考虑孔隙形状的碳酸盐岩储层流体综合识别方法研究及应用——以鄂尔多斯盆地奥陶系马家沟组四段为例 |
| 王永刚, 姚宗惠, 杨骐羽, 李景叶, 宋炜 |
|
A comprehensive fluid identification method for carbonate reservoirs considering pore shapes: A case study of the fourth member of the Ordovician Majiagou Formation,Ordos Basin |
| WANG Yong-Gang, YAO Zong-Hui, YANG Qi-Yu, LI Jing-Ye, SONG Wei |
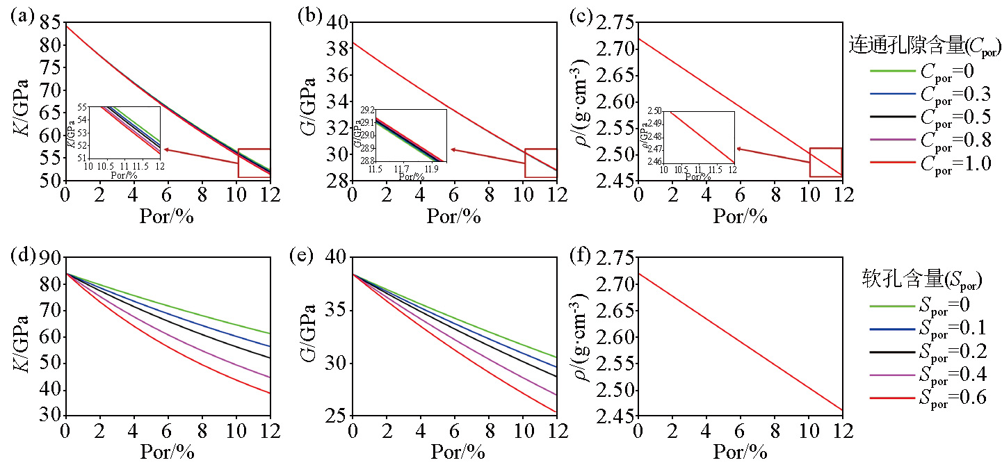
| 图4 基于岩石物理模型的孔隙参数对弹性模量影响分析 a—连通孔隙变化情况下孔隙参数与体积模量关系;b—连通孔隙变化情况下孔隙参数与剪切模量关系;c—连通孔隙变化情况下孔隙参数与密度关系;d—软孔含量变化情况下孔隙参数与体积模量关系;e—软孔含量变化情况下孔隙参数与剪切模量关系;f—软孔含量变化情况下孔隙参数与密度关系 |
| Fig.4 Effect analysis of pore parameters on elastic modulus based on rock physical model a—the relationship between pore parameters and bulk modulus when connected pores change; b—the relationship between pore parameters and shear modulus when connected pores change; c—the relationship between pore parameters and density when connected pores change; d—the relationship between pore parameters and bulk modulus when soft pore content changes; e—the relationship between pore parameters and shear modulus when soft pore content changes; f—the relationship between pore parameters and density when soft pore content changes |
|