邯邢铁矿尾矿中元素的粒度效应和形态分布特征:资源和环境意义 |
| 常浩, 袁兆宪 |
|
Grain size effect and chemical speciation of elements in tailings from the Han-Xing iron deposit: Implications for resource utilization and environmental protection |
| CHANG Hao, YUAN Zhao-Xian |
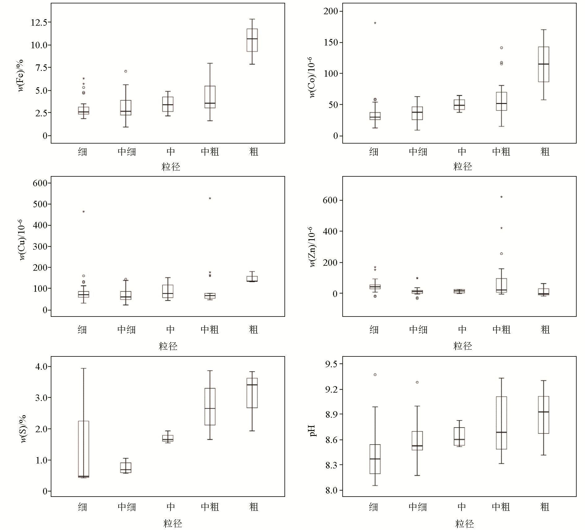
| 图2 不同粒径尾矿中元素含量对比 |
| Fig.2 Comparison of element contents in tailings with different particle sizes |
|