同的校正方法和不同的视电阻率计算方法:曹昌祺[8 ] 借鉴天然源大地电磁测深,通过CSMT理论曲线与实测曲线的对比,提出由比值法定义视电阻率,改进了波区视电阻率定义方法;Spies等[9 ] 提出基于波阻抗的实部和虚部迭代计算视电阻率的简单方法;殷长春等[10 ] 根据视电阻率定义基本原则,通过迭代从场值中用多项式逼近的方法直接求解视电阻率,并提出针对水平电偶源电场的全新的全区视电阻率定义方式和概念;方文藻等[11 ] 将远区视电阻率乘以校正系数,简便快速地得到全区视电阻率;汤井田等[12 ⇓ -14 ] 提出了求取阻抗实部等效电阻率和用电场定义视电阻率定义的方法,计算较为简便且能够较形象地反映地下介质信息;底青云等[15 ⇓ -17 ] 提出了在近区和远区做近似的过渡区三角形法;毛先进等[18 ] 提出水平电偶源的频率域电磁测深全区视电阻率直接算法;佟铁钢等[19 ] 利用迭代法基于电场分量计算了可控源音频大地电磁全区视电阻率;韩自强等[20 ] 利用二分法计算了电性双极性源全区视电阻定义.这些校正方法与全区视电阻率的提出使非远区的畸变得到很大的改善.近年来,何继善[21 ] 提出了广域视电阻率计算方法,并逐渐发展为广域电磁法.广域电磁法在激发方面采用伪随机信号实现多个频率的同时发射与接收,在电阻率计算方面只测量电场或磁场的一个分量来计算全域视电阻率,可以在广大的测区范围进行观测.通过广域视电阻率定义,电磁测深的探测区域由远区推广到了中区,并有望实现近源探测[22 ] . ...
广域电磁法在武陵山区页岩气勘探中的探索应用——以黔北桐梓地区为例
1
2020
... 可控源大地电磁法(CSMT)是在大地电磁基础上发展起来的一种人工源电磁法[1 ] ,由于采用人工场源,克服了大地电磁天然源信号弱、信噪比低的缺点,使该方法在工程勘察、矿产资源勘查以及能源勘查等领域得到应用[2 ⇓ ⇓ ⇓ ⇓ -7 ] .传统的可控源电磁法采用卡尼亚视电阻率进行数据解释,其效果直观,能够良好地反映地下的电性结构,在可控源电磁法解释中发挥了重要作用.但是,卡尼亚电阻率要求在远区进行测量,因为在过渡区进行测量会导致近区视电阻率公式与远区视电阻率公式的近似条件不成立,使计算的视电阻率存在畸变,这使得施工难度大大增加.针对这一问题,国内外许多学者提出了不同的校正方法和不同的视电阻率计算方法:曹昌祺[8 ] 借鉴天然源大地电磁测深,通过CSMT理论曲线与实测曲线的对比,提出由比值法定义视电阻率,改进了波区视电阻率定义方法;Spies等[9 ] 提出基于波阻抗的实部和虚部迭代计算视电阻率的简单方法;殷长春等[10 ] 根据视电阻率定义基本原则,通过迭代从场值中用多项式逼近的方法直接求解视电阻率,并提出针对水平电偶源电场的全新的全区视电阻率定义方式和概念;方文藻等[11 ] 将远区视电阻率乘以校正系数,简便快速地得到全区视电阻率;汤井田等[12 ⇓ -14 ] 提出了求取阻抗实部等效电阻率和用电场定义视电阻率定义的方法,计算较为简便且能够较形象地反映地下介质信息;底青云等[15 ⇓ -17 ] 提出了在近区和远区做近似的过渡区三角形法;毛先进等[18 ] 提出水平电偶源的频率域电磁测深全区视电阻率直接算法;佟铁钢等[19 ] 利用迭代法基于电场分量计算了可控源音频大地电磁全区视电阻率;韩自强等[20 ] 利用二分法计算了电性双极性源全区视电阻定义.这些校正方法与全区视电阻率的提出使非远区的畸变得到很大的改善.近年来,何继善[21 ] 提出了广域视电阻率计算方法,并逐渐发展为广域电磁法.广域电磁法在激发方面采用伪随机信号实现多个频率的同时发射与接收,在电阻率计算方面只测量电场或磁场的一个分量来计算全域视电阻率,可以在广大的测区范围进行观测.通过广域视电阻率定义,电磁测深的探测区域由远区推广到了中区,并有望实现近源探测[22 ] . ...
广域电磁法在辽西地区牛营子凹陷油气资源潜力评价中的应用
1
2019
... 可控源大地电磁法(CSMT)是在大地电磁基础上发展起来的一种人工源电磁法[1 ] ,由于采用人工场源,克服了大地电磁天然源信号弱、信噪比低的缺点,使该方法在工程勘察、矿产资源勘查以及能源勘查等领域得到应用[2 ⇓ ⇓ ⇓ ⇓ -7 ] .传统的可控源电磁法采用卡尼亚视电阻率进行数据解释,其效果直观,能够良好地反映地下的电性结构,在可控源电磁法解释中发挥了重要作用.但是,卡尼亚电阻率要求在远区进行测量,因为在过渡区进行测量会导致近区视电阻率公式与远区视电阻率公式的近似条件不成立,使计算的视电阻率存在畸变,这使得施工难度大大增加.针对这一问题,国内外许多学者提出了不同的校正方法和不同的视电阻率计算方法:曹昌祺[8 ] 借鉴天然源大地电磁测深,通过CSMT理论曲线与实测曲线的对比,提出由比值法定义视电阻率,改进了波区视电阻率定义方法;Spies等[9 ] 提出基于波阻抗的实部和虚部迭代计算视电阻率的简单方法;殷长春等[10 ] 根据视电阻率定义基本原则,通过迭代从场值中用多项式逼近的方法直接求解视电阻率,并提出针对水平电偶源电场的全新的全区视电阻率定义方式和概念;方文藻等[11 ] 将远区视电阻率乘以校正系数,简便快速地得到全区视电阻率;汤井田等[12 ⇓ -14 ] 提出了求取阻抗实部等效电阻率和用电场定义视电阻率定义的方法,计算较为简便且能够较形象地反映地下介质信息;底青云等[15 ⇓ -17 ] 提出了在近区和远区做近似的过渡区三角形法;毛先进等[18 ] 提出水平电偶源的频率域电磁测深全区视电阻率直接算法;佟铁钢等[19 ] 利用迭代法基于电场分量计算了可控源音频大地电磁全区视电阻率;韩自强等[20 ] 利用二分法计算了电性双极性源全区视电阻定义.这些校正方法与全区视电阻率的提出使非远区的畸变得到很大的改善.近年来,何继善[21 ] 提出了广域视电阻率计算方法,并逐渐发展为广域电磁法.广域电磁法在激发方面采用伪随机信号实现多个频率的同时发射与接收,在电阻率计算方面只测量电场或磁场的一个分量来计算全域视电阻率,可以在广大的测区范围进行观测.通过广域视电阻率定义,电磁测深的探测区域由远区推广到了中区,并有望实现近源探测[22 ] . ...
广域电磁法在辽西地区牛营子凹陷油气资源潜力评价中的应用
1
2019
... 可控源大地电磁法(CSMT)是在大地电磁基础上发展起来的一种人工源电磁法[1 ] ,由于采用人工场源,克服了大地电磁天然源信号弱、信噪比低的缺点,使该方法在工程勘察、矿产资源勘查以及能源勘查等领域得到应用[2 ⇓ ⇓ ⇓ ⇓ -7 ] .传统的可控源电磁法采用卡尼亚视电阻率进行数据解释,其效果直观,能够良好地反映地下的电性结构,在可控源电磁法解释中发挥了重要作用.但是,卡尼亚电阻率要求在远区进行测量,因为在过渡区进行测量会导致近区视电阻率公式与远区视电阻率公式的近似条件不成立,使计算的视电阻率存在畸变,这使得施工难度大大增加.针对这一问题,国内外许多学者提出了不同的校正方法和不同的视电阻率计算方法:曹昌祺[8 ] 借鉴天然源大地电磁测深,通过CSMT理论曲线与实测曲线的对比,提出由比值法定义视电阻率,改进了波区视电阻率定义方法;Spies等[9 ] 提出基于波阻抗的实部和虚部迭代计算视电阻率的简单方法;殷长春等[10 ] 根据视电阻率定义基本原则,通过迭代从场值中用多项式逼近的方法直接求解视电阻率,并提出针对水平电偶源电场的全新的全区视电阻率定义方式和概念;方文藻等[11 ] 将远区视电阻率乘以校正系数,简便快速地得到全区视电阻率;汤井田等[12 ⇓ -14 ] 提出了求取阻抗实部等效电阻率和用电场定义视电阻率定义的方法,计算较为简便且能够较形象地反映地下介质信息;底青云等[15 ⇓ -17 ] 提出了在近区和远区做近似的过渡区三角形法;毛先进等[18 ] 提出水平电偶源的频率域电磁测深全区视电阻率直接算法;佟铁钢等[19 ] 利用迭代法基于电场分量计算了可控源音频大地电磁全区视电阻率;韩自强等[20 ] 利用二分法计算了电性双极性源全区视电阻定义.这些校正方法与全区视电阻率的提出使非远区的畸变得到很大的改善.近年来,何继善[21 ] 提出了广域视电阻率计算方法,并逐渐发展为广域电磁法.广域电磁法在激发方面采用伪随机信号实现多个频率的同时发射与接收,在电阻率计算方面只测量电场或磁场的一个分量来计算全域视电阻率,可以在广大的测区范围进行观测.通过广域视电阻率定义,电磁测深的探测区域由远区推广到了中区,并有望实现近源探测[22 ] . ...
广域电磁法理论及应用研究的新进展
1
2020
... 可控源大地电磁法(CSMT)是在大地电磁基础上发展起来的一种人工源电磁法[1 ] ,由于采用人工场源,克服了大地电磁天然源信号弱、信噪比低的缺点,使该方法在工程勘察、矿产资源勘查以及能源勘查等领域得到应用[2 ⇓ ⇓ ⇓ ⇓ -7 ] .传统的可控源电磁法采用卡尼亚视电阻率进行数据解释,其效果直观,能够良好地反映地下的电性结构,在可控源电磁法解释中发挥了重要作用.但是,卡尼亚电阻率要求在远区进行测量,因为在过渡区进行测量会导致近区视电阻率公式与远区视电阻率公式的近似条件不成立,使计算的视电阻率存在畸变,这使得施工难度大大增加.针对这一问题,国内外许多学者提出了不同的校正方法和不同的视电阻率计算方法:曹昌祺[8 ] 借鉴天然源大地电磁测深,通过CSMT理论曲线与实测曲线的对比,提出由比值法定义视电阻率,改进了波区视电阻率定义方法;Spies等[9 ] 提出基于波阻抗的实部和虚部迭代计算视电阻率的简单方法;殷长春等[10 ] 根据视电阻率定义基本原则,通过迭代从场值中用多项式逼近的方法直接求解视电阻率,并提出针对水平电偶源电场的全新的全区视电阻率定义方式和概念;方文藻等[11 ] 将远区视电阻率乘以校正系数,简便快速地得到全区视电阻率;汤井田等[12 ⇓ -14 ] 提出了求取阻抗实部等效电阻率和用电场定义视电阻率定义的方法,计算较为简便且能够较形象地反映地下介质信息;底青云等[15 ⇓ -17 ] 提出了在近区和远区做近似的过渡区三角形法;毛先进等[18 ] 提出水平电偶源的频率域电磁测深全区视电阻率直接算法;佟铁钢等[19 ] 利用迭代法基于电场分量计算了可控源音频大地电磁全区视电阻率;韩自强等[20 ] 利用二分法计算了电性双极性源全区视电阻定义.这些校正方法与全区视电阻率的提出使非远区的畸变得到很大的改善.近年来,何继善[21 ] 提出了广域视电阻率计算方法,并逐渐发展为广域电磁法.广域电磁法在激发方面采用伪随机信号实现多个频率的同时发射与接收,在电阻率计算方面只测量电场或磁场的一个分量来计算全域视电阻率,可以在广大的测区范围进行观测.通过广域视电阻率定义,电磁测深的探测区域由远区推广到了中区,并有望实现近源探测[22 ] . ...
