三维地震资料拼接处理及在渤海油田浅层砂体的应用 |
| 罗腾腾, 段新意, 张金辉, 马振 |
|
3D seismic data splicing and its application to shallow sand bodies in the Bohai oilfield |
| LUO Teng-Teng, DUAN Xin-Yi, ZHANG Jin-Hui, MA Zhen |
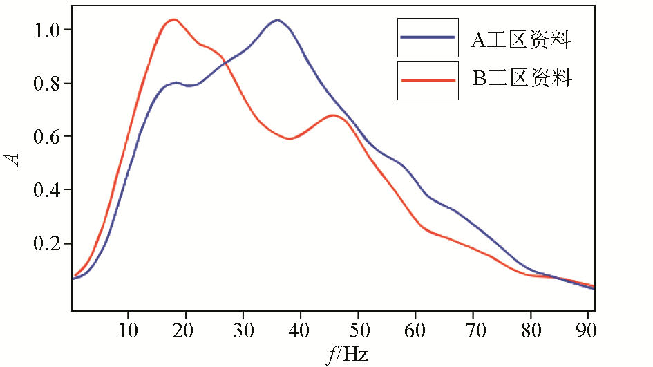
| 图5 拼接工区地震资料频率特征 |
| Fig.5 Frequency characteristics of seismic data in spliced work area |
|