大深度激电法中电磁耦合效应分析与去除方法 |
| 冀振兴, 秦浩杰, 陈儒军, 王权功 |
|
Analysis and removal of electromagnetic coupling effects in the large-depth induced polarization method |
| JI Zhen-Xing, QIN Hao-Jie, CHEN Ru-Jun, WANG Quan-Gong |
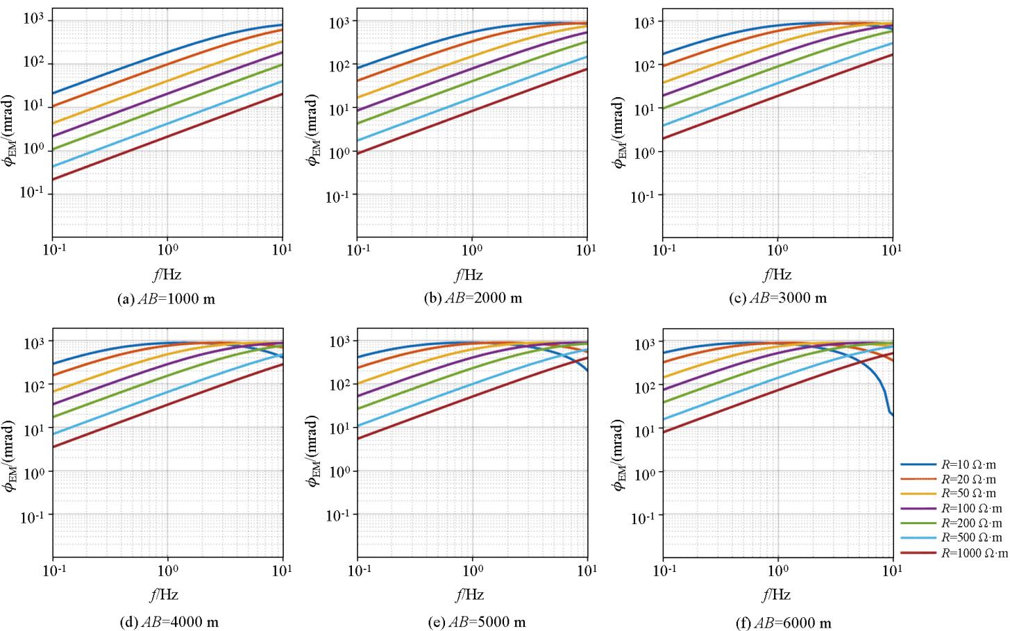
| 图5 斯伦贝谢装置中电磁耦合响应频率特性 |
| Fig.5 The frequency response characteristics of EM coupling in Schlumberger array |
|