广域电磁法理论及应用研究的新进展
1
2020
... 可控源大地电磁法(CSMT)是在大地电磁基础上发展起来的一种人工源电磁法[1 ] ,由于采用人工场源,克服了大地电磁天然源信号弱、信噪比低的缺点,使该方法在工程勘察、矿产资源勘查以及能源勘查等领域得到应用[2 ⇓ ⇓ ⇓ ⇓ -7 ] .传统的可控源电磁法采用卡尼亚视电阻率进行数据解释,其效果直观,能够良好地反映地下的电性结构,在可控源电磁法解释中发挥了重要作用.但是,卡尼亚电阻率要求在远区进行测量,因为在过渡区进行测量会导致近区视电阻率公式与远区视电阻率公式的近似条件不成立,使计算的视电阻率存在畸变,这使得施工难度大大增加.针对这一问题,国内外许多学者提出了不同的校正方法和不同的视电阻率计算方法:曹昌祺[8 ] 借鉴天然源大地电磁测深,通过CSMT理论曲线与实测曲线的对比,提出由比值法定义视电阻率,改进了波区视电阻率定义方法;Spies等[9 ] 提出基于波阻抗的实部和虚部迭代计算视电阻率的简单方法;殷长春等[10 ] 根据视电阻率定义基本原则,通过迭代从场值中用多项式逼近的方法直接求解视电阻率,并提出针对水平电偶源电场的全新的全区视电阻率定义方式和概念;方文藻等[11 ] 将远区视电阻率乘以校正系数,简便快速地得到全区视电阻率;汤井田等[12 ⇓ -14 ] 提出了求取阻抗实部等效电阻率和用电场定义视电阻率定义的方法,计算较为简便且能够较形象地反映地下介质信息;底青云等[15 ⇓ -17 ] 提出了在近区和远区做近似的过渡区三角形法;毛先进等[18 ] 提出水平电偶源的频率域电磁测深全区视电阻率直接算法;佟铁钢等[19 ] 利用迭代法基于电场分量计算了可控源音频大地电磁全区视电阻率;韩自强等[20 ] 利用二分法计算了电性双极性源全区视电阻定义.这些校正方法与全区视电阻率的提出使非远区的畸变得到很大的改善.近年来,何继善[21 ] 提出了广域视电阻率计算方法,并逐渐发展为广域电磁法.广域电磁法在激发方面采用伪随机信号实现多个频率的同时发射与接收,在电阻率计算方面只测量电场或磁场的一个分量来计算全域视电阻率,可以在广大的测区范围进行观测.通过广域视电阻率定义,电磁测深的探测区域由远区推广到了中区,并有望实现近源探测[22 ] . ...
水平分层大地的交流视电阻率
1
1978
... 可控源大地电磁法(CSMT)是在大地电磁基础上发展起来的一种人工源电磁法[1 ] ,由于采用人工场源,克服了大地电磁天然源信号弱、信噪比低的缺点,使该方法在工程勘察、矿产资源勘查以及能源勘查等领域得到应用[2 ⇓ ⇓ ⇓ ⇓ -7 ] .传统的可控源电磁法采用卡尼亚视电阻率进行数据解释,其效果直观,能够良好地反映地下的电性结构,在可控源电磁法解释中发挥了重要作用.但是,卡尼亚电阻率要求在远区进行测量,因为在过渡区进行测量会导致近区视电阻率公式与远区视电阻率公式的近似条件不成立,使计算的视电阻率存在畸变,这使得施工难度大大增加.针对这一问题,国内外许多学者提出了不同的校正方法和不同的视电阻率计算方法:曹昌祺[8 ] 借鉴天然源大地电磁测深,通过CSMT理论曲线与实测曲线的对比,提出由比值法定义视电阻率,改进了波区视电阻率定义方法;Spies等[9 ] 提出基于波阻抗的实部和虚部迭代计算视电阻率的简单方法;殷长春等[10 ] 根据视电阻率定义基本原则,通过迭代从场值中用多项式逼近的方法直接求解视电阻率,并提出针对水平电偶源电场的全新的全区视电阻率定义方式和概念;方文藻等[11 ] 将远区视电阻率乘以校正系数,简便快速地得到全区视电阻率;汤井田等[12 ⇓ -14 ] 提出了求取阻抗实部等效电阻率和用电场定义视电阻率定义的方法,计算较为简便且能够较形象地反映地下介质信息;底青云等[15 ⇓ -17 ] 提出了在近区和远区做近似的过渡区三角形法;毛先进等[18 ] 提出水平电偶源的频率域电磁测深全区视电阻率直接算法;佟铁钢等[19 ] 利用迭代法基于电场分量计算了可控源音频大地电磁全区视电阻率;韩自强等[20 ] 利用二分法计算了电性双极性源全区视电阻定义.这些校正方法与全区视电阻率的提出使非远区的畸变得到很大的改善.近年来,何继善[21 ] 提出了广域视电阻率计算方法,并逐渐发展为广域电磁法.广域电磁法在激发方面采用伪随机信号实现多个频率的同时发射与接收,在电阻率计算方面只测量电场或磁场的一个分量来计算全域视电阻率,可以在广大的测区范围进行观测.通过广域视电阻率定义,电磁测深的探测区域由远区推广到了中区,并有望实现近源探测[22 ] . ...
水平分层大地的交流视电阻率
1
1978
... 可控源大地电磁法(CSMT)是在大地电磁基础上发展起来的一种人工源电磁法[1 ] ,由于采用人工场源,克服了大地电磁天然源信号弱、信噪比低的缺点,使该方法在工程勘察、矿产资源勘查以及能源勘查等领域得到应用[2 ⇓ ⇓ ⇓ ⇓ -7 ] .传统的可控源电磁法采用卡尼亚视电阻率进行数据解释,其效果直观,能够良好地反映地下的电性结构,在可控源电磁法解释中发挥了重要作用.但是,卡尼亚电阻率要求在远区进行测量,因为在过渡区进行测量会导致近区视电阻率公式与远区视电阻率公式的近似条件不成立,使计算的视电阻率存在畸变,这使得施工难度大大增加.针对这一问题,国内外许多学者提出了不同的校正方法和不同的视电阻率计算方法:曹昌祺[8 ] 借鉴天然源大地电磁测深,通过CSMT理论曲线与实测曲线的对比,提出由比值法定义视电阻率,改进了波区视电阻率定义方法;Spies等[9 ] 提出基于波阻抗的实部和虚部迭代计算视电阻率的简单方法;殷长春等[10 ] 根据视电阻率定义基本原则,通过迭代从场值中用多项式逼近的方法直接求解视电阻率,并提出针对水平电偶源电场的全新的全区视电阻率定义方式和概念;方文藻等[11 ] 将远区视电阻率乘以校正系数,简便快速地得到全区视电阻率;汤井田等[12 ⇓ -14 ] 提出了求取阻抗实部等效电阻率和用电场定义视电阻率定义的方法,计算较为简便且能够较形象地反映地下介质信息;底青云等[15 ⇓ -17 ] 提出了在近区和远区做近似的过渡区三角形法;毛先进等[18 ] 提出水平电偶源的频率域电磁测深全区视电阻率直接算法;佟铁钢等[19 ] 利用迭代法基于电场分量计算了可控源音频大地电磁全区视电阻率;韩自强等[20 ] 利用二分法计算了电性双极性源全区视电阻定义.这些校正方法与全区视电阻率的提出使非远区的畸变得到很大的改善.近年来,何继善[21 ] 提出了广域视电阻率计算方法,并逐渐发展为广域电磁法.广域电磁法在激发方面采用伪随机信号实现多个频率的同时发射与接收,在电阻率计算方面只测量电场或磁场的一个分量来计算全域视电阻率,可以在广大的测区范围进行观测.通过广域视电阻率定义,电磁测深的探测区域由远区推广到了中区,并有望实现近源探测[22 ] . ...
The use and misuse of apparent resistivity in electromagnetic methods
1
1986
... 可控源大地电磁法(CSMT)是在大地电磁基础上发展起来的一种人工源电磁法[1 ] ,由于采用人工场源,克服了大地电磁天然源信号弱、信噪比低的缺点,使该方法在工程勘察、矿产资源勘查以及能源勘查等领域得到应用[2 ⇓ ⇓ ⇓ ⇓ -7 ] .传统的可控源电磁法采用卡尼亚视电阻率进行数据解释,其效果直观,能够良好地反映地下的电性结构,在可控源电磁法解释中发挥了重要作用.但是,卡尼亚电阻率要求在远区进行测量,因为在过渡区进行测量会导致近区视电阻率公式与远区视电阻率公式的近似条件不成立,使计算的视电阻率存在畸变,这使得施工难度大大增加.针对这一问题,国内外许多学者提出了不同的校正方法和不同的视电阻率计算方法:曹昌祺[8 ] 借鉴天然源大地电磁测深,通过CSMT理论曲线与实测曲线的对比,提出由比值法定义视电阻率,改进了波区视电阻率定义方法;Spies等[9 ] 提出基于波阻抗的实部和虚部迭代计算视电阻率的简单方法;殷长春等[10 ] 根据视电阻率定义基本原则,通过迭代从场值中用多项式逼近的方法直接求解视电阻率,并提出针对水平电偶源电场的全新的全区视电阻率定义方式和概念;方文藻等[11 ] 将远区视电阻率乘以校正系数,简便快速地得到全区视电阻率;汤井田等[12 ⇓ -14 ] 提出了求取阻抗实部等效电阻率和用电场定义视电阻率定义的方法,计算较为简便且能够较形象地反映地下介质信息;底青云等[15 ⇓ -17 ] 提出了在近区和远区做近似的过渡区三角形法;毛先进等[18 ] 提出水平电偶源的频率域电磁测深全区视电阻率直接算法;佟铁钢等[19 ] 利用迭代法基于电场分量计算了可控源音频大地电磁全区视电阻率;韩自强等[20 ] 利用二分法计算了电性双极性源全区视电阻定义.这些校正方法与全区视电阻率的提出使非远区的畸变得到很大的改善.近年来,何继善[21 ] 提出了广域视电阻率计算方法,并逐渐发展为广域电磁法.广域电磁法在激发方面采用伪随机信号实现多个频率的同时发射与接收,在电阻率计算方面只测量电场或磁场的一个分量来计算全域视电阻率,可以在广大的测区范围进行观测.通过广域视电阻率定义,电磁测深的探测区域由远区推广到了中区,并有望实现近源探测[22 ] . ...
