大深度激电法中电磁耦合效应分析与去除方法 |
| 冀振兴, 秦浩杰, 陈儒军, 王权功 |
|
Analysis and removal of electromagnetic coupling effects in the large-depth induced polarization method |
| JI Zhen-Xing, QIN Hao-Jie, CHEN Ru-Jun, WANG Quan-Gong |
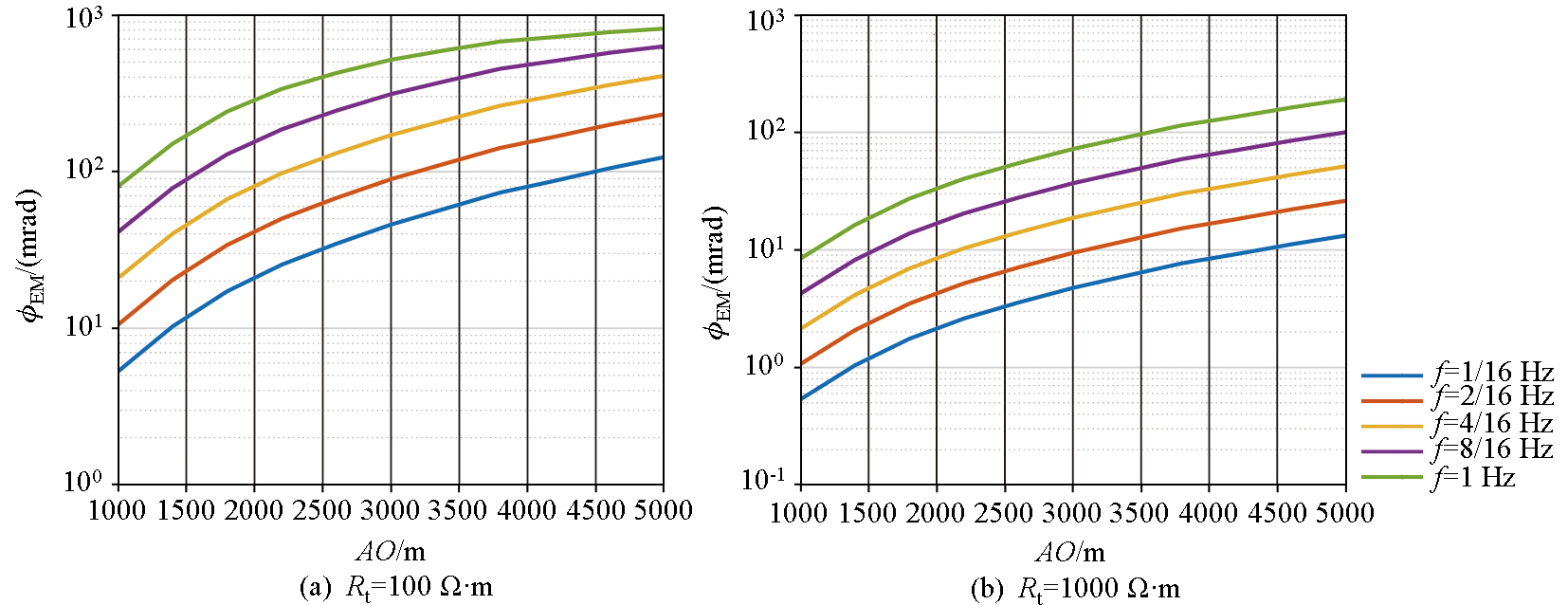
| 图3 三极装置中电磁耦合效应随供电极距的变化规律 |
| Fig.3 The variation of the EM coupling with the spacing of the current-electrodes in the pole-dipole array |
|