沙漠区可控震源采集资料“黑三角”强能量噪声压制技术 
					
										
							Technology for suppressing "black triangle" high-energy noise in vibroseis seismic data acquisition in a desert area 
						
																责任编辑: 叶佩
收稿日期: 2020-10-14 修回日期: 2021-11-2
| 基金资助: |  | 
Received: 2020-10-14 Revised: 2021-11-2
作者简介 About authors
苏云(1982-),男,博士,高级工程师,主要从事地震资料处理及地震地质综合解释一体化研究工作。Email: 
				 
				
银额盆地拐子湖凹陷沙漠探区特殊的地形、地貌条件对地震资料的激发和接受产生不利的影响,其表层被巨厚且松散的沙土覆盖,沙丘厚度在50~100 m间。在该区开展可控震源采集时,受可控震源机械特征和近地表结构双重影响,在近道范围内,形成“黑三角”干扰,导致地震记录信噪比低。“黑三角”干扰具有能量强、频带宽、分布广、形态差异大等特征,在共炮点域、共检波点域等单一排列内,无法准确统计其振幅强度,导致压制“黑三角”噪声后残留噪声过多,为此提出先按照共炮—偏移距域进行数据重排,然后进行去噪处理的思路,基于银额盆地拐子湖地区的实际可控震源资料应用,验证了该方法在有效压制“黑三角”的同时,能有效保护近道反射信号,特别是深层弱反射信息,也验证了该方法在提高资料信噪比上的有效性。
										关键词:
																																	 
																											
The special topographic and geomorphic conditions in the desert exploration area of the Guaizihu sag in the Yin'e Basin produce adverse effects on the excitation and reception of seismic data.The surface of the area is covered by hugely thick loose sand,with the thickness of the sand dunes varying in the range of 50~100 m.In the process of vibroseis data acquisition in this area,"black triangle" noise is formed in the near-trace scope due to the dual effects of the mechanical characteristics of the vibroseis and the near-surface structure,resulting in a low signal-to-noise ratio of seismic records.Since the "black triangle" noise features high energy,wide frequency range,wide distribution,and great morphological difference,it is difficult to make accurate statistics of its amplitude (intensity) in a single arrangement of the common shot domain and the common receiver domain,thus resulting in too much residual noise after the suppression of the "black triangle" noise.Given this,this paper proposes a method,in which data rearrangement is firstly conducted based on the shot-offset domain and then denoising is performed.As verified by the application of actual vibroseis data of the Guaizihu area in the Yin'e Basin,this method can effectively protect the near-trace reflection signals(especially the deep weak reflection information) while effectively suppressing the "black triangle" noise and it is effective in improving the signal-to-noise ratio of seismic data.
																																												Keywords:
																				
