基于深度学习的零井源距VSP上、下行波分离方法 |
| 王腾宇, 邓丁丁, 郑多明, 刘洋, 张振, 罗文君 |
|
A deep learning-based method for separating up- and down-going waves in zero-offset vertical seismic profiles |
| WANG Teng-Yu, DENG Ding-Ding, ZHENG Duo-Ming, LIU Yang, ZHANG Zhen, LUO Wen-Jun |
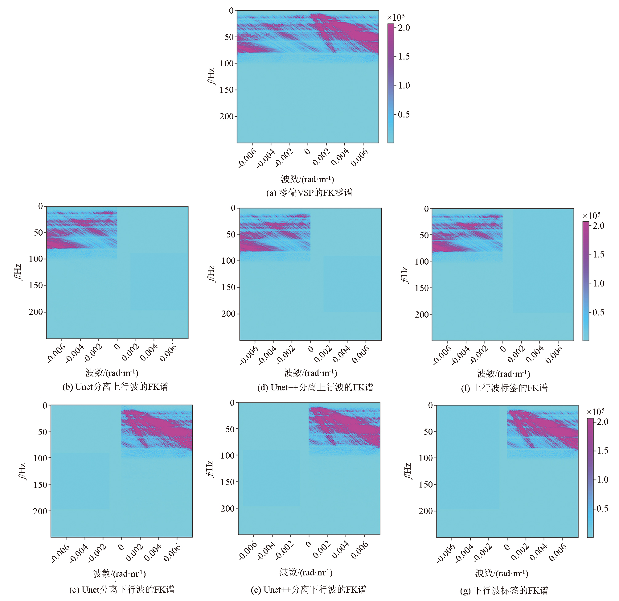
| 图13 不同深度学习模型波场分离结果的FK谱 |
| Fig.13 FK spectra of wave field separation results of different deep learning models |
|