川东南地区凉高山组致密砂岩岩石物理建模 |
| 张郑玉成, 苏建龙 |
|
Petrophysical modeling of tight sandstones of the Lianggaoshan Formation,Southeast Sichuan |
| ZHANG Zheng-Yu-Cheng, SU Jian-Long |
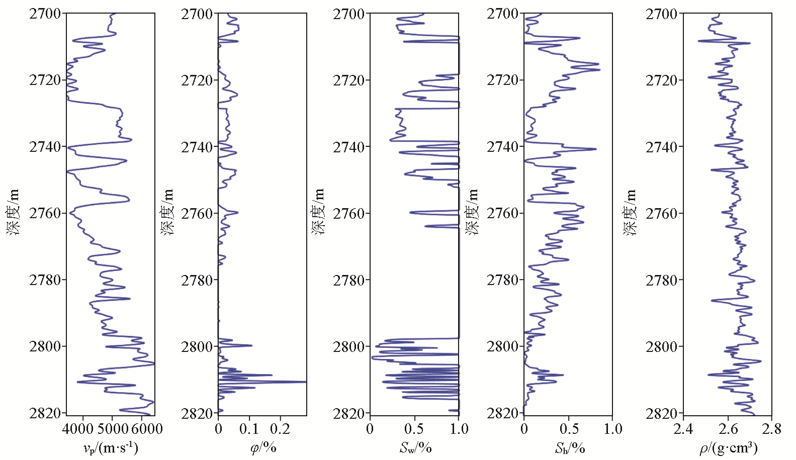
| 图9 岩石物理建模过程中需要B井中的测井数据 |
| Fig.9 The petrophysical modeling process requires the number of logs in well B |
|