典型汞矿区周边耕地土壤重金属来源解析与农作物健康风险评价 |
| 余飞, 王锐, 周皎, 张风雷, 蒋玉莲, 张云逸, 朱世林 |
|
Sources of soil heavy metals and health risk assessment of crops in arable land at the periphery of a typical mercury mining area |
| YU Fei, WANG Rui, ZHOU Jiao, ZHANG Feng-Lei, JIANG Yu-Lian, ZHANG Yun-Yi, ZHU Shi-Lin |
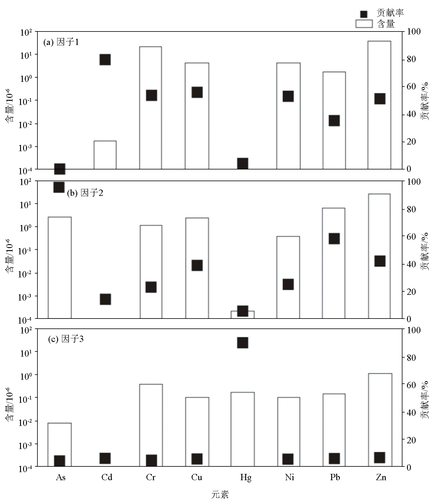
| 图4 研究区土壤重金属污染源成分谱 |
| Fig.4 Factor profiles and contributions of heavy metal pollution sources in the study area |
|