电磁测深法视电阻率定义问题的研究
1
1991
... 可控源大地电磁法(CSMT)是在大地电磁基础上发展起来的一种人工源电磁法[1 ] ,由于采用人工场源,克服了大地电磁天然源信号弱、信噪比低的缺点,使该方法在工程勘察、矿产资源勘查以及能源勘查等领域得到应用[2 ⇓ ⇓ ⇓ ⇓ -7 ] .传统的可控源电磁法采用卡尼亚视电阻率进行数据解释,其效果直观,能够良好地反映地下的电性结构,在可控源电磁法解释中发挥了重要作用.但是,卡尼亚电阻率要求在远区进行测量,因为在过渡区进行测量会导致近区视电阻率公式与远区视电阻率公式的近似条件不成立,使计算的视电阻率存在畸变,这使得施工难度大大增加.针对这一问题,国内外许多学者提出了不同的校正方法和不同的视电阻率计算方法:曹昌祺[8 ] 借鉴天然源大地电磁测深,通过CSMT理论曲线与实测曲线的对比,提出由比值法定义视电阻率,改进了波区视电阻率定义方法;Spies等[9 ] 提出基于波阻抗的实部和虚部迭代计算视电阻率的简单方法;殷长春等[10 ] 根据视电阻率定义基本原则,通过迭代从场值中用多项式逼近的方法直接求解视电阻率,并提出针对水平电偶源电场的全新的全区视电阻率定义方式和概念;方文藻等[11 ] 将远区视电阻率乘以校正系数,简便快速地得到全区视电阻率;汤井田等[12 ⇓ -14 ] 提出了求取阻抗实部等效电阻率和用电场定义视电阻率定义的方法,计算较为简便且能够较形象地反映地下介质信息;底青云等[15 ⇓ -17 ] 提出了在近区和远区做近似的过渡区三角形法;毛先进等[18 ] 提出水平电偶源的频率域电磁测深全区视电阻率直接算法;佟铁钢等[19 ] 利用迭代法基于电场分量计算了可控源音频大地电磁全区视电阻率;韩自强等[20 ] 利用二分法计算了电性双极性源全区视电阻定义.这些校正方法与全区视电阻率的提出使非远区的畸变得到很大的改善.近年来,何继善[21 ] 提出了广域视电阻率计算方法,并逐渐发展为广域电磁法.广域电磁法在激发方面采用伪随机信号实现多个频率的同时发射与接收,在电阻率计算方面只测量电场或磁场的一个分量来计算全域视电阻率,可以在广大的测区范围进行观测.通过广域视电阻率定义,电磁测深的探测区域由远区推广到了中区,并有望实现近源探测[22 ] . ...
电磁测深法视电阻率定义问题的研究
1
1991
... 可控源大地电磁法(CSMT)是在大地电磁基础上发展起来的一种人工源电磁法[1 ] ,由于采用人工场源,克服了大地电磁天然源信号弱、信噪比低的缺点,使该方法在工程勘察、矿产资源勘查以及能源勘查等领域得到应用[2 ⇓ ⇓ ⇓ ⇓ -7 ] .传统的可控源电磁法采用卡尼亚视电阻率进行数据解释,其效果直观,能够良好地反映地下的电性结构,在可控源电磁法解释中发挥了重要作用.但是,卡尼亚电阻率要求在远区进行测量,因为在过渡区进行测量会导致近区视电阻率公式与远区视电阻率公式的近似条件不成立,使计算的视电阻率存在畸变,这使得施工难度大大增加.针对这一问题,国内外许多学者提出了不同的校正方法和不同的视电阻率计算方法:曹昌祺[8 ] 借鉴天然源大地电磁测深,通过CSMT理论曲线与实测曲线的对比,提出由比值法定义视电阻率,改进了波区视电阻率定义方法;Spies等[9 ] 提出基于波阻抗的实部和虚部迭代计算视电阻率的简单方法;殷长春等[10 ] 根据视电阻率定义基本原则,通过迭代从场值中用多项式逼近的方法直接求解视电阻率,并提出针对水平电偶源电场的全新的全区视电阻率定义方式和概念;方文藻等[11 ] 将远区视电阻率乘以校正系数,简便快速地得到全区视电阻率;汤井田等[12 ⇓ -14 ] 提出了求取阻抗实部等效电阻率和用电场定义视电阻率定义的方法,计算较为简便且能够较形象地反映地下介质信息;底青云等[15 ⇓ -17 ] 提出了在近区和远区做近似的过渡区三角形法;毛先进等[18 ] 提出水平电偶源的频率域电磁测深全区视电阻率直接算法;佟铁钢等[19 ] 利用迭代法基于电场分量计算了可控源音频大地电磁全区视电阻率;韩自强等[20 ] 利用二分法计算了电性双极性源全区视电阻定义.这些校正方法与全区视电阻率的提出使非远区的畸变得到很大的改善.近年来,何继善[21 ] 提出了广域视电阻率计算方法,并逐渐发展为广域电磁法.广域电磁法在激发方面采用伪随机信号实现多个频率的同时发射与接收,在电阻率计算方面只测量电场或磁场的一个分量来计算全域视电阻率,可以在广大的测区范围进行观测.通过广域视电阻率定义,电磁测深的探测区域由远区推广到了中区,并有望实现近源探测[22 ] . ...
频率域电磁法中视电阻率全区定义
1
1992
... 可控源大地电磁法(CSMT)是在大地电磁基础上发展起来的一种人工源电磁法[1 ] ,由于采用人工场源,克服了大地电磁天然源信号弱、信噪比低的缺点,使该方法在工程勘察、矿产资源勘查以及能源勘查等领域得到应用[2 ⇓ ⇓ ⇓ ⇓ -7 ] .传统的可控源电磁法采用卡尼亚视电阻率进行数据解释,其效果直观,能够良好地反映地下的电性结构,在可控源电磁法解释中发挥了重要作用.但是,卡尼亚电阻率要求在远区进行测量,因为在过渡区进行测量会导致近区视电阻率公式与远区视电阻率公式的近似条件不成立,使计算的视电阻率存在畸变,这使得施工难度大大增加.针对这一问题,国内外许多学者提出了不同的校正方法和不同的视电阻率计算方法:曹昌祺[8 ] 借鉴天然源大地电磁测深,通过CSMT理论曲线与实测曲线的对比,提出由比值法定义视电阻率,改进了波区视电阻率定义方法;Spies等[9 ] 提出基于波阻抗的实部和虚部迭代计算视电阻率的简单方法;殷长春等[10 ] 根据视电阻率定义基本原则,通过迭代从场值中用多项式逼近的方法直接求解视电阻率,并提出针对水平电偶源电场的全新的全区视电阻率定义方式和概念;方文藻等[11 ] 将远区视电阻率乘以校正系数,简便快速地得到全区视电阻率;汤井田等[12 ⇓ -14 ] 提出了求取阻抗实部等效电阻率和用电场定义视电阻率定义的方法,计算较为简便且能够较形象地反映地下介质信息;底青云等[15 ⇓ -17 ] 提出了在近区和远区做近似的过渡区三角形法;毛先进等[18 ] 提出水平电偶源的频率域电磁测深全区视电阻率直接算法;佟铁钢等[19 ] 利用迭代法基于电场分量计算了可控源音频大地电磁全区视电阻率;韩自强等[20 ] 利用二分法计算了电性双极性源全区视电阻定义.这些校正方法与全区视电阻率的提出使非远区的畸变得到很大的改善.近年来,何继善[21 ] 提出了广域视电阻率计算方法,并逐渐发展为广域电磁法.广域电磁法在激发方面采用伪随机信号实现多个频率的同时发射与接收,在电阻率计算方面只测量电场或磁场的一个分量来计算全域视电阻率,可以在广大的测区范围进行观测.通过广域视电阻率定义,电磁测深的探测区域由远区推广到了中区,并有望实现近源探测[22 ] . ...
频率域电磁法中视电阻率全区定义
1
1992
... 可控源大地电磁法(CSMT)是在大地电磁基础上发展起来的一种人工源电磁法[1 ] ,由于采用人工场源,克服了大地电磁天然源信号弱、信噪比低的缺点,使该方法在工程勘察、矿产资源勘查以及能源勘查等领域得到应用[2 ⇓ ⇓ ⇓ ⇓ -7 ] .传统的可控源电磁法采用卡尼亚视电阻率进行数据解释,其效果直观,能够良好地反映地下的电性结构,在可控源电磁法解释中发挥了重要作用.但是,卡尼亚电阻率要求在远区进行测量,因为在过渡区进行测量会导致近区视电阻率公式与远区视电阻率公式的近似条件不成立,使计算的视电阻率存在畸变,这使得施工难度大大增加.针对这一问题,国内外许多学者提出了不同的校正方法和不同的视电阻率计算方法:曹昌祺[8 ] 借鉴天然源大地电磁测深,通过CSMT理论曲线与实测曲线的对比,提出由比值法定义视电阻率,改进了波区视电阻率定义方法;Spies等[9 ] 提出基于波阻抗的实部和虚部迭代计算视电阻率的简单方法;殷长春等[10 ] 根据视电阻率定义基本原则,通过迭代从场值中用多项式逼近的方法直接求解视电阻率,并提出针对水平电偶源电场的全新的全区视电阻率定义方式和概念;方文藻等[11 ] 将远区视电阻率乘以校正系数,简便快速地得到全区视电阻率;汤井田等[12 ⇓ -14 ] 提出了求取阻抗实部等效电阻率和用电场定义视电阻率定义的方法,计算较为简便且能够较形象地反映地下介质信息;底青云等[15 ⇓ -17 ] 提出了在近区和远区做近似的过渡区三角形法;毛先进等[18 ] 提出水平电偶源的频率域电磁测深全区视电阻率直接算法;佟铁钢等[19 ] 利用迭代法基于电场分量计算了可控源音频大地电磁全区视电阻率;韩自强等[20 ] 利用二分法计算了电性双极性源全区视电阻定义.这些校正方法与全区视电阻率的提出使非远区的畸变得到很大的改善.近年来,何继善[21 ] 提出了广域视电阻率计算方法,并逐渐发展为广域电磁法.广域电磁法在激发方面采用伪随机信号实现多个频率的同时发射与接收,在电阻率计算方面只测量电场或磁场的一个分量来计算全域视电阻率,可以在广大的测区范围进行观测.通过广域视电阻率定义,电磁测深的探测区域由远区推广到了中区,并有望实现近源探测[22 ] . ...
