频率域地空电磁法磁场三分量全域视电阻率的定义 |
| 罗姣, 郭文波, 刘长生, 张继锋, 王伟, 徐毅, 张鑫鑫, 陈靖 |
|
Definition of global apparent resistivity based on three components of the magnetic field for the interpretation of the ground-airborne frequency-domain electromagnetic data |
| LUO Jiao, GUO Wen-Bo, LIU Chang-Sheng, ZHANG Ji-Feng, WANG Wei, XU Yi, ZHANG Xin-Xin, CHEN Jing |
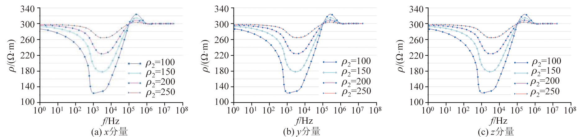
| 图8 H型模型磁场各分量全域视电阻率随频率变化曲线 |
| Fig.8 H model global apparent resistivity curves with frequency for each component of magnetic field |
|