径向道变换域叠前Q值估计 |
| 唐传章, 王金宽, 魏涛, 黄新亚, 程万里, 王守东, 李莹 |
|
Estimation of pre-stack Q-values in the radial trace transform domain |
| TANG Chuan-Zhang, WANG Jin-Kuan, WEI Tao, HUANG Xin-Ya, CHENG Wan-Li, WANG Shou-Dong, LI Ying |
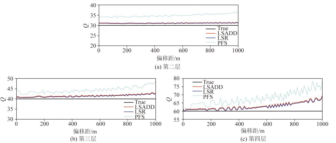
| 图6 不同方法(LSADD、LSR和PFS)估计的Q值随炮检距的变化曲线 |
| Fig.6 Variation curves of Q values with offset estimated by different methods(LSADD, LSR, and PFS) for different layers |
|