基于麻雀搜索算法的致密砂岩储层参数非线性反演方法 |
| 曹绍贺, 黄中群, 袁春艳, 马百征, 王群武, 张奎 |
|
Nonlinear inversion of tight sandstone reservoir parameters using the sparrow search algorithm |
| CAO Shao-He, HUANG Zhong-Qun, YUAN Chun-Yan, MA Bai-Zheng, WANG Qun-Wu, ZHANG Kui |
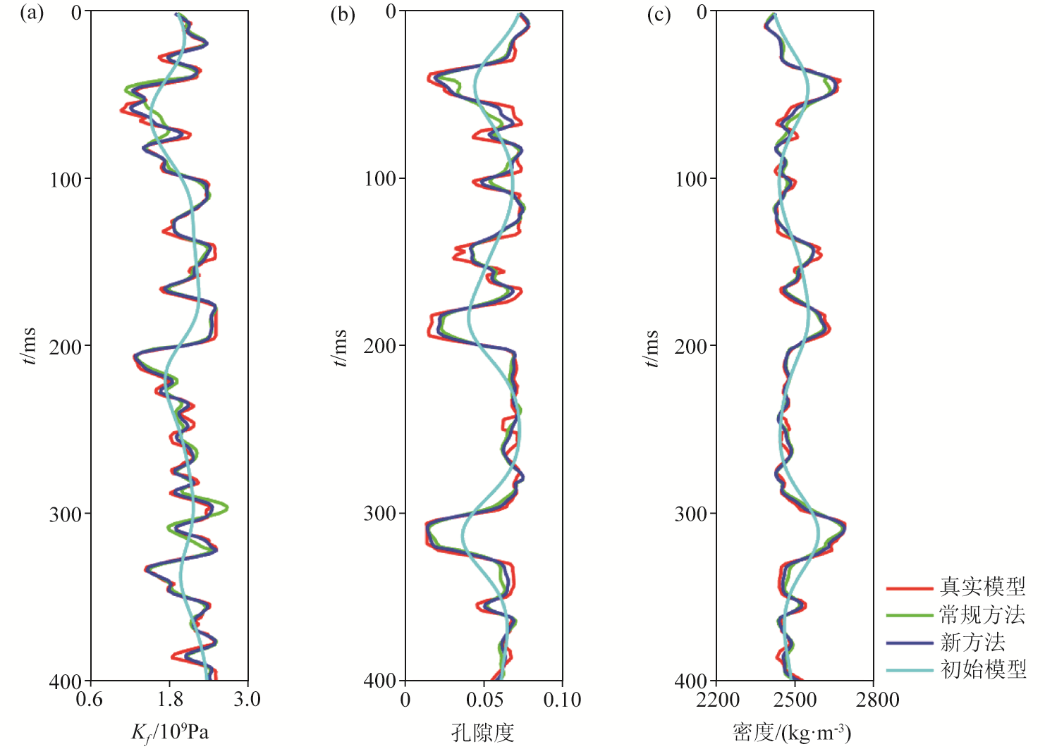
| 图4 无噪声合成地震记录下的反演结果 |
| Fig.4 The inversion results of the synthesized seismogram with noise free |
|