水平电偶源频率测深中全区视电阻率定义的新方法
1
1994
... 可控源大地电磁法(CSMT)是在大地电磁基础上发展起来的一种人工源电磁法[1 ] ,由于采用人工场源,克服了大地电磁天然源信号弱、信噪比低的缺点,使该方法在工程勘察、矿产资源勘查以及能源勘查等领域得到应用[2 ⇓ ⇓ ⇓ ⇓ -7 ] .传统的可控源电磁法采用卡尼亚视电阻率进行数据解释,其效果直观,能够良好地反映地下的电性结构,在可控源电磁法解释中发挥了重要作用.但是,卡尼亚电阻率要求在远区进行测量,因为在过渡区进行测量会导致近区视电阻率公式与远区视电阻率公式的近似条件不成立,使计算的视电阻率存在畸变,这使得施工难度大大增加.针对这一问题,国内外许多学者提出了不同的校正方法和不同的视电阻率计算方法:曹昌祺[8 ] 借鉴天然源大地电磁测深,通过CSMT理论曲线与实测曲线的对比,提出由比值法定义视电阻率,改进了波区视电阻率定义方法;Spies等[9 ] 提出基于波阻抗的实部和虚部迭代计算视电阻率的简单方法;殷长春等[10 ] 根据视电阻率定义基本原则,通过迭代从场值中用多项式逼近的方法直接求解视电阻率,并提出针对水平电偶源电场的全新的全区视电阻率定义方式和概念;方文藻等[11 ] 将远区视电阻率乘以校正系数,简便快速地得到全区视电阻率;汤井田等[12 ⇓ -14 ] 提出了求取阻抗实部等效电阻率和用电场定义视电阻率定义的方法,计算较为简便且能够较形象地反映地下介质信息;底青云等[15 ⇓ -17 ] 提出了在近区和远区做近似的过渡区三角形法;毛先进等[18 ] 提出水平电偶源的频率域电磁测深全区视电阻率直接算法;佟铁钢等[19 ] 利用迭代法基于电场分量计算了可控源音频大地电磁全区视电阻率;韩自强等[20 ] 利用二分法计算了电性双极性源全区视电阻定义.这些校正方法与全区视电阻率的提出使非远区的畸变得到很大的改善.近年来,何继善[21 ] 提出了广域视电阻率计算方法,并逐渐发展为广域电磁法.广域电磁法在激发方面采用伪随机信号实现多个频率的同时发射与接收,在电阻率计算方面只测量电场或磁场的一个分量来计算全域视电阻率,可以在广大的测区范围进行观测.通过广域视电阻率定义,电磁测深的探测区域由远区推广到了中区,并有望实现近源探测[22 ] . ...
水平电偶源频率测深中全区视电阻率定义的新方法
1
1994
... 可控源大地电磁法(CSMT)是在大地电磁基础上发展起来的一种人工源电磁法[1 ] ,由于采用人工场源,克服了大地电磁天然源信号弱、信噪比低的缺点,使该方法在工程勘察、矿产资源勘查以及能源勘查等领域得到应用[2 ⇓ ⇓ ⇓ ⇓ -7 ] .传统的可控源电磁法采用卡尼亚视电阻率进行数据解释,其效果直观,能够良好地反映地下的电性结构,在可控源电磁法解释中发挥了重要作用.但是,卡尼亚电阻率要求在远区进行测量,因为在过渡区进行测量会导致近区视电阻率公式与远区视电阻率公式的近似条件不成立,使计算的视电阻率存在畸变,这使得施工难度大大增加.针对这一问题,国内外许多学者提出了不同的校正方法和不同的视电阻率计算方法:曹昌祺[8 ] 借鉴天然源大地电磁测深,通过CSMT理论曲线与实测曲线的对比,提出由比值法定义视电阻率,改进了波区视电阻率定义方法;Spies等[9 ] 提出基于波阻抗的实部和虚部迭代计算视电阻率的简单方法;殷长春等[10 ] 根据视电阻率定义基本原则,通过迭代从场值中用多项式逼近的方法直接求解视电阻率,并提出针对水平电偶源电场的全新的全区视电阻率定义方式和概念;方文藻等[11 ] 将远区视电阻率乘以校正系数,简便快速地得到全区视电阻率;汤井田等[12 ⇓ -14 ] 提出了求取阻抗实部等效电阻率和用电场定义视电阻率定义的方法,计算较为简便且能够较形象地反映地下介质信息;底青云等[15 ⇓ -17 ] 提出了在近区和远区做近似的过渡区三角形法;毛先进等[18 ] 提出水平电偶源的频率域电磁测深全区视电阻率直接算法;佟铁钢等[19 ] 利用迭代法基于电场分量计算了可控源音频大地电磁全区视电阻率;韩自强等[20 ] 利用二分法计算了电性双极性源全区视电阻定义.这些校正方法与全区视电阻率的提出使非远区的畸变得到很大的改善.近年来,何继善[21 ] 提出了广域视电阻率计算方法,并逐渐发展为广域电磁法.广域电磁法在激发方面采用伪随机信号实现多个频率的同时发射与接收,在电阻率计算方面只测量电场或磁场的一个分量来计算全域视电阻率,可以在广大的测区范围进行观测.通过广域视电阻率定义,电磁测深的探测区域由远区推广到了中区,并有望实现近源探测[22 ] . ...
CSAMT电场y方向视电阻率的定义及研究
1
2011
... 可控源大地电磁法(CSMT)是在大地电磁基础上发展起来的一种人工源电磁法[1 ] ,由于采用人工场源,克服了大地电磁天然源信号弱、信噪比低的缺点,使该方法在工程勘察、矿产资源勘查以及能源勘查等领域得到应用[2 ⇓ ⇓ ⇓ ⇓ -7 ] .传统的可控源电磁法采用卡尼亚视电阻率进行数据解释,其效果直观,能够良好地反映地下的电性结构,在可控源电磁法解释中发挥了重要作用.但是,卡尼亚电阻率要求在远区进行测量,因为在过渡区进行测量会导致近区视电阻率公式与远区视电阻率公式的近似条件不成立,使计算的视电阻率存在畸变,这使得施工难度大大增加.针对这一问题,国内外许多学者提出了不同的校正方法和不同的视电阻率计算方法:曹昌祺[8 ] 借鉴天然源大地电磁测深,通过CSMT理论曲线与实测曲线的对比,提出由比值法定义视电阻率,改进了波区视电阻率定义方法;Spies等[9 ] 提出基于波阻抗的实部和虚部迭代计算视电阻率的简单方法;殷长春等[10 ] 根据视电阻率定义基本原则,通过迭代从场值中用多项式逼近的方法直接求解视电阻率,并提出针对水平电偶源电场的全新的全区视电阻率定义方式和概念;方文藻等[11 ] 将远区视电阻率乘以校正系数,简便快速地得到全区视电阻率;汤井田等[12 ⇓ -14 ] 提出了求取阻抗实部等效电阻率和用电场定义视电阻率定义的方法,计算较为简便且能够较形象地反映地下介质信息;底青云等[15 ⇓ -17 ] 提出了在近区和远区做近似的过渡区三角形法;毛先进等[18 ] 提出水平电偶源的频率域电磁测深全区视电阻率直接算法;佟铁钢等[19 ] 利用迭代法基于电场分量计算了可控源音频大地电磁全区视电阻率;韩自强等[20 ] 利用二分法计算了电性双极性源全区视电阻定义.这些校正方法与全区视电阻率的提出使非远区的畸变得到很大的改善.近年来,何继善[21 ] 提出了广域视电阻率计算方法,并逐渐发展为广域电磁法.广域电磁法在激发方面采用伪随机信号实现多个频率的同时发射与接收,在电阻率计算方面只测量电场或磁场的一个分量来计算全域视电阻率,可以在广大的测区范围进行观测.通过广域视电阻率定义,电磁测深的探测区域由远区推广到了中区,并有望实现近源探测[22 ] . ...
CSAMT电场y方向视电阻率的定义及研究
1
2011
... 可控源大地电磁法(CSMT)是在大地电磁基础上发展起来的一种人工源电磁法[1 ] ,由于采用人工场源,克服了大地电磁天然源信号弱、信噪比低的缺点,使该方法在工程勘察、矿产资源勘查以及能源勘查等领域得到应用[2 ⇓ ⇓ ⇓ ⇓ -7 ] .传统的可控源电磁法采用卡尼亚视电阻率进行数据解释,其效果直观,能够良好地反映地下的电性结构,在可控源电磁法解释中发挥了重要作用.但是,卡尼亚电阻率要求在远区进行测量,因为在过渡区进行测量会导致近区视电阻率公式与远区视电阻率公式的近似条件不成立,使计算的视电阻率存在畸变,这使得施工难度大大增加.针对这一问题,国内外许多学者提出了不同的校正方法和不同的视电阻率计算方法:曹昌祺[8 ] 借鉴天然源大地电磁测深,通过CSMT理论曲线与实测曲线的对比,提出由比值法定义视电阻率,改进了波区视电阻率定义方法;Spies等[9 ] 提出基于波阻抗的实部和虚部迭代计算视电阻率的简单方法;殷长春等[10 ] 根据视电阻率定义基本原则,通过迭代从场值中用多项式逼近的方法直接求解视电阻率,并提出针对水平电偶源电场的全新的全区视电阻率定义方式和概念;方文藻等[11 ] 将远区视电阻率乘以校正系数,简便快速地得到全区视电阻率;汤井田等[12 ⇓ -14 ] 提出了求取阻抗实部等效电阻率和用电场定义视电阻率定义的方法,计算较为简便且能够较形象地反映地下介质信息;底青云等[15 ⇓ -17 ] 提出了在近区和远区做近似的过渡区三角形法;毛先进等[18 ] 提出水平电偶源的频率域电磁测深全区视电阻率直接算法;佟铁钢等[19 ] 利用迭代法基于电场分量计算了可控源音频大地电磁全区视电阻率;韩自强等[20 ] 利用二分法计算了电性双极性源全区视电阻定义.这些校正方法与全区视电阻率的提出使非远区的畸变得到很大的改善.近年来,何继善[21 ] 提出了广域视电阻率计算方法,并逐渐发展为广域电磁法.广域电磁法在激发方面采用伪随机信号实现多个频率的同时发射与接收,在电阻率计算方面只测量电场或磁场的一个分量来计算全域视电阻率,可以在广大的测区范围进行观测.通过广域视电阻率定义,电磁测深的探测区域由远区推广到了中区,并有望实现近源探测[22 ] . ...
1
2005
... 可控源大地电磁法(CSMT)是在大地电磁基础上发展起来的一种人工源电磁法[1 ] ,由于采用人工场源,克服了大地电磁天然源信号弱、信噪比低的缺点,使该方法在工程勘察、矿产资源勘查以及能源勘查等领域得到应用[2 ⇓ ⇓ ⇓ ⇓ -7 ] .传统的可控源电磁法采用卡尼亚视电阻率进行数据解释,其效果直观,能够良好地反映地下的电性结构,在可控源电磁法解释中发挥了重要作用.但是,卡尼亚电阻率要求在远区进行测量,因为在过渡区进行测量会导致近区视电阻率公式与远区视电阻率公式的近似条件不成立,使计算的视电阻率存在畸变,这使得施工难度大大增加.针对这一问题,国内外许多学者提出了不同的校正方法和不同的视电阻率计算方法:曹昌祺[8 ] 借鉴天然源大地电磁测深,通过CSMT理论曲线与实测曲线的对比,提出由比值法定义视电阻率,改进了波区视电阻率定义方法;Spies等[9 ] 提出基于波阻抗的实部和虚部迭代计算视电阻率的简单方法;殷长春等[10 ] 根据视电阻率定义基本原则,通过迭代从场值中用多项式逼近的方法直接求解视电阻率,并提出针对水平电偶源电场的全新的全区视电阻率定义方式和概念;方文藻等[11 ] 将远区视电阻率乘以校正系数,简便快速地得到全区视电阻率;汤井田等[12 ⇓ -14 ] 提出了求取阻抗实部等效电阻率和用电场定义视电阻率定义的方法,计算较为简便且能够较形象地反映地下介质信息;底青云等[15 ⇓ -17 ] 提出了在近区和远区做近似的过渡区三角形法;毛先进等[18 ] 提出水平电偶源的频率域电磁测深全区视电阻率直接算法;佟铁钢等[19 ] 利用迭代法基于电场分量计算了可控源音频大地电磁全区视电阻率;韩自强等[20 ] 利用二分法计算了电性双极性源全区视电阻定义.这些校正方法与全区视电阻率的提出使非远区的畸变得到很大的改善.近年来,何继善[21 ] 提出了广域视电阻率计算方法,并逐渐发展为广域电磁法.广域电磁法在激发方面采用伪随机信号实现多个频率的同时发射与接收,在电阻率计算方面只测量电场或磁场的一个分量来计算全域视电阻率,可以在广大的测区范围进行观测.通过广域视电阻率定义,电磁测深的探测区域由远区推广到了中区,并有望实现近源探测[22 ] . ...
