模型法自适应层间多次波压制技术应用研究——以塔里木盆地玉北资料为例
裴云龙, 杨金龙, 周衍, 宋辉

Application of an internal multiples suppression technique combined with modeling method and adaptive matching subtraction:A case study of the Yubei area in the Tarim Basin
PEI Yun-Long, YANG Jin-Long, ZHOU Yan, SONG Hui
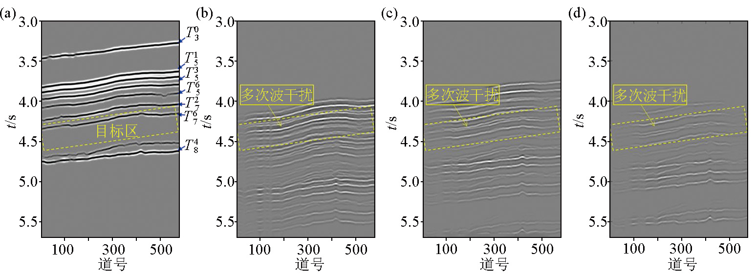
图6 模型法预测层间多次波数据成像剖面
a—次波数据;b— T 3 0产生的多次波;c— T 5 1产生的多次波;d— T 5 3产生的多次波
Fig.6 Imaging profile of predicted internal multiples by model method
a—primary wave data;b— T 3 0multiples generated;c— T 5 1multiples generated;d— T 5 3multiples generated