瞬态瑞利面波震源激发特性及多频散谱叠加融合研究 |
| 陈振华, 张升彪, 曾棋艳, 张大洲 |
|
Source excitation characteristics of transient Rayleigh surface waves and the superposition and fusion of multi-dispersion spectra |
| CHEN Zhen-Hua, ZHANG Sheng-Biao, ZENG Qi-Yan, ZHANG Da-Zhou |
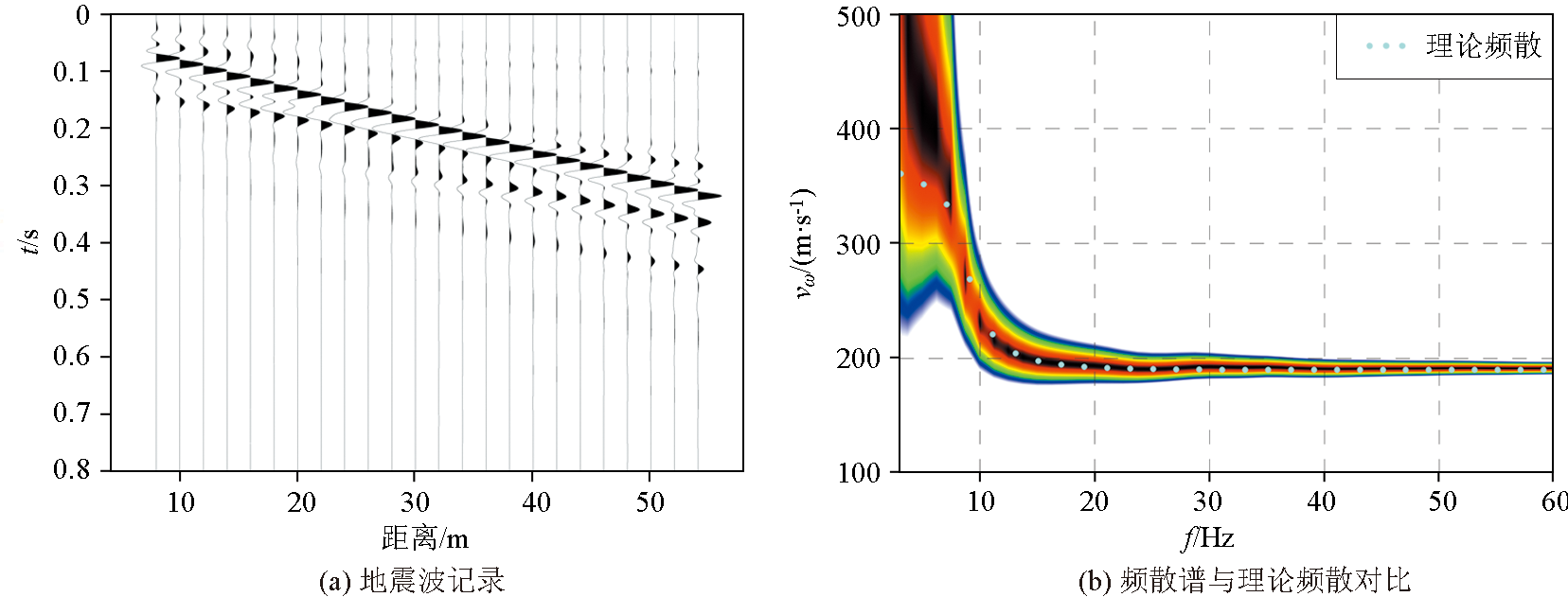
| 图1 两层介质模型正演模拟地震波记录及频散谱 |
| Fig.1 Seismic wave record and frequency spectrum analysis of forward modeling in a two-layer medium model |
|