1
2005
... 可控源大地电磁法(CSMT)是在大地电磁基础上发展起来的一种人工源电磁法[1 ] ,由于采用人工场源,克服了大地电磁天然源信号弱、信噪比低的缺点,使该方法在工程勘察、矿产资源勘查以及能源勘查等领域得到应用[2 ⇓ ⇓ ⇓ ⇓ -7 ] .传统的可控源电磁法采用卡尼亚视电阻率进行数据解释,其效果直观,能够良好地反映地下的电性结构,在可控源电磁法解释中发挥了重要作用.但是,卡尼亚电阻率要求在远区进行测量,因为在过渡区进行测量会导致近区视电阻率公式与远区视电阻率公式的近似条件不成立,使计算的视电阻率存在畸变,这使得施工难度大大增加.针对这一问题,国内外许多学者提出了不同的校正方法和不同的视电阻率计算方法:曹昌祺[8 ] 借鉴天然源大地电磁测深,通过CSMT理论曲线与实测曲线的对比,提出由比值法定义视电阻率,改进了波区视电阻率定义方法;Spies等[9 ] 提出基于波阻抗的实部和虚部迭代计算视电阻率的简单方法;殷长春等[10 ] 根据视电阻率定义基本原则,通过迭代从场值中用多项式逼近的方法直接求解视电阻率,并提出针对水平电偶源电场的全新的全区视电阻率定义方式和概念;方文藻等[11 ] 将远区视电阻率乘以校正系数,简便快速地得到全区视电阻率;汤井田等[12 ⇓ -14 ] 提出了求取阻抗实部等效电阻率和用电场定义视电阻率定义的方法,计算较为简便且能够较形象地反映地下介质信息;底青云等[15 ⇓ -17 ] 提出了在近区和远区做近似的过渡区三角形法;毛先进等[18 ] 提出水平电偶源的频率域电磁测深全区视电阻率直接算法;佟铁钢等[19 ] 利用迭代法基于电场分量计算了可控源音频大地电磁全区视电阻率;韩自强等[20 ] 利用二分法计算了电性双极性源全区视电阻定义.这些校正方法与全区视电阻率的提出使非远区的畸变得到很大的改善.近年来,何继善[21 ] 提出了广域视电阻率计算方法,并逐渐发展为广域电磁法.广域电磁法在激发方面采用伪随机信号实现多个频率的同时发射与接收,在电阻率计算方面只测量电场或磁场的一个分量来计算全域视电阻率,可以在广大的测区范围进行观测.通过广域视电阻率定义,电磁测深的探测区域由远区推广到了中区,并有望实现近源探测[22 ] . ...
1
2008
... 可控源大地电磁法(CSMT)是在大地电磁基础上发展起来的一种人工源电磁法[1 ] ,由于采用人工场源,克服了大地电磁天然源信号弱、信噪比低的缺点,使该方法在工程勘察、矿产资源勘查以及能源勘查等领域得到应用[2 ⇓ ⇓ ⇓ ⇓ -7 ] .传统的可控源电磁法采用卡尼亚视电阻率进行数据解释,其效果直观,能够良好地反映地下的电性结构,在可控源电磁法解释中发挥了重要作用.但是,卡尼亚电阻率要求在远区进行测量,因为在过渡区进行测量会导致近区视电阻率公式与远区视电阻率公式的近似条件不成立,使计算的视电阻率存在畸变,这使得施工难度大大增加.针对这一问题,国内外许多学者提出了不同的校正方法和不同的视电阻率计算方法:曹昌祺[8 ] 借鉴天然源大地电磁测深,通过CSMT理论曲线与实测曲线的对比,提出由比值法定义视电阻率,改进了波区视电阻率定义方法;Spies等[9 ] 提出基于波阻抗的实部和虚部迭代计算视电阻率的简单方法;殷长春等[10 ] 根据视电阻率定义基本原则,通过迭代从场值中用多项式逼近的方法直接求解视电阻率,并提出针对水平电偶源电场的全新的全区视电阻率定义方式和概念;方文藻等[11 ] 将远区视电阻率乘以校正系数,简便快速地得到全区视电阻率;汤井田等[12 ⇓ -14 ] 提出了求取阻抗实部等效电阻率和用电场定义视电阻率定义的方法,计算较为简便且能够较形象地反映地下介质信息;底青云等[15 ⇓ -17 ] 提出了在近区和远区做近似的过渡区三角形法;毛先进等[18 ] 提出水平电偶源的频率域电磁测深全区视电阻率直接算法;佟铁钢等[19 ] 利用迭代法基于电场分量计算了可控源音频大地电磁全区视电阻率;韩自强等[20 ] 利用二分法计算了电性双极性源全区视电阻定义.这些校正方法与全区视电阻率的提出使非远区的畸变得到很大的改善.近年来,何继善[21 ] 提出了广域视电阻率计算方法,并逐渐发展为广域电磁法.广域电磁法在激发方面采用伪随机信号实现多个频率的同时发射与接收,在电阻率计算方面只测量电场或磁场的一个分量来计算全域视电阻率,可以在广大的测区范围进行观测.通过广域视电阻率定义,电磁测深的探测区域由远区推广到了中区,并有望实现近源探测[22 ] . ...
1
2008
... 可控源大地电磁法(CSMT)是在大地电磁基础上发展起来的一种人工源电磁法[1 ] ,由于采用人工场源,克服了大地电磁天然源信号弱、信噪比低的缺点,使该方法在工程勘察、矿产资源勘查以及能源勘查等领域得到应用[2 ⇓ ⇓ ⇓ ⇓ -7 ] .传统的可控源电磁法采用卡尼亚视电阻率进行数据解释,其效果直观,能够良好地反映地下的电性结构,在可控源电磁法解释中发挥了重要作用.但是,卡尼亚电阻率要求在远区进行测量,因为在过渡区进行测量会导致近区视电阻率公式与远区视电阻率公式的近似条件不成立,使计算的视电阻率存在畸变,这使得施工难度大大增加.针对这一问题,国内外许多学者提出了不同的校正方法和不同的视电阻率计算方法:曹昌祺[8 ] 借鉴天然源大地电磁测深,通过CSMT理论曲线与实测曲线的对比,提出由比值法定义视电阻率,改进了波区视电阻率定义方法;Spies等[9 ] 提出基于波阻抗的实部和虚部迭代计算视电阻率的简单方法;殷长春等[10 ] 根据视电阻率定义基本原则,通过迭代从场值中用多项式逼近的方法直接求解视电阻率,并提出针对水平电偶源电场的全新的全区视电阻率定义方式和概念;方文藻等[11 ] 将远区视电阻率乘以校正系数,简便快速地得到全区视电阻率;汤井田等[12 ⇓ -14 ] 提出了求取阻抗实部等效电阻率和用电场定义视电阻率定义的方法,计算较为简便且能够较形象地反映地下介质信息;底青云等[15 ⇓ -17 ] 提出了在近区和远区做近似的过渡区三角形法;毛先进等[18 ] 提出水平电偶源的频率域电磁测深全区视电阻率直接算法;佟铁钢等[19 ] 利用迭代法基于电场分量计算了可控源音频大地电磁全区视电阻率;韩自强等[20 ] 利用二分法计算了电性双极性源全区视电阻定义.这些校正方法与全区视电阻率的提出使非远区的畸变得到很大的改善.近年来,何继善[21 ] 提出了广域视电阻率计算方法,并逐渐发展为广域电磁法.广域电磁法在激发方面采用伪随机信号实现多个频率的同时发射与接收,在电阻率计算方面只测量电场或磁场的一个分量来计算全域视电阻率,可以在广大的测区范围进行观测.通过广域视电阻率定义,电磁测深的探测区域由远区推广到了中区,并有望实现近源探测[22 ] . ...
1
2013
... 可控源大地电磁法(CSMT)是在大地电磁基础上发展起来的一种人工源电磁法[1 ] ,由于采用人工场源,克服了大地电磁天然源信号弱、信噪比低的缺点,使该方法在工程勘察、矿产资源勘查以及能源勘查等领域得到应用[2 ⇓ ⇓ ⇓ ⇓ -7 ] .传统的可控源电磁法采用卡尼亚视电阻率进行数据解释,其效果直观,能够良好地反映地下的电性结构,在可控源电磁法解释中发挥了重要作用.但是,卡尼亚电阻率要求在远区进行测量,因为在过渡区进行测量会导致近区视电阻率公式与远区视电阻率公式的近似条件不成立,使计算的视电阻率存在畸变,这使得施工难度大大增加.针对这一问题,国内外许多学者提出了不同的校正方法和不同的视电阻率计算方法:曹昌祺[8 ] 借鉴天然源大地电磁测深,通过CSMT理论曲线与实测曲线的对比,提出由比值法定义视电阻率,改进了波区视电阻率定义方法;Spies等[9 ] 提出基于波阻抗的实部和虚部迭代计算视电阻率的简单方法;殷长春等[10 ] 根据视电阻率定义基本原则,通过迭代从场值中用多项式逼近的方法直接求解视电阻率,并提出针对水平电偶源电场的全新的全区视电阻率定义方式和概念;方文藻等[11 ] 将远区视电阻率乘以校正系数,简便快速地得到全区视电阻率;汤井田等[12 ⇓ -14 ] 提出了求取阻抗实部等效电阻率和用电场定义视电阻率定义的方法,计算较为简便且能够较形象地反映地下介质信息;底青云等[15 ⇓ -17 ] 提出了在近区和远区做近似的过渡区三角形法;毛先进等[18 ] 提出水平电偶源的频率域电磁测深全区视电阻率直接算法;佟铁钢等[19 ] 利用迭代法基于电场分量计算了可控源音频大地电磁全区视电阻率;韩自强等[20 ] 利用二分法计算了电性双极性源全区视电阻定义.这些校正方法与全区视电阻率的提出使非远区的畸变得到很大的改善.近年来,何继善[21 ] 提出了广域视电阻率计算方法,并逐渐发展为广域电磁法.广域电磁法在激发方面采用伪随机信号实现多个频率的同时发射与接收,在电阻率计算方面只测量电场或磁场的一个分量来计算全域视电阻率,可以在广大的测区范围进行观测.通过广域视电阻率定义,电磁测深的探测区域由远区推广到了中区,并有望实现近源探测[22 ] . ...