																							
本文引用格式
							苏云, 游洪文, 李令喜, 孟凡冰, 李敏杰, 唐娟, 谢金丽. 
								SU Yun, YOU Hong-Wen, LI Ling-Xi, MENG Fan-Bing, LI Min-Jie, TANG Juan, XIE Jin-Li. 
0 引言
近几年,宽方位、宽频带和高密度(“两宽一高”)地震勘探技术在复杂油气藏勘探开发中发挥着极其重要作用[1⇓⇓-4],其中宽方位观测可以大幅度提升成像精度,有利于识别低序级断裂;宽频带采集主要是利用具有穿透力强、衰减慢的低频信息来改善深层和基底成像;高密度采集通过炮道密度加大、覆盖次数增加,提升原始采集资料信噪比[5-6]。“两宽一高”地震勘探技术具有投入设备多、观测系统设计要求高、施工组织复杂、数据量大、采用井炮激发时成本高等特点,这也制约了宽方位高密度三维地震勘探技术的实际推广应用。与井炮激发方法相比,低频可控震源具有其独特优势,平均每天可采集多达2万~4万炮[7],在提高采集效率、降低成本的同时,降低了HSE风险[8-9]。随着可控震源技术的不断发展和相关配套技术的不断进步,可控震源技术被国内外各大油田公司所采用,并在沙漠区、戈壁滩、山前带等各种复杂地表应用中取得了良好效果[10-11]。
银额盆地拐子湖凹陷位于我国内蒙古自治区中西部,该区以往采集的二维资料信噪比低、分辨率低,中生界白垩系地层反射界面模糊,无法连续追踪,成像断点不清晰,I级控凹断层、II级控洼断层无法准确识别,深层地震地质条件极差。为了解剖该区域整体构造格架,落实区带构造特征和各级序断裂展布,并开展构造、地层、岩性等类型圈闭刻画,提升勘探成效,在该区域部署实施了可控震源“两宽一高”三维地震采集,采集观测系统纵横比达0.92。
由于工区地表条件属典型的风积沙漠地貌,呈叠置沙丘的复合型横向沙山,地形起伏较大,沙丘相对高差一般在50~100 m,且沙丘地表松散,地表吸收衰减严重,采用炸药震源时能量下传受限。同时与在戈壁区或平原区激发不同,在该区采用可控震源激发时,近道存在明显的强能量干扰,且时间上从上至下影响范围递增,呈现一种“三角”形态,因此称该类噪声为“黑三角”。“黑三角”噪声的存在严重影响中深层弱信号的成像,因此如何有效识别并压制该噪声,并保护近道反射、深层弱反射信号,成为该区提高资料信噪比处理中非常关键的一环。
针对沙漠区可控震源“黑三角”强能量干扰形成的原因,国内外目前没有统一的认识,瞿长青等[12]通过对比沙漠区可控震源与炸药震源记录认为,沙漠区可控震源“黑三角”强能量干扰形成的主要原因是由沙漠区特殊的表层结构所引起。针对“黑三角”噪声,国内外专家学者提出了针对性的去噪方法,如曲英铭等[13]提出了一种基于可控震源谐波干扰的联合压制方法,夏洪瑞等[14]提出了一种小波时空阈值去噪方法,刘喜恒等[15]提出了混合域中值滤波及振幅加权均质滤波方法。这些方法均需要先对强振幅干扰进行统计分析,再进行相应压制或去除,但由于本区“黑三角”噪声能量分布范围广,在常规的单排列上无法准确统计“黑三角”噪声,导致噪声压制后,残留的噪声过多。基于此,本文在对该区“黑三角”噪声特征进行分析的基础上,提出了在炮—偏移距域压制“黑三角”噪声的方法。与常规去噪方法对比分析,验证该方法能有效提高地震资料信噪比、改善资料品质。
1 “黑三角”噪声特征分析
银额盆地拐子湖凹陷位于额济纳旗和阿拉善右旗交界,地处巴丹吉林沙漠腹地。工区属典型风积沙漠地貌,多呈叠置沙丘的复合型横向沙山,沿SW—NE方向分布,地形起伏较大,海拔1 080~1 350 m,沙丘相对高差一般在50~100 m。由于该区特殊的地形、地貌条件,采用井炮地震激发,有效波的吸收衰减严重,信号主频低,分辨率低(图1a)。
图1
基于此,中原油田于2016年采用低频可控震源激发,在该区采集了“两宽一高”地震资料,可控震源的扫描频率为3~84 Hz,采集参数为12炮24线,资料为宽方位采集,横纵比为0.92,覆盖次数156次,面元为12.5 m×12.5 m。通过低频可控震源激发,能够提高激发效果,确保有效能量的下传。但相对于井炮而言,可控震源采集记录上近偏移距内,存在明显的强振幅“黑三角”噪声,且时间上从上至下影响范围递增(图1b红色虚线区域内),且与面波、沙丘鸣震等干扰重叠,严重影响近偏移距的信噪比。
从一炮所有排列记录上来看,“黑三角”噪声分布极广,24个排列中有15个排列能观测到“黑三角”噪声,占总排列的62.5%,同时也可以看出,在一炮所有排列中,“黑三角”噪声能量与偏移距有一定的关系,随着偏移的增大,“黑三角”噪声强度逐渐减弱(图2)。
图2
图3
图3  
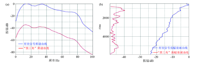
											“黑三角”噪声与有效信号频谱曲线(a)及振幅衰减曲线(b)对比
										
Fig.3  
											Comparison of spectrum curve(a) and amplitude attenuation curve(b) of “black triangle” noise and effective signal
										
图4
图4  
											可控震源“黑三角”分频扫描结果
										
Fig.4  
											Frequency division scanning results of vibroseis “black triangle”
										
