瞬态瑞利面波震源激发特性及多频散谱叠加融合研究 |
| 陈振华, 张升彪, 曾棋艳, 张大洲 |
|
Source excitation characteristics of transient Rayleigh surface waves and the superposition and fusion of multi-dispersion spectra |
| CHEN Zhen-Hua, ZHANG Sheng-Biao, ZENG Qi-Yan, ZHANG Da-Zhou |
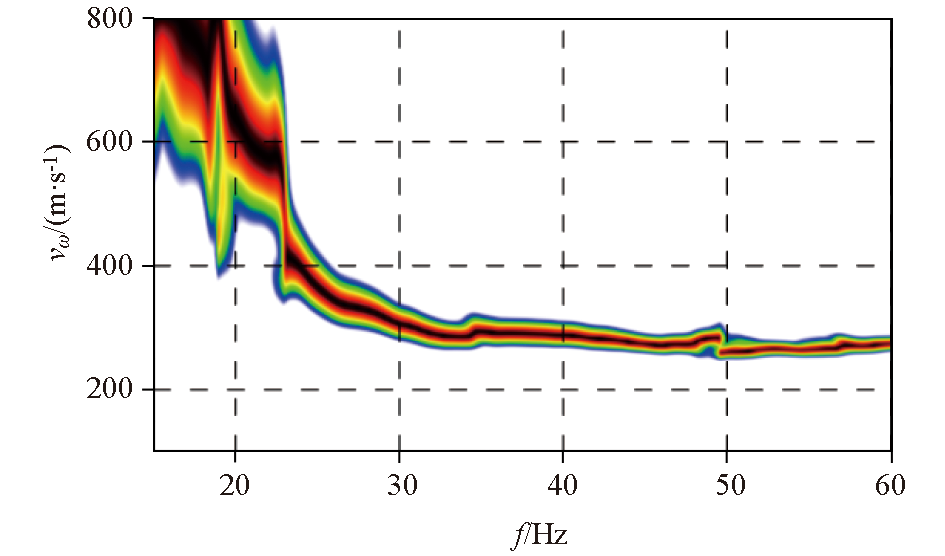
| 图7 不同偏移距频散谱叠加融合频散谱 |
| Fig.7 A dispersion spectrum obtained by merging dispersion spectrum with different offsets |
|