中图分类号: P631
文献标识码: A
文章编号: 1000-8918(2018)01-0061-07
								责任编辑: 
								
									
收稿日期: 2017-01-12
修回日期: 2017-05-8
网络出版日期: 2018-01-20
版权声明: 2018 物探与化探编辑部 《物探与化探》编辑部 所有
								基金资助: 
								
									
作者简介:
作者简介: 康敏(1991-),女,助理工程师,主要研究方向为电磁法方法技术应用。Email:wsminbao@163.com
展开
摘要
为探明郑州市及其周边地区隐伏构造的分布情况,在郑州北郊老鸦陈断层东侧布设了一条EW向音频大地电磁(AMT)测线,并对野外数据进行了去噪、主轴旋转、阻抗分析、静态校正等处理。用正则化反演理论方法——非线性共轭梯度法(NLCG)进行二维反演,利用与AMT测线接近平行的地震剖面分层结果对模型进行约束反演,降低了反演的多解性以及NLCG对初始模型的依赖性,最终取得了较好的电性结果。结果表明测线下方分为3层,并有一隐伏构造。结合地质、地球物理资料推断解释,此隐伏构造有可能是一条发育在晚新近系的正断层,亦或为第四系地层与新近系地层的不整合接触面。本文的研究工作为进一步探明城市隐伏构造提供了地球物理及技术手段依据。
								关键词:
																																																																																																							
											
Abstract
In order to prevent geological disasters and improve urban planning, it is of great significance to explore the distribution of hidden structures in Zhenzhou and its surrounding areas by audio magnetotellurics (AMT). In this paper, an EW-trending AMT profile was set up on the east of Laoyachen fault in the northern suburb of Zhenzhou. Noise reduction, rotation, impedance analysis and static correction of the original data were processed. The 2D regularization inversion theory method, i.e., nonlinear conjugate gradient method (NLCG) was used. The initial mode was constrained by seismic layering results, which was nearly in parallel with the AMT profile, which reduced the multiple solution and the NLCG's dependence on the initial mode. Good electrical results were obtained, which show that there are three layers and a hidden structure in the profile. At the same time, combined with geological and geophysical data, the authors inferred the explanation. It is inferred that the hidden structure may be a normal fault developed in Late Neogene or an unconformable contact surface between Quaternary and Neogene strata. The results obtained by the authors provide the geophysical and technical basis for further exploration of urban hidden structure.
								Keywords:
																																			
