地震波形指示反演方法在叠置薄砂岩预测中的应用——以松辽盆地南部乾安油田高台子油层为例 |
| 杨光, 王立贤, 胡佳, 刘智军, 张红杰, 王云鹤, 孙龙, 张旭升, 陈彦虎 |
|
Application of the seismic meme inversion method in predicting superimposed thin sandstones: A case study of the Gaotaizi oil layer in the Qian'an oilfield,southern Songliao Basin |
| YANG Guang, WANG Li-Xian, HU Jia, LIU Zhi-Jun, ZHANG Hong-Jie, WANG Yun-He, SUN Long, ZHANG Xu-Sheng, CHEN Yan-Hu |
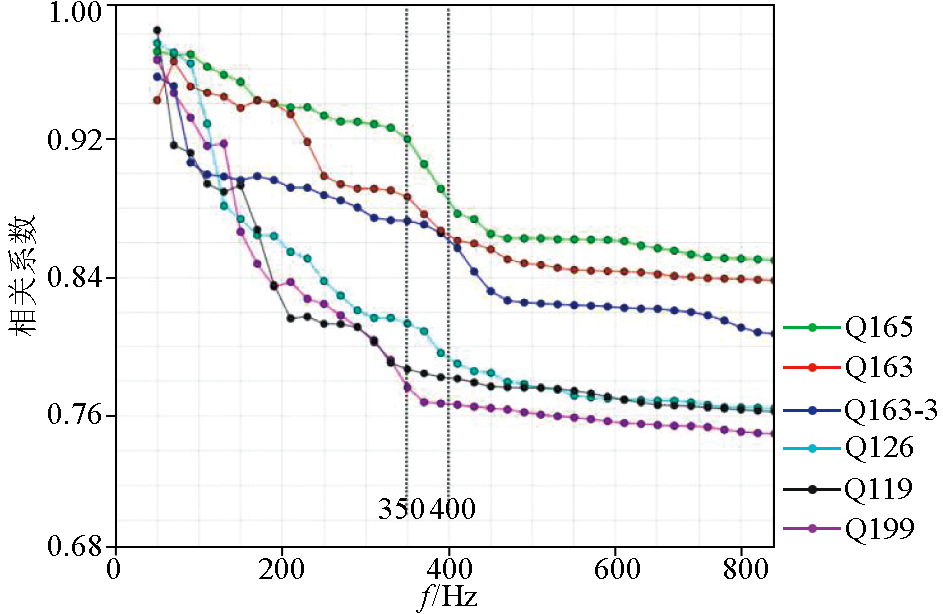
| 图5 最高截止频率分析折线 |
| Fig.5 Line chart for maximum cutoff frequency analysis |
|