塔里木盆地北缘绿洲土壤碳储量及其碳密度的分布特征 |
| 阿地来·赛提尼亚孜, 段星星, 何峻岭, 王翠翠, 董越 |
|
Carbon stocks and carbon density distribution of soil in oases on the northern margin of the Tarim Basin |
| Adilai Saitiniyazi, DUAN Xing-Xing, HE Jun-Ling, WANG Cui-Cui, DONG Yue |
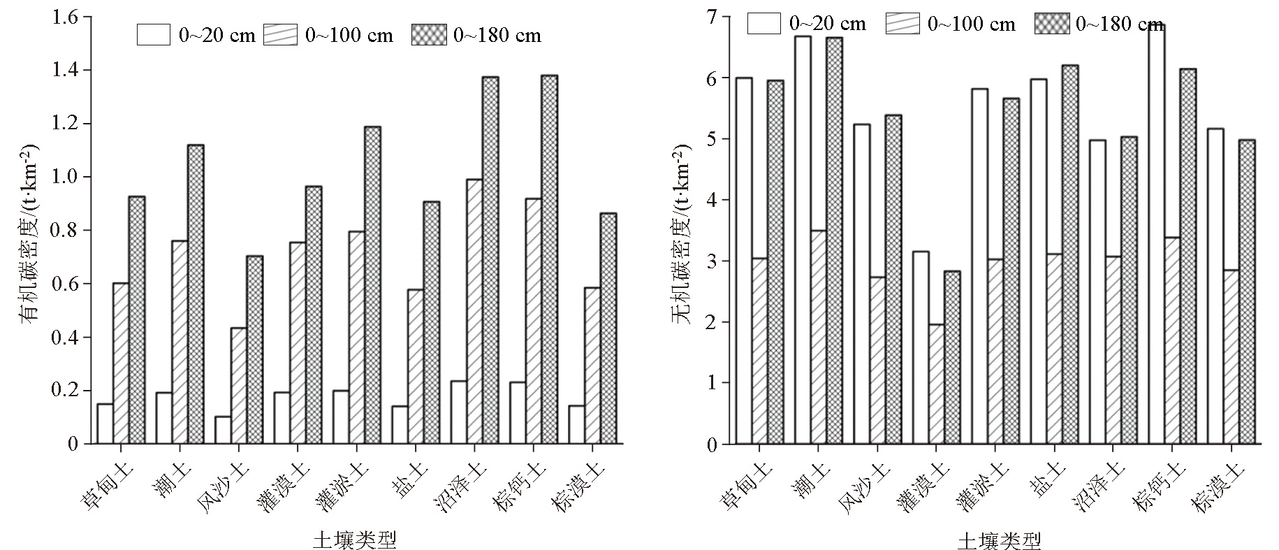
| 图2 研究区各深度土壤有机碳、无机碳密度 |
| Fig.2 Organic and inorganic carbon density of different soil types in study area |
|