											
郑州市位于华北平原,地下地质构造和城市环境都比较复杂,大面积第四系松散覆盖层的存在使得市区及其周边地区的构造处于隐伏状态,形成的断裂对城市建设具有严重的破坏作用。如何认识郑州地区的构造活动规律及其分布情况,对预防地质灾害、搞好城建规划具有重要意义。老鸦陈断层作为郑州市最重要的隐伏断层之一,自发现以来就受到很多学者的关注[1-5]。目前,对于郑州北郊老鸦陈断层周边区域的研究仅限于地震方法,没有多种地球物理方法共同勘探,并且研究力度还远远不够。这就需要一种既可以和地震方法相互补充又可以在隐伏构造探测方面取得良好效果的地球物理勘探方法对此区域做进一步研究。
音频大地电磁测深(AMT)是以天然电磁场为场源来研究地球内部电性结构的一种重要地球物理手段,其频率范围为0.35~10 400 Hz,最深探测深度可达2~3 km。AMT以其施工方便、装备轻便、高精度等特点,成为探测隐伏构造的有效手段,并已取得良好的应用效果[6-10]。此次利用AMT对郑州北郊老鸦陈断层附近区域的地层分布特征及隐伏构造进行探测,并结合地质、地球物理资料对剖面进行解释,取得了较好的效果。
郑州市位于华北平原区,地表被第四系地层覆盖。地质资料和钻孔资料表明,郑州地区的新生代地层由西南向东北逐渐变厚,在郑州的西南部,新近系(N)的底界埋深仅200~300 m,在东北部,新近系底界埋深超过2 000 m。本次研究区第四系(Q)和新近系(N)地层厚度近1 000 m,新近系下还有古近系(E)、二叠系(P)、石炭系(C)、奥陶系(O)等地层,地层缺失严重。
测区主要受NW向的老鸦陈断层控制(图1),该断层横穿郑州市,是一条倾角较大的正断层,该断层错断了古近系、二叠系、石炭系或奥陶系地层,向下延伸至结晶基底,向上终止于深约800~850 m的新近系地层底界[3]。
测区地势平坦,全部为第四系所覆盖,主要有上更新统(Q3)和全新统(Q4)。Q3主要在黄河南岸的邙山地区出露完整,厚约25 m,以浅黄色粉砂质黏土、黏土质粉砂为主。郑州附近钻孔资料揭露出的上更新统地层为冲积相的粉砂质黏土、粉砂、细砂和砂砾石。Q4在测区内大面积分布,主要地层为残坡积、洪积、冲积亚砂土、亚黏土。东部平原河漫滩堆积为冲积相和风积相的粉砂质黏土、粉砂、细砂组成,局部夹淤泥。
工区为第四系地层广泛覆盖,结合以往区内物性研究资料可知:工区内第四系地层主要岩性为残坡积、洪积、冲积亚砂土、亚黏土,电阻率值约为几到几十欧姆米;新近系地层主要是河流相和滨浅湖相沉积,岩性为泥岩、砂砾岩、泥质粉砂岩,电阻率值较第四系沉积高,约为十几到几十欧姆米之间;古近系地层主要是河流相沉积,岩性为粉砂岩和细砂岩,电阻率值较新近系地层电阻率值更大,最大可达上百欧姆米;二叠系地层主要岩性是砂泥岩,其电阻率值可达数百欧姆米[10-11]。
