基于非平稳褶积模型的泊松阻抗及裂缝参数叠前地震各向异性高分辨率直接反演方法 |
| 汪舒, 王锐, 杨家义, 赵卫升, 廖建 |
|
High-resolution direct inversion of Poisson's impedance and fracture parameters using prestack seismic anisotropy data based on the non-stationary convolution model |
| WANG Shu, WANG Rui, YANG Jia-Yi, ZHAO Wei-Sheng, LIAO Jian |
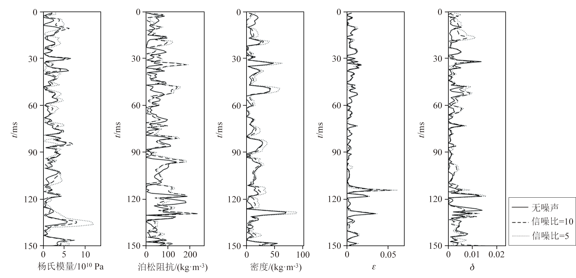
| 图6 不同参数的反演结果与真实模型的误差绝对值对比 |
| Fig.6 Comparison of absolute error between inversion results and actual models with different parameters |
|