1
2013
... 可控源大地电磁法(CSMT)是在大地电磁基础上发展起来的一种人工源电磁法[1 ] ,由于采用人工场源,克服了大地电磁天然源信号弱、信噪比低的缺点,使该方法在工程勘察、矿产资源勘查以及能源勘查等领域得到应用[2 ⇓ ⇓ ⇓ ⇓ -7 ] .传统的可控源电磁法采用卡尼亚视电阻率进行数据解释,其效果直观,能够良好地反映地下的电性结构,在可控源电磁法解释中发挥了重要作用.但是,卡尼亚电阻率要求在远区进行测量,因为在过渡区进行测量会导致近区视电阻率公式与远区视电阻率公式的近似条件不成立,使计算的视电阻率存在畸变,这使得施工难度大大增加.针对这一问题,国内外许多学者提出了不同的校正方法和不同的视电阻率计算方法:曹昌祺[8 ] 借鉴天然源大地电磁测深,通过CSMT理论曲线与实测曲线的对比,提出由比值法定义视电阻率,改进了波区视电阻率定义方法;Spies等[9 ] 提出基于波阻抗的实部和虚部迭代计算视电阻率的简单方法;殷长春等[10 ] 根据视电阻率定义基本原则,通过迭代从场值中用多项式逼近的方法直接求解视电阻率,并提出针对水平电偶源电场的全新的全区视电阻率定义方式和概念;方文藻等[11 ] 将远区视电阻率乘以校正系数,简便快速地得到全区视电阻率;汤井田等[12 ⇓ -14 ] 提出了求取阻抗实部等效电阻率和用电场定义视电阻率定义的方法,计算较为简便且能够较形象地反映地下介质信息;底青云等[15 ⇓ -17 ] 提出了在近区和远区做近似的过渡区三角形法;毛先进等[18 ] 提出水平电偶源的频率域电磁测深全区视电阻率直接算法;佟铁钢等[19 ] 利用迭代法基于电场分量计算了可控源音频大地电磁全区视电阻率;韩自强等[20 ] 利用二分法计算了电性双极性源全区视电阻定义.这些校正方法与全区视电阻率的提出使非远区的畸变得到很大的改善.近年来,何继善[21 ] 提出了广域视电阻率计算方法,并逐渐发展为广域电磁法.广域电磁法在激发方面采用伪随机信号实现多个频率的同时发射与接收,在电阻率计算方面只测量电场或磁场的一个分量来计算全域视电阻率,可以在广大的测区范围进行观测.通过广域视电阻率定义,电磁测深的探测区域由远区推广到了中区,并有望实现近源探测[22 ] . ...
基于牛顿迭代法和遗传算法的CSAMT近场校正
1
2018
... 可控源大地电磁法(CSMT)是在大地电磁基础上发展起来的一种人工源电磁法[1 ] ,由于采用人工场源,克服了大地电磁天然源信号弱、信噪比低的缺点,使该方法在工程勘察、矿产资源勘查以及能源勘查等领域得到应用[2 ⇓ ⇓ ⇓ ⇓ -7 ] .传统的可控源电磁法采用卡尼亚视电阻率进行数据解释,其效果直观,能够良好地反映地下的电性结构,在可控源电磁法解释中发挥了重要作用.但是,卡尼亚电阻率要求在远区进行测量,因为在过渡区进行测量会导致近区视电阻率公式与远区视电阻率公式的近似条件不成立,使计算的视电阻率存在畸变,这使得施工难度大大增加.针对这一问题,国内外许多学者提出了不同的校正方法和不同的视电阻率计算方法:曹昌祺[8 ] 借鉴天然源大地电磁测深,通过CSMT理论曲线与实测曲线的对比,提出由比值法定义视电阻率,改进了波区视电阻率定义方法;Spies等[9 ] 提出基于波阻抗的实部和虚部迭代计算视电阻率的简单方法;殷长春等[10 ] 根据视电阻率定义基本原则,通过迭代从场值中用多项式逼近的方法直接求解视电阻率,并提出针对水平电偶源电场的全新的全区视电阻率定义方式和概念;方文藻等[11 ] 将远区视电阻率乘以校正系数,简便快速地得到全区视电阻率;汤井田等[12 ⇓ -14 ] 提出了求取阻抗实部等效电阻率和用电场定义视电阻率定义的方法,计算较为简便且能够较形象地反映地下介质信息;底青云等[15 ⇓ -17 ] 提出了在近区和远区做近似的过渡区三角形法;毛先进等[18 ] 提出水平电偶源的频率域电磁测深全区视电阻率直接算法;佟铁钢等[19 ] 利用迭代法基于电场分量计算了可控源音频大地电磁全区视电阻率;韩自强等[20 ] 利用二分法计算了电性双极性源全区视电阻定义.这些校正方法与全区视电阻率的提出使非远区的畸变得到很大的改善.近年来,何继善[21 ] 提出了广域视电阻率计算方法,并逐渐发展为广域电磁法.广域电磁法在激发方面采用伪随机信号实现多个频率的同时发射与接收,在电阻率计算方面只测量电场或磁场的一个分量来计算全域视电阻率,可以在广大的测区范围进行观测.通过广域视电阻率定义,电磁测深的探测区域由远区推广到了中区,并有望实现近源探测[22 ] . ...
基于牛顿迭代法和遗传算法的CSAMT近场校正
1
2018
... 可控源大地电磁法(CSMT)是在大地电磁基础上发展起来的一种人工源电磁法[1 ] ,由于采用人工场源,克服了大地电磁天然源信号弱、信噪比低的缺点,使该方法在工程勘察、矿产资源勘查以及能源勘查等领域得到应用[2 ⇓ ⇓ ⇓ ⇓ -7 ] .传统的可控源电磁法采用卡尼亚视电阻率进行数据解释,其效果直观,能够良好地反映地下的电性结构,在可控源电磁法解释中发挥了重要作用.但是,卡尼亚电阻率要求在远区进行测量,因为在过渡区进行测量会导致近区视电阻率公式与远区视电阻率公式的近似条件不成立,使计算的视电阻率存在畸变,这使得施工难度大大增加.针对这一问题,国内外许多学者提出了不同的校正方法和不同的视电阻率计算方法:曹昌祺[8 ] 借鉴天然源大地电磁测深,通过CSMT理论曲线与实测曲线的对比,提出由比值法定义视电阻率,改进了波区视电阻率定义方法;Spies等[9 ] 提出基于波阻抗的实部和虚部迭代计算视电阻率的简单方法;殷长春等[10 ] 根据视电阻率定义基本原则,通过迭代从场值中用多项式逼近的方法直接求解视电阻率,并提出针对水平电偶源电场的全新的全区视电阻率定义方式和概念;方文藻等[11 ] 将远区视电阻率乘以校正系数,简便快速地得到全区视电阻率;汤井田等[12 ⇓ -14 ] 提出了求取阻抗实部等效电阻率和用电场定义视电阻率定义的方法,计算较为简便且能够较形象地反映地下介质信息;底青云等[15 ⇓ -17 ] 提出了在近区和远区做近似的过渡区三角形法;毛先进等[18 ] 提出水平电偶源的频率域电磁测深全区视电阻率直接算法;佟铁钢等[19 ] 利用迭代法基于电场分量计算了可控源音频大地电磁全区视电阻率;韩自强等[20 ] 利用二分法计算了电性双极性源全区视电阻定义.这些校正方法与全区视电阻率的提出使非远区的畸变得到很大的改善.近年来,何继善[21 ] 提出了广域视电阻率计算方法,并逐渐发展为广域电磁法.广域电磁法在激发方面采用伪随机信号实现多个频率的同时发射与接收,在电阻率计算方面只测量电场或磁场的一个分量来计算全域视电阻率,可以在广大的测区范围进行观测.通过广域视电阻率定义,电磁测深的探测区域由远区推广到了中区,并有望实现近源探测[22 ] . ...
水平电偶源频率域电磁测深全区视电阻率的直接算法
1
1996
... 可控源大地电磁法(CSMT)是在大地电磁基础上发展起来的一种人工源电磁法[1 ] ,由于采用人工场源,克服了大地电磁天然源信号弱、信噪比低的缺点,使该方法在工程勘察、矿产资源勘查以及能源勘查等领域得到应用[2 ⇓ ⇓ ⇓ ⇓ -7 ] .传统的可控源电磁法采用卡尼亚视电阻率进行数据解释,其效果直观,能够良好地反映地下的电性结构,在可控源电磁法解释中发挥了重要作用.但是,卡尼亚电阻率要求在远区进行测量,因为在过渡区进行测量会导致近区视电阻率公式与远区视电阻率公式的近似条件不成立,使计算的视电阻率存在畸变,这使得施工难度大大增加.针对这一问题,国内外许多学者提出了不同的校正方法和不同的视电阻率计算方法:曹昌祺[8 ] 借鉴天然源大地电磁测深,通过CSMT理论曲线与实测曲线的对比,提出由比值法定义视电阻率,改进了波区视电阻率定义方法;Spies等[9 ] 提出基于波阻抗的实部和虚部迭代计算视电阻率的简单方法;殷长春等[10 ] 根据视电阻率定义基本原则,通过迭代从场值中用多项式逼近的方法直接求解视电阻率,并提出针对水平电偶源电场的全新的全区视电阻率定义方式和概念;方文藻等[11 ] 将远区视电阻率乘以校正系数,简便快速地得到全区视电阻率;汤井田等[12 ⇓ -14 ] 提出了求取阻抗实部等效电阻率和用电场定义视电阻率定义的方法,计算较为简便且能够较形象地反映地下介质信息;底青云等[15 ⇓ -17 ] 提出了在近区和远区做近似的过渡区三角形法;毛先进等[18 ] 提出水平电偶源的频率域电磁测深全区视电阻率直接算法;佟铁钢等[19 ] 利用迭代法基于电场分量计算了可控源音频大地电磁全区视电阻率;韩自强等[20 ] 利用二分法计算了电性双极性源全区视电阻定义.这些校正方法与全区视电阻率的提出使非远区的畸变得到很大的改善.近年来,何继善[21 ] 提出了广域视电阻率计算方法,并逐渐发展为广域电磁法.广域电磁法在激发方面采用伪随机信号实现多个频率的同时发射与接收,在电阻率计算方面只测量电场或磁场的一个分量来计算全域视电阻率,可以在广大的测区范围进行观测.通过广域视电阻率定义,电磁测深的探测区域由远区推广到了中区,并有望实现近源探测[22 ] . ...