本次野外作业采用加拿大凤凰公司的V8多功能电法仪进行音频大地电磁测深工作。外业资料采集,采用四分量张量观测方式(Ex、Ey、Hx、Hy),TE、TM模式数据均采集。磁探头采用凤凰公司自带高频探头,不极化电极,电极连线采用屏蔽线缆。开工前对电极进行配对,电极差小于2 mV。本次电极采用“+”字型布设,其中一个点由于地形影响采用“T”字布极方式,平均电极距为50 m;以地磁南北为x轴,东西为y轴,布极采用森林罗盘测定方向,测绳量距离;电极埋入土中15~30 cm,并浇灌饱和盐水,磁棒埋入地下20 cm,方向倾斜小于1°,并用土压实;所有线缆没有打圈,并不随风晃动。本次勘探布设一条测线,9个测点,测线长约900 m,测点间隔100 m。采样频率为0.35~10 400 Hz,采集时间为30 min。
数据预处理采用凤凰公司的SSMT-2000软件,对采集到的时间序列做傅立叶变换,用Robust[13]估算阻抗张量,得到各测点高质量视电阻率、阻抗相位等资料[14]。
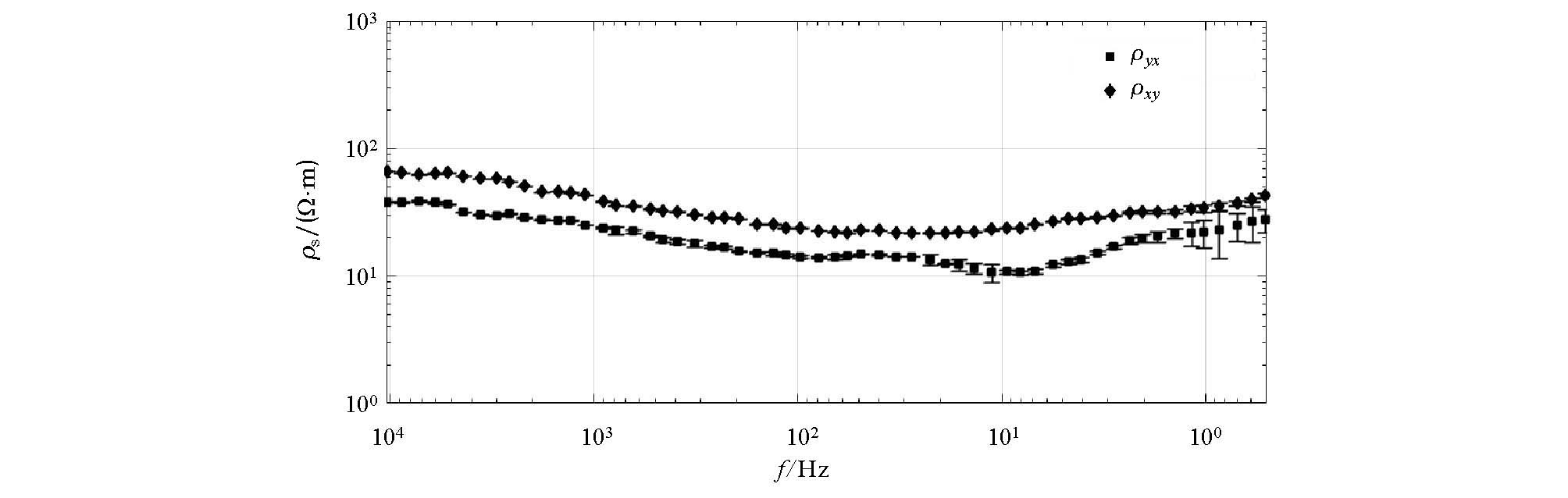
用MT-editor对功率谱进行去噪、维数判别、主轴旋转。在对频率域数据处理中,首先对数据进行阻抗张量分解,通过对每个点的阻抗玫瑰图分析,电性主轴旋转60°比较合适。之后对数据去噪,对于部分测点的高频畸变和“飞点”借助相位资料进行恢复[15],曲线圆滑采用五点二次方法,以保证数据的真实性,处理后的视电阻率曲线如图2所示。
用阻抗张量极坐标图判别地下构造维性[16],图3为部分测点、频点的阻抗张量极坐标图。图中可见,高、中频部分显示地下是二维构造,仅部分低频显示地下三维构造特性,说明利用大地电磁二维反演方法反演是合理的。同时,用阻抗张量极坐标图来识别极化模式[17],经判别ρxy即TE模式。
用平移法对数据进行静态校正[18],图4为剖面的视电阻率—频率拟断面图和阻抗相位—频率拟断面图,由图可见两断面图具有较好的相关性,说明静态改正是合理的。
目前,大地电磁三维反演理论已经成熟,但还没有广泛地应用到实际数据处理中,二维反演方法仍是大地电磁资料处理的主要手段。常用的二维反演方法有很多[19-27],不同的方法有不同的特点,文中选择了能有效降低多解性的正则化二维反演方法[28]——非线性共轭梯度法(NLCG)。
目标函数为
				