同时从沙丘不同部位激发的单炮记录对比发现:“黑三角”噪声与地表高程有较大关联,在沙丘高部位激发的单炮,“黑三角”噪声强度较低部位激发的单炮要大(图5)。
图5
图5  
											沙丘不同部位激发“黑三角”噪声对比
										
Fig.5  
											Comparison of “black triangle”noise in the different parts of sand dune
										
2 “黑三角”噪声压制技术及应用效果
针对“黑三角”噪声,去噪试验时采用分频噪声衰减方法进行,该方法是基于能量统计方法的地表一致性去噪方法,是一种“多道识别、单道去噪”方法,根据衰减系数,采用时、空变方式压制,这种方法具有较高的保真度,是目前压制异常振幅干扰常用的方法[17-18]。该方法具体操作为:在共炮点域、共检波点域、共偏移距域或共中心点域将地震数据分为不同的频段范围,通过求取给定频率段不同时窗内地震样点的振幅强度,预测出强能量的噪声,以地震样点组的平均绝对振幅值作为标定,确定地震采样点的振幅衰减曲线,采用时变的门槛值来有效压制强能量噪声干扰。但通过试验线证明,该区运用分频噪声衰减技术压制“黑三角”噪声,效果并不太理想,去噪后在炮集中深层存在大量的残余“黑三角”噪声(图6b蓝色虚框)。
图6
图6  
											共炮域“黑三角”噪声压制试验
										
Fig.6  
											The test of “black triangle” noise suppression in common shot domain
										
造成该试验不理想的原因在于:由于“黑三角”噪声的强度与偏移距有关,在单一排列域上,统计的样点不能推广到全区,因此也就无法准确地估算出全部炮集上“黑三角”噪声振幅的强度。基于此,本文提出先将共炮点域数据进行重排至共炮—偏移距域,然后在此域应用分频噪声衰减技术压制“黑三角”噪声的技术思路。
图7
图7  
											共炮域(a)与共炮—偏移距域(b)地震道排列示意
										
Fig.7  
											Seismic trace arrangement of common shot area(a) and common shot offset domain(b)
										
图8
图8  
											共炮—偏移距域原始记录(a)及去噪后记录(b)
										
Fig.8  
											Original record(a) and denoised record(b) in common shot-offset domain
										
为了与炮点域去噪方法进行对比,将共炮—偏移距域压制“黑三角”噪声后的记录重新选排到炮点域,从对比来看在共炮—偏移距中压制强振幅“黑三角”噪声效果更佳明显,且压制噪声后单炮能量整体均衡,输出噪声亦无明显有效信号(图9)。
图9
图9  
											可控震源“黑三角”噪声衰减方法对比
										
Fig.9  
											Comparison of noise attenuation methods of vibroseis “black triangle”
										
图10
图10  
											不同域“黑三角”噪声压制后叠加剖面对比
										
Fig.10  
											Comparison of stack profile after “black triangle” noise suppression in different domain
										
同时从白垩系地层资料信噪比对比来看,噪声压制前,原始信噪比极低,“黑三角”噪声压制后(图11),目的层系资料信噪比得到较大幅度提升,高信噪比区域集中在洼陷带及斜坡带,这些高信噪比区域也是该区地层—岩性油气藏勘探重点区带。
图11
图11  
											“黑三角”噪声压制前(a)、后(b)白垩系层段信噪比平面对比
										
Fig.11  
											Comparison of signal to noise ratio of Cretaceous layer before(a) and after(b) of “black triangle” noise suppression
										
从单炮近、中偏移距(572~2 192 m)统计时频谱对比来看(图12),该方法在有效压制“黑三角”的同时,能有效保护近道反射信号,特别是深层弱反射信息,说明在共炮—偏移距域应用分频去噪方法进行噪声压制具有较好的保真性。
图12
图12  
											“黑三角”噪声压制前(a)、后(b)统计时频谱对比
										
Fig.12  
											Comparison of statistical time-frequency spectrum before(a) and after(b) of “black triangle” noise suppression
										