水平电偶源频率域电磁测深全区视电阻率的直接算法
1
1996
... 可控源大地电磁法(CSMT)是在大地电磁基础上发展起来的一种人工源电磁法[1 ] ,由于采用人工场源,克服了大地电磁天然源信号弱、信噪比低的缺点,使该方法在工程勘察、矿产资源勘查以及能源勘查等领域得到应用[2 ⇓ ⇓ ⇓ ⇓ -7 ] .传统的可控源电磁法采用卡尼亚视电阻率进行数据解释,其效果直观,能够良好地反映地下的电性结构,在可控源电磁法解释中发挥了重要作用.但是,卡尼亚电阻率要求在远区进行测量,因为在过渡区进行测量会导致近区视电阻率公式与远区视电阻率公式的近似条件不成立,使计算的视电阻率存在畸变,这使得施工难度大大增加.针对这一问题,国内外许多学者提出了不同的校正方法和不同的视电阻率计算方法:曹昌祺[8 ] 借鉴天然源大地电磁测深,通过CSMT理论曲线与实测曲线的对比,提出由比值法定义视电阻率,改进了波区视电阻率定义方法;Spies等[9 ] 提出基于波阻抗的实部和虚部迭代计算视电阻率的简单方法;殷长春等[10 ] 根据视电阻率定义基本原则,通过迭代从场值中用多项式逼近的方法直接求解视电阻率,并提出针对水平电偶源电场的全新的全区视电阻率定义方式和概念;方文藻等[11 ] 将远区视电阻率乘以校正系数,简便快速地得到全区视电阻率;汤井田等[12 ⇓ -14 ] 提出了求取阻抗实部等效电阻率和用电场定义视电阻率定义的方法,计算较为简便且能够较形象地反映地下介质信息;底青云等[15 ⇓ -17 ] 提出了在近区和远区做近似的过渡区三角形法;毛先进等[18 ] 提出水平电偶源的频率域电磁测深全区视电阻率直接算法;佟铁钢等[19 ] 利用迭代法基于电场分量计算了可控源音频大地电磁全区视电阻率;韩自强等[20 ] 利用二分法计算了电性双极性源全区视电阻定义.这些校正方法与全区视电阻率的提出使非远区的畸变得到很大的改善.近年来,何继善[21 ] 提出了广域视电阻率计算方法,并逐渐发展为广域电磁法.广域电磁法在激发方面采用伪随机信号实现多个频率的同时发射与接收,在电阻率计算方面只测量电场或磁场的一个分量来计算全域视电阻率,可以在广大的测区范围进行观测.通过广域视电阻率定义,电磁测深的探测区域由远区推广到了中区,并有望实现近源探测[22 ] . ...
一种新型CSAMT观测参数的计算方法
1
2009
... 可控源大地电磁法(CSMT)是在大地电磁基础上发展起来的一种人工源电磁法[1 ] ,由于采用人工场源,克服了大地电磁天然源信号弱、信噪比低的缺点,使该方法在工程勘察、矿产资源勘查以及能源勘查等领域得到应用[2 ⇓ ⇓ ⇓ ⇓ -7 ] .传统的可控源电磁法采用卡尼亚视电阻率进行数据解释,其效果直观,能够良好地反映地下的电性结构,在可控源电磁法解释中发挥了重要作用.但是,卡尼亚电阻率要求在远区进行测量,因为在过渡区进行测量会导致近区视电阻率公式与远区视电阻率公式的近似条件不成立,使计算的视电阻率存在畸变,这使得施工难度大大增加.针对这一问题,国内外许多学者提出了不同的校正方法和不同的视电阻率计算方法:曹昌祺[8 ] 借鉴天然源大地电磁测深,通过CSMT理论曲线与实测曲线的对比,提出由比值法定义视电阻率,改进了波区视电阻率定义方法;Spies等[9 ] 提出基于波阻抗的实部和虚部迭代计算视电阻率的简单方法;殷长春等[10 ] 根据视电阻率定义基本原则,通过迭代从场值中用多项式逼近的方法直接求解视电阻率,并提出针对水平电偶源电场的全新的全区视电阻率定义方式和概念;方文藻等[11 ] 将远区视电阻率乘以校正系数,简便快速地得到全区视电阻率;汤井田等[12 ⇓ -14 ] 提出了求取阻抗实部等效电阻率和用电场定义视电阻率定义的方法,计算较为简便且能够较形象地反映地下介质信息;底青云等[15 ⇓ -17 ] 提出了在近区和远区做近似的过渡区三角形法;毛先进等[18 ] 提出水平电偶源的频率域电磁测深全区视电阻率直接算法;佟铁钢等[19 ] 利用迭代法基于电场分量计算了可控源音频大地电磁全区视电阻率;韩自强等[20 ] 利用二分法计算了电性双极性源全区视电阻定义.这些校正方法与全区视电阻率的提出使非远区的畸变得到很大的改善.近年来,何继善[21 ] 提出了广域视电阻率计算方法,并逐渐发展为广域电磁法.广域电磁法在激发方面采用伪随机信号实现多个频率的同时发射与接收,在电阻率计算方面只测量电场或磁场的一个分量来计算全域视电阻率,可以在广大的测区范围进行观测.通过广域视电阻率定义,电磁测深的探测区域由远区推广到了中区,并有望实现近源探测[22 ] . ...
一种新型CSAMT观测参数的计算方法
1
2009
... 可控源大地电磁法(CSMT)是在大地电磁基础上发展起来的一种人工源电磁法[1 ] ,由于采用人工场源,克服了大地电磁天然源信号弱、信噪比低的缺点,使该方法在工程勘察、矿产资源勘查以及能源勘查等领域得到应用[2 ⇓ ⇓ ⇓ ⇓ -7 ] .传统的可控源电磁法采用卡尼亚视电阻率进行数据解释,其效果直观,能够良好地反映地下的电性结构,在可控源电磁法解释中发挥了重要作用.但是,卡尼亚电阻率要求在远区进行测量,因为在过渡区进行测量会导致近区视电阻率公式与远区视电阻率公式的近似条件不成立,使计算的视电阻率存在畸变,这使得施工难度大大增加.针对这一问题,国内外许多学者提出了不同的校正方法和不同的视电阻率计算方法:曹昌祺[8 ] 借鉴天然源大地电磁测深,通过CSMT理论曲线与实测曲线的对比,提出由比值法定义视电阻率,改进了波区视电阻率定义方法;Spies等[9 ] 提出基于波阻抗的实部和虚部迭代计算视电阻率的简单方法;殷长春等[10 ] 根据视电阻率定义基本原则,通过迭代从场值中用多项式逼近的方法直接求解视电阻率,并提出针对水平电偶源电场的全新的全区视电阻率定义方式和概念;方文藻等[11 ] 将远区视电阻率乘以校正系数,简便快速地得到全区视电阻率;汤井田等[12 ⇓ -14 ] 提出了求取阻抗实部等效电阻率和用电场定义视电阻率定义的方法,计算较为简便且能够较形象地反映地下介质信息;底青云等[15 ⇓ -17 ] 提出了在近区和远区做近似的过渡区三角形法;毛先进等[18 ] 提出水平电偶源的频率域电磁测深全区视电阻率直接算法;佟铁钢等[19 ] 利用迭代法基于电场分量计算了可控源音频大地电磁全区视电阻率;韩自强等[20 ] 利用二分法计算了电性双极性源全区视电阻定义.这些校正方法与全区视电阻率的提出使非远区的畸变得到很大的改善.近年来,何继善[21 ] 提出了广域视电阻率计算方法,并逐渐发展为广域电磁法.广域电磁法在激发方面采用伪随机信号实现多个频率的同时发射与接收,在电阻率计算方面只测量电场或磁场的一个分量来计算全域视电阻率,可以在广大的测区范围进行观测.通过广域视电阻率定义,电磁测深的探测区域由远区推广到了中区,并有望实现近源探测[22 ] . ...
电性双极源频率域全区视电阻率的计算及应用效果研究
1
2016
... 可控源大地电磁法(CSMT)是在大地电磁基础上发展起来的一种人工源电磁法[1 ] ,由于采用人工场源,克服了大地电磁天然源信号弱、信噪比低的缺点,使该方法在工程勘察、矿产资源勘查以及能源勘查等领域得到应用[2 ⇓ ⇓ ⇓ ⇓ -7 ] .传统的可控源电磁法采用卡尼亚视电阻率进行数据解释,其效果直观,能够良好地反映地下的电性结构,在可控源电磁法解释中发挥了重要作用.但是,卡尼亚电阻率要求在远区进行测量,因为在过渡区进行测量会导致近区视电阻率公式与远区视电阻率公式的近似条件不成立,使计算的视电阻率存在畸变,这使得施工难度大大增加.针对这一问题,国内外许多学者提出了不同的校正方法和不同的视电阻率计算方法:曹昌祺[8 ] 借鉴天然源大地电磁测深,通过CSMT理论曲线与实测曲线的对比,提出由比值法定义视电阻率,改进了波区视电阻率定义方法;Spies等[9 ] 提出基于波阻抗的实部和虚部迭代计算视电阻率的简单方法;殷长春等[10 ] 根据视电阻率定义基本原则,通过迭代从场值中用多项式逼近的方法直接求解视电阻率,并提出针对水平电偶源电场的全新的全区视电阻率定义方式和概念;方文藻等[11 ] 将远区视电阻率乘以校正系数,简便快速地得到全区视电阻率;汤井田等[12 ⇓ -14 ] 提出了求取阻抗实部等效电阻率和用电场定义视电阻率定义的方法,计算较为简便且能够较形象地反映地下介质信息;底青云等[15 ⇓ -17 ] 提出了在近区和远区做近似的过渡区三角形法;毛先进等[18 ] 提出水平电偶源的频率域电磁测深全区视电阻率直接算法;佟铁钢等[19 ] 利用迭代法基于电场分量计算了可控源音频大地电磁全区视电阻率;韩自强等[20 ] 利用二分法计算了电性双极性源全区视电阻定义.这些校正方法与全区视电阻率的提出使非远区的畸变得到很大的改善.近年来,何继善[21 ] 提出了广域视电阻率计算方法,并逐渐发展为广域电磁法.广域电磁法在激发方面采用伪随机信号实现多个频率的同时发射与接收,在电阻率计算方面只测量电场或磁场的一个分量来计算全域视电阻率,可以在广大的测区范围进行观测.通过广域视电阻率定义,电磁测深的探测区域由远区推广到了中区,并有望实现近源探测[22 ] . ...
电性双极源频率域全区视电阻率的计算及应用效果研究
1
2016
... 可控源大地电磁法(CSMT)是在大地电磁基础上发展起来的一种人工源电磁法[1 ] ,由于采用人工场源,克服了大地电磁天然源信号弱、信噪比低的缺点,使该方法在工程勘察、矿产资源勘查以及能源勘查等领域得到应用[2 ⇓ ⇓ ⇓ ⇓ -7 ] .传统的可控源电磁法采用卡尼亚视电阻率进行数据解释,其效果直观,能够良好地反映地下的电性结构,在可控源电磁法解释中发挥了重要作用.但是,卡尼亚电阻率要求在远区进行测量,因为在过渡区进行测量会导致近区视电阻率公式与远区视电阻率公式的近似条件不成立,使计算的视电阻率存在畸变,这使得施工难度大大增加.针对这一问题,国内外许多学者提出了不同的校正方法和不同的视电阻率计算方法:曹昌祺[8 ] 借鉴天然源大地电磁测深,通过CSMT理论曲线与实测曲线的对比,提出由比值法定义视电阻率,改进了波区视电阻率定义方法;Spies等[9 ] 提出基于波阻抗的实部和虚部迭代计算视电阻率的简单方法;殷长春等[10 ] 根据视电阻率定义基本原则,通过迭代从场值中用多项式逼近的方法直接求解视电阻率,并提出针对水平电偶源电场的全新的全区视电阻率定义方式和概念;方文藻等[11 ] 将远区视电阻率乘以校正系数,简便快速地得到全区视电阻率;汤井田等[12 ⇓ -14 ] 提出了求取阻抗实部等效电阻率和用电场定义视电阻率定义的方法,计算较为简便且能够较形象地反映地下介质信息;底青云等[15 ⇓ -17 ] 提出了在近区和远区做近似的过渡区三角形法;毛先进等[18 ] 提出水平电偶源的频率域电磁测深全区视电阻率直接算法;佟铁钢等[19 ] 利用迭代法基于电场分量计算了可控源音频大地电磁全区视电阻率;韩自强等[20 ] 利用二分法计算了电性双极性源全区视电阻定义.这些校正方法与全区视电阻率的提出使非远区的畸变得到很大的改善.近年来,何继善[21 ] 提出了广域视电阻率计算方法,并逐渐发展为广域电磁法.广域电磁法在激发方面采用伪随机信号实现多个频率的同时发射与接收,在电阻率计算方面只测量电场或磁场的一个分量来计算全域视电阻率,可以在广大的测区范围进行观测.通过广域视电阻率定义,电磁测深的探测区域由远区推广到了中区,并有望实现近源探测[22 ] . ...
