川东南地区凉高山组致密砂岩岩石物理建模 |
| 张郑玉成, 苏建龙 |
|
Petrophysical modeling of tight sandstones of the Lianggaoshan Formation,Southeast Sichuan |
| ZHANG Zheng-Yu-Cheng, SU Jian-Long |
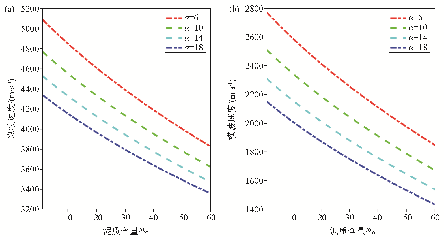
| 图3 纵波速度(a)和横波速度(b)随泥质含量和固结参数α的变化 |
| Fig.3 Variation of longitudinal(a) and transverse(b) wave velocity with mud content and consolidation parameter α |
|