径向道变换域叠前Q值估计 |
| 唐传章, 王金宽, 魏涛, 黄新亚, 程万里, 王守东, 李莹 |
|
Estimation of pre-stack Q-values in the radial trace transform domain |
| TANG Chuan-Zhang, WANG Jin-Kuan, WEI Tao, HUANG Xin-Ya, CHENG Wan-Li, WANG Shou-Dong, LI Ying |
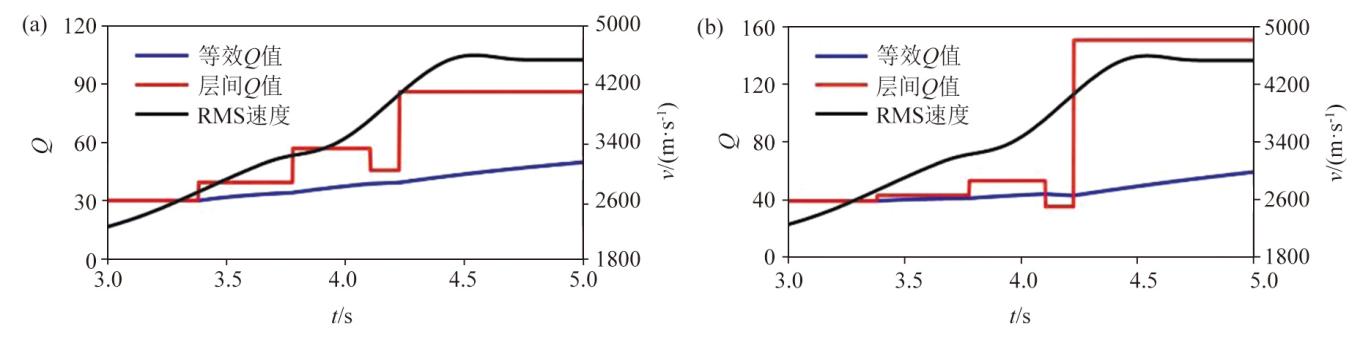
| 图9 利用QVAV_LSADD方法(a)和QVAV方法(b)估计得到的等效Q值和层Q值 |
| Fig.9 Estimated interval-Q and average-Q using the QVAV_LSADD method(a) and QVAV method(b) |
|