广域电磁测深法研究
1
2010
... 可控源大地电磁法(CSMT)是在大地电磁基础上发展起来的一种人工源电磁法[1 ] ,由于采用人工场源,克服了大地电磁天然源信号弱、信噪比低的缺点,使该方法在工程勘察、矿产资源勘查以及能源勘查等领域得到应用[2 ⇓ ⇓ ⇓ ⇓ -7 ] .传统的可控源电磁法采用卡尼亚视电阻率进行数据解释,其效果直观,能够良好地反映地下的电性结构,在可控源电磁法解释中发挥了重要作用.但是,卡尼亚电阻率要求在远区进行测量,因为在过渡区进行测量会导致近区视电阻率公式与远区视电阻率公式的近似条件不成立,使计算的视电阻率存在畸变,这使得施工难度大大增加.针对这一问题,国内外许多学者提出了不同的校正方法和不同的视电阻率计算方法:曹昌祺[8 ] 借鉴天然源大地电磁测深,通过CSMT理论曲线与实测曲线的对比,提出由比值法定义视电阻率,改进了波区视电阻率定义方法;Spies等[9 ] 提出基于波阻抗的实部和虚部迭代计算视电阻率的简单方法;殷长春等[10 ] 根据视电阻率定义基本原则,通过迭代从场值中用多项式逼近的方法直接求解视电阻率,并提出针对水平电偶源电场的全新的全区视电阻率定义方式和概念;方文藻等[11 ] 将远区视电阻率乘以校正系数,简便快速地得到全区视电阻率;汤井田等[12 ⇓ -14 ] 提出了求取阻抗实部等效电阻率和用电场定义视电阻率定义的方法,计算较为简便且能够较形象地反映地下介质信息;底青云等[15 ⇓ -17 ] 提出了在近区和远区做近似的过渡区三角形法;毛先进等[18 ] 提出水平电偶源的频率域电磁测深全区视电阻率直接算法;佟铁钢等[19 ] 利用迭代法基于电场分量计算了可控源音频大地电磁全区视电阻率;韩自强等[20 ] 利用二分法计算了电性双极性源全区视电阻定义.这些校正方法与全区视电阻率的提出使非远区的畸变得到很大的改善.近年来,何继善[21 ] 提出了广域视电阻率计算方法,并逐渐发展为广域电磁法.广域电磁法在激发方面采用伪随机信号实现多个频率的同时发射与接收,在电阻率计算方面只测量电场或磁场的一个分量来计算全域视电阻率,可以在广大的测区范围进行观测.通过广域视电阻率定义,电磁测深的探测区域由远区推广到了中区,并有望实现近源探测[22 ] . ...
广域电磁测深法研究
1
2010
... 可控源大地电磁法(CSMT)是在大地电磁基础上发展起来的一种人工源电磁法[1 ] ,由于采用人工场源,克服了大地电磁天然源信号弱、信噪比低的缺点,使该方法在工程勘察、矿产资源勘查以及能源勘查等领域得到应用[2 ⇓ ⇓ ⇓ ⇓ -7 ] .传统的可控源电磁法采用卡尼亚视电阻率进行数据解释,其效果直观,能够良好地反映地下的电性结构,在可控源电磁法解释中发挥了重要作用.但是,卡尼亚电阻率要求在远区进行测量,因为在过渡区进行测量会导致近区视电阻率公式与远区视电阻率公式的近似条件不成立,使计算的视电阻率存在畸变,这使得施工难度大大增加.针对这一问题,国内外许多学者提出了不同的校正方法和不同的视电阻率计算方法:曹昌祺[8 ] 借鉴天然源大地电磁测深,通过CSMT理论曲线与实测曲线的对比,提出由比值法定义视电阻率,改进了波区视电阻率定义方法;Spies等[9 ] 提出基于波阻抗的实部和虚部迭代计算视电阻率的简单方法;殷长春等[10 ] 根据视电阻率定义基本原则,通过迭代从场值中用多项式逼近的方法直接求解视电阻率,并提出针对水平电偶源电场的全新的全区视电阻率定义方式和概念;方文藻等[11 ] 将远区视电阻率乘以校正系数,简便快速地得到全区视电阻率;汤井田等[12 ⇓ -14 ] 提出了求取阻抗实部等效电阻率和用电场定义视电阻率定义的方法,计算较为简便且能够较形象地反映地下介质信息;底青云等[15 ⇓ -17 ] 提出了在近区和远区做近似的过渡区三角形法;毛先进等[18 ] 提出水平电偶源的频率域电磁测深全区视电阻率直接算法;佟铁钢等[19 ] 利用迭代法基于电场分量计算了可控源音频大地电磁全区视电阻率;韩自强等[20 ] 利用二分法计算了电性双极性源全区视电阻定义.这些校正方法与全区视电阻率的提出使非远区的畸变得到很大的改善.近年来,何继善[21 ] 提出了广域视电阻率计算方法,并逐渐发展为广域电磁法.广域电磁法在激发方面采用伪随机信号实现多个频率的同时发射与接收,在电阻率计算方面只测量电场或磁场的一个分量来计算全域视电阻率,可以在广大的测区范围进行观测.通过广域视电阻率定义,电磁测深的探测区域由远区推广到了中区,并有望实现近源探测[22 ] . ...
短偏移距电磁探测技术概述
1
2018
... 可控源大地电磁法(CSMT)是在大地电磁基础上发展起来的一种人工源电磁法[1 ] ,由于采用人工场源,克服了大地电磁天然源信号弱、信噪比低的缺点,使该方法在工程勘察、矿产资源勘查以及能源勘查等领域得到应用[2 ⇓ ⇓ ⇓ ⇓ -7 ] .传统的可控源电磁法采用卡尼亚视电阻率进行数据解释,其效果直观,能够良好地反映地下的电性结构,在可控源电磁法解释中发挥了重要作用.但是,卡尼亚电阻率要求在远区进行测量,因为在过渡区进行测量会导致近区视电阻率公式与远区视电阻率公式的近似条件不成立,使计算的视电阻率存在畸变,这使得施工难度大大增加.针对这一问题,国内外许多学者提出了不同的校正方法和不同的视电阻率计算方法:曹昌祺[8 ] 借鉴天然源大地电磁测深,通过CSMT理论曲线与实测曲线的对比,提出由比值法定义视电阻率,改进了波区视电阻率定义方法;Spies等[9 ] 提出基于波阻抗的实部和虚部迭代计算视电阻率的简单方法;殷长春等[10 ] 根据视电阻率定义基本原则,通过迭代从场值中用多项式逼近的方法直接求解视电阻率,并提出针对水平电偶源电场的全新的全区视电阻率定义方式和概念;方文藻等[11 ] 将远区视电阻率乘以校正系数,简便快速地得到全区视电阻率;汤井田等[12 ⇓ -14 ] 提出了求取阻抗实部等效电阻率和用电场定义视电阻率定义的方法,计算较为简便且能够较形象地反映地下介质信息;底青云等[15 ⇓ -17 ] 提出了在近区和远区做近似的过渡区三角形法;毛先进等[18 ] 提出水平电偶源的频率域电磁测深全区视电阻率直接算法;佟铁钢等[19 ] 利用迭代法基于电场分量计算了可控源音频大地电磁全区视电阻率;韩自强等[20 ] 利用二分法计算了电性双极性源全区视电阻定义.这些校正方法与全区视电阻率的提出使非远区的畸变得到很大的改善.近年来,何继善[21 ] 提出了广域视电阻率计算方法,并逐渐发展为广域电磁法.广域电磁法在激发方面采用伪随机信号实现多个频率的同时发射与接收,在电阻率计算方面只测量电场或磁场的一个分量来计算全域视电阻率,可以在广大的测区范围进行观测.通过广域视电阻率定义,电磁测深的探测区域由远区推广到了中区,并有望实现近源探测[22 ] . ...
短偏移距电磁探测技术概述
1
2018
... 可控源大地电磁法(CSMT)是在大地电磁基础上发展起来的一种人工源电磁法[1 ] ,由于采用人工场源,克服了大地电磁天然源信号弱、信噪比低的缺点,使该方法在工程勘察、矿产资源勘查以及能源勘查等领域得到应用[2 ⇓ ⇓ ⇓ ⇓ -7 ] .传统的可控源电磁法采用卡尼亚视电阻率进行数据解释,其效果直观,能够良好地反映地下的电性结构,在可控源电磁法解释中发挥了重要作用.但是,卡尼亚电阻率要求在远区进行测量,因为在过渡区进行测量会导致近区视电阻率公式与远区视电阻率公式的近似条件不成立,使计算的视电阻率存在畸变,这使得施工难度大大增加.针对这一问题,国内外许多学者提出了不同的校正方法和不同的视电阻率计算方法:曹昌祺[8 ] 借鉴天然源大地电磁测深,通过CSMT理论曲线与实测曲线的对比,提出由比值法定义视电阻率,改进了波区视电阻率定义方法;Spies等[9 ] 提出基于波阻抗的实部和虚部迭代计算视电阻率的简单方法;殷长春等[10 ] 根据视电阻率定义基本原则,通过迭代从场值中用多项式逼近的方法直接求解视电阻率,并提出针对水平电偶源电场的全新的全区视电阻率定义方式和概念;方文藻等[11 ] 将远区视电阻率乘以校正系数,简便快速地得到全区视电阻率;汤井田等[12 ⇓ -14 ] 提出了求取阻抗实部等效电阻率和用电场定义视电阻率定义的方法,计算较为简便且能够较形象地反映地下介质信息;底青云等[15 ⇓ -17 ] 提出了在近区和远区做近似的过渡区三角形法;毛先进等[18 ] 提出水平电偶源的频率域电磁测深全区视电阻率直接算法;佟铁钢等[19 ] 利用迭代法基于电场分量计算了可控源音频大地电磁全区视电阻率;韩自强等[20 ] 利用二分法计算了电性双极性源全区视电阻定义.这些校正方法与全区视电阻率的提出使非远区的畸变得到很大的改善.近年来,何继善[21 ] 提出了广域视电阻率计算方法,并逐渐发展为广域电磁法.广域电磁法在激发方面采用伪随机信号实现多个频率的同时发射与接收,在电阻率计算方面只测量电场或磁场的一个分量来计算全域视电阻率,可以在广大的测区范围进行观测.通过广域视电阻率定义,电磁测深的探测区域由远区推广到了中区,并有望实现近源探测[22 ] . ...