式中:λ为正则化因子,V为与误差相关的协方差矩阵,L是与模型参数相关的二维微分矩阵。其迭代过程为
				
上式中步长αk的一维搜索是NLCG的主要计算量之一。精确的一维搜索固然理想,但将导致大量的正演计算。因此,常用的是步长使得目标函数满足一定的准则(典型的如Wolfe准则)即可停止搜索。Rodi等使用了一种修改的高斯—牛顿型一维搜索。
搜索方向通过迭代产生:
				
要满足条件
				
				式中:Ck是预条件因子(或先验条件);βk=
				Rodi等选取Ck=(γkI+λ
NLCG反演稳定,速度较快,但是其反演结果对初始模型较依赖,且具有多解性,为了克服这些问题,对初始模型进行约束。地震方法对于纵向分层的优势是明显的,大地电磁方法相对较差。为了取得良好的分层效果,使用与AMT测线基本平行的地震剖面测量结果做分层约束,地震测线位于AMT测线南约500 m处。取第一层平均厚度为900 m,电阻率为60 Ω·m;第二层平均厚度500 m,电阻率值为100 Ω·m;第三层电阻率值为300 Ω·m,约束模型如图5。
笔者分别对TE极化模式、TM极化模式以及TE&TM联合极化模式数据进行反演,通过对比三者的反演结果,最终选择TE和TM联合极化模式数据反演,经过98次迭代,RMS误差为5.61,得到了较好的结果。由反演结果模型MT响应拟断面与数据模型MT响应拟断面对比(图6)可知,二者相当接近,说明反演过程中数据拟合较好,反演结果可信。
图7为测区AMT反演解释结果。整体来看,该区电阻率值相对较低。纵向上,电阻率值由浅到深逐渐增大,自上而下分为3层。100~-900 m,电阻率值在5~70 Ω·m之间,由地球物理特征推断此层应为第四系和新近系地层。-900 m以下,电阻率值明显变大,地层东倾,与新近系地层呈角度不整合,-900 m以下又分为2层:-900 m~-1 300 m,电阻率值在70~110 Ω·m之间,推测为古近系地层粉砂岩和细砂岩;-1 300 m以下,电阻率值在110~340 Ω·m之间,推测为二叠系的砂泥岩。
横向上,在最上层的第四系和新近系地层中,深度50 m以上,电阻率分布均匀且连续,其值在5~20 Ω·m之间,推测为第四系黏土;-700~-900 m,电阻率分布均匀,水平方向连续,其值在25~70 Ω·m之间,推测为新近系的泥岩和砂砾岩。而在50~-700 m之间,在水平400~500 m处电阻率等值线横向不连续,有明显的NE向大角度电阻率分界面,把此区域分为东西两部分:西测电阻率值和地表一致,推测与地表地层相同为第四系黏土;东侧电阻率分布均匀,其值与-700~-900 m处一致,推测地层也相同,为新近系泥岩和砂砾岩。
对于第四系和新近系地层中的横向不连续分界面,推测解释有两种可能:其一,为发育在新近系的隐伏正断层;其二,是第四系地层与新近系地层的不整合接触面。具体情况仍需要钻孔来验证。若此分界面为断层,推测此梯度带是断层的反应,由电阻率等值线形态以及梯度带两侧电阻率值的分布情况,推断此处为一条正断层、倾向西、产状较陡、倾角约为60°~70°,断层发育在新近系时期,被第四系地层填充覆盖。断层上段点位于第四系地层最浅底界50 m处,下断点位于第四系地层最深底界-580 m处。
为探明郑州城内几条重要断裂对城市建设以及防震减灾事业的影响,中国地震局地球物理勘探中心于2008年在老鸦陈附近开展了地震勘探工作,并取得了较好的成果,对老鸦陈断裂及周边构造有了新的认识。地震反射波叠加剖面结果(图8a)显示新近系地层西薄东厚,其东侧底界大约为990 m,老鸦陈断裂错断了古近系、二叠系、石炭纪、奥陶纪地层,止于新近系地层;断裂东侧古近系、二叠系、石炭纪、奥陶纪地层向东倾,古近系地层于上覆地层为角度不整合接触,平均埋深为1 250 m[3]。本次音频大地电磁测线与地震测线接近平行,位于地震测线北约500 m处(如图1),地震结果对AMT结果起到了很好的约束、验证作用,尤其在纵向分层方面。把AMT的反演结果垂直投影到地震反射波叠加剖面上(图8a中的红色区域),可见二者分层结果接近一致;AMT结果探测到第四系和新近系地层中的横向不连续界面,充分体现了大地电磁方法在横向上具有高分辨率的特点。
1) 在大面积第四系松散覆盖区域获取地下地质构造信息时,音频大地电磁法具有更高效、更高灵敏度、施工更方便的优势,能够直观反映地下介质的电性差异及构造特点,是探测隐伏构造的有效手段。
2) 利用音频大地电磁法成功地探明了测线下方地层分布特征及隐伏构造分布情况,并结合地质、地球物理资料初步划分了地层,并给出了不同地层的埋深及厚度。
