基于反函数原理的可控源大地电磁法全场域视电阻率定义 |
| 秦西社, 马劼, 郭文波, 戚志鹏, 曹华科 |
|
Definition of full-field apparent resistivity of controlled source magnetotellurics based on inverse function principle |
| QIN Xi-She, MA Jie, GUO Wen-Bo, QI Zhi-Peng, CAO Hua-Ke |
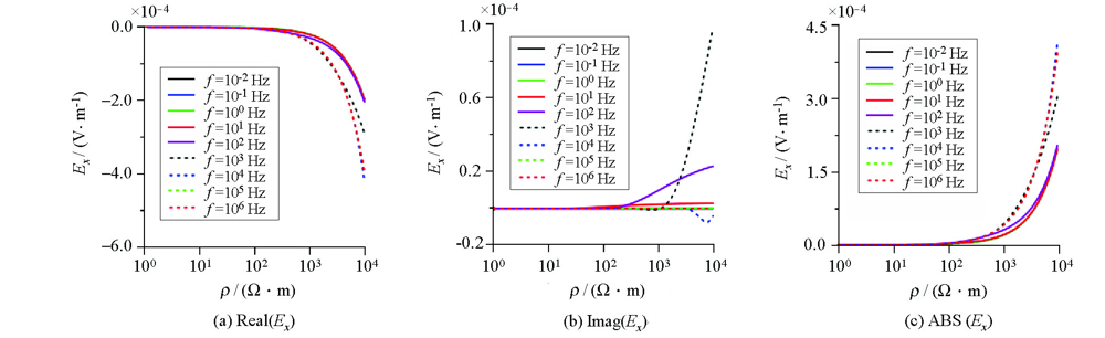
| 图1 频域电磁场Ex分量关于电阻率变换曲线特征 |
| Fig.1 Characteristic of Ex component in frequency domain about resistivity |
|