用于氦光泵磁力仪的数字滤波器设计 |
| 郭琦, 邓肖丹, 李学砚, 栾晓东, 李萌, 李冰, 谢民英, 范正一 |
|
Design of a digital filter for optically pumped helium magnetometers |
| GUO Qi, DENG Xiao-Dan, LI Xue-Yan, LUAN Xiao-Dong, LI Meng, LI Bing, XIE Min-Ying, FAN Zheng-Yi |
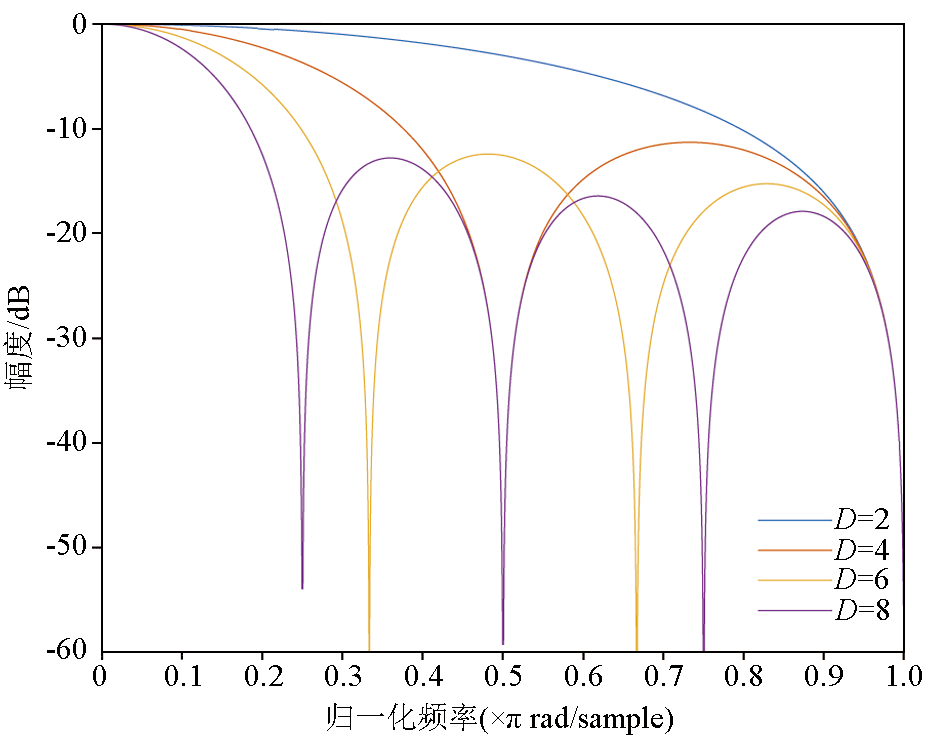
| 图5 不同抽取倍数的单级CIC滤波器幅频特性 |
| Fig.5 Amplitude frequency characteristics of single stage CIC filter with different decimation factor |
|