3) 利用地震的分层结果来约束大地电磁二维反演,可以有效解决NLCG对初始模型的依赖、大地电磁法纵向分层分辨率不高、地球物理方法多解性等众多问题。
4) 对于本次第四系和新近系地层中的横向不连续分界面的定性解释,还需借助其他地球物理方法或钻孔来确定。
由于本次AMT资料有限,只有一条测线,并不能对测区做更详细的推断。后续可以通过增加测线和加密测点等方式,对测区进行更深一步的研究。
(本文编辑:沈效群)
The authors have declared that no competing interests exist.
| [1] | 郑州市区三条主要断裂的确定及其意义[J]. | 
| [2] | 老鸦陈断层的地质特征及活动性[J]. 
 | 
| [3] | 地震勘探资料揭示郑州老鸦陈断裂特征[J]. | 
| [4] | 超长电磁波技术在城市地热资源勘察中的应用——以郑州市老鸦陈地热田为例[J]. 
 | 
| [5] | 郑州老鸦陈断裂的探测与活动性调查研究[J]. | 
| [6] | 音频大地电磁测深法在电性结构研究中的应用——以郯庐断裂带宿迁段为例[J]. | 
| [7] | 音频大地电磁法对深部隐伏构造的识别与应用:以贵州省松桃县李家湾锰矿为例[J]. 
 | 
| [8] | 音频大地电磁测深法揭示的北京西山霞云岭——长操逆冲断层地下构造特征及其意义[J]. 
 | 
| [9] | 综合物探方法在云南江城隐伏铅锌矿勘察中的应用[J]. 
 | 
| [10] |  | 
| [11] | 华北地台区古近系——新近系岩相古地理特征[J]. | 
| [12] | Audiomagnetotellurie soundings for the diamond exploration[J]. 
 | 
| [13] | On the robust estimation of power spectra, coherences and transfer functions[J]. | 
| [14] | 民丰凹陷大地电磁探测研究[J]. | 
| [15] |  | 
| [16] | 大地电磁资料精细处理和二维反演技术研究(一)——阻抗张量分解与构造维性分析[J]. | 
| [17] | 松辽盆地及其周围典型盆地部分地球物理特征[D]. | 
| [18] | 关于大地电磁静校正问题[J]. | 
| [19] | Occam's inversion:a practical algorithm for generating smooth models from electromagnetic sounding data[J]. | 
| [20] | An efficient data-subspace inversion method for 2-D magnetotelluric data[J]. 
 | 
| [21] | Rapid inversion of two- and three-dimensional magnetotelluric data[J]. 
 | 
| [22] | MT二维和三维连续介质快速反演[J]. 
 | 
| [23] | Sharp boundary inversion of 2D magnetotelluric data[J]. 
 | 
| [24] | Nonlinear conjugate gradients algorithm for 2-D magnetotelluric inversion[J]. 
 | 
| [25] | Enhancing the resovling power of least squares inversion with active constraint balancing[J]. 
 | 
| [26] | 二维大地电磁数据的聚焦反演算法探讨[J]. 
 | 
| [27] | 大地电磁反演方法的数学分类[J]. | 
| [28] | 大地电磁二维反演方法分析对比[J]. | 
 
						| 京ICP备05055290号-3 版权所有 © 2021《物探与化探》编辑部 通讯地址:北京市学院路29号航遥中心 邮编:100083 电话:010-62060192;62060193 E-mail:whtbjb@sina.com , whtbjb@163.com | 
/
| 〈 |  | 〉 |