3 结论与认识
可控震源采集技术大大提高了地震资料的施工效率,降低了地震资料采集成本,也促进“两宽一高”地震勘探技术的推广应用。与山前带、黄土塬地区采集不同,沙漠区利用可控震源采集数据中易产生“黑三角”干扰,通过在共炮—偏移距域开展分频噪声技术实践与应用,取得了较好的噪声压制效果,形成以下几个方面的认识:
1)沙漠区可控震源“黑三角”噪声形成原因主要是沙漠地貌特殊的表层结构引起,可控震源在沙丘上激发时,激发的能量在低降速带来回震荡,形成了“黑三角”强能量干扰;
2)“黑三角”噪声具有能量强、频带宽、分布广、形态差异大等特征,在共炮点域、共接收点域等单一排列上利用分频噪声衰减技术不能将该类噪声完全压制,在炮偏移距内“黑三角”噪声分布特征更加清楚,振幅异常统计更加准确,在此域内运用分频噪声衰减技术能去除可控震源三角区内的异常能量干扰,且振幅保真性好,亦不降低纵向分辨率,这也拓宽了地震资料叠前去噪处理的新思路;
3)在沙漠区进行可控震源采集时,如何改善可控震源激发工艺,将“黑三角”强能量干扰对记录影响降到最小,从源头上确保资料信噪比,是沙漠区可控震源地震勘探技术推广应用的关键。
								参考文献 
								
									
									
								
							
							油气勘探中“两宽一高”技术问题的探讨与应用
[J].
Development and application of “two wide and one high” technical problems in oil and gas exploration
[J].
中国石油可控震源高效地震采集技术应用与展望
[J].
Application and outlook of vibroseis acquisition techniques with high efficiency of CNPC
[J].
地震资料采集方式对地震处理的影响研究
[J].
Study on the influence of seismic data acquisition methods on earthquake treatment
[J].
宽频激发技术在苏里格地区采集中的应用
[J].
Application of broadband excitation to seismic data acquisition in Sulige area
[J].
宽方位角地震勘探技术评述
[J].
Summary of wild azimuth seismic exploration technique
[J].
高密度宽方位地震资料处理技术研究进展
[J].
Research progress in high-density and wide-azimuth seismic data processing technology
[J].
基于稀疏约束的地震数据高效采集方法理论研究
[J].
Study on highly efficient seismic data acquisition method and theory based on sparsity constraint
[J].
BSR-2宽频带地震记录仪的研究
[J].
Design of BSR-2 broad band seismic recorder
[J].DOI:10.1002/cjg2.974 URL [本文引用: 1]
陆地可控震源发展综述
[J].
Summary of development of land vibrator
[J].
柴达木盆地顶山地区低频可控震源“两宽一高”地震资料处理关键技术应用研究
[J].
The key technique application research on low frequency vibrator "two-wide and one-high" seismic data processing in Jiandingshan area of Qaidam Basin
[J].
可控震源高效地震采集技术研究及应用
[J].
The research on vibrator high efficient simulation technology and its application
[J].
沙漠区可控震源“黑三角”强能量干扰形成原因研究
[C]//
Research on the cause of strong enengy interference of vibroseis “black triangle” in desert area
[C]//
可控震源相关数据谐波干扰联合压制方法
[J].
Joint suppression of two types of vibroseis noise on correlated data
[J].
小波时空变阈值去噪方法在可控震源资料处理中的应用
[J].
Application of wavelet time-space-varying threshold denoising method in vibroseis seismic data processing
[J].
可控震源三角区噪音压制方法的研究应用
[C]//
Research and application of noise suppression method in vibroseis triangle area
[C]//
辽河坳陷低频可控震源地震采集技术应用
[J].
The application of seismic acquisition technology based on low-frequency vibrator in Liaohe Depression
[J].
叠前去噪技术在鄂尔多斯黄土塬区地震资料的应用
[J].
The application of pre-stack noise attenuation technology for seismic data of Soil Yuan area in Ordos basin
[J].
利用振幅去噪技术提高地震资料分辨率——以柴达木盆地尖顶山地区为例
[J].
Preserved-amplitude denoising for seismic resolution improvement:An example of Jiandingshan Area in Qaidam Basin
[J].
/
| 〈 |  | 〉 | 
 
	


 
										 
										 
										 
										 
										 
										 
										 
										 
										 
										 
										