浅山区典型小流域土壤重金属影响因素及来源分析 |
| 史敬涛, 刘俊建, 张军超, 王江玉龙, 姜禹戈, 王末, 李横飞, 杨文号, 颜翔锦 |
|
Analysis of soil heavy metal influencing factors and sources in typical small watersheds in shallow mountainous area |
| SHI Jing-Tao, LIU Jun-Jian, ZHANG Jun-Chao, WANG Jiang-Yu-Long, JIANG Yu-Ge, WANG Mo, LI Heng-Fei, YANG Wen-Hao, YAN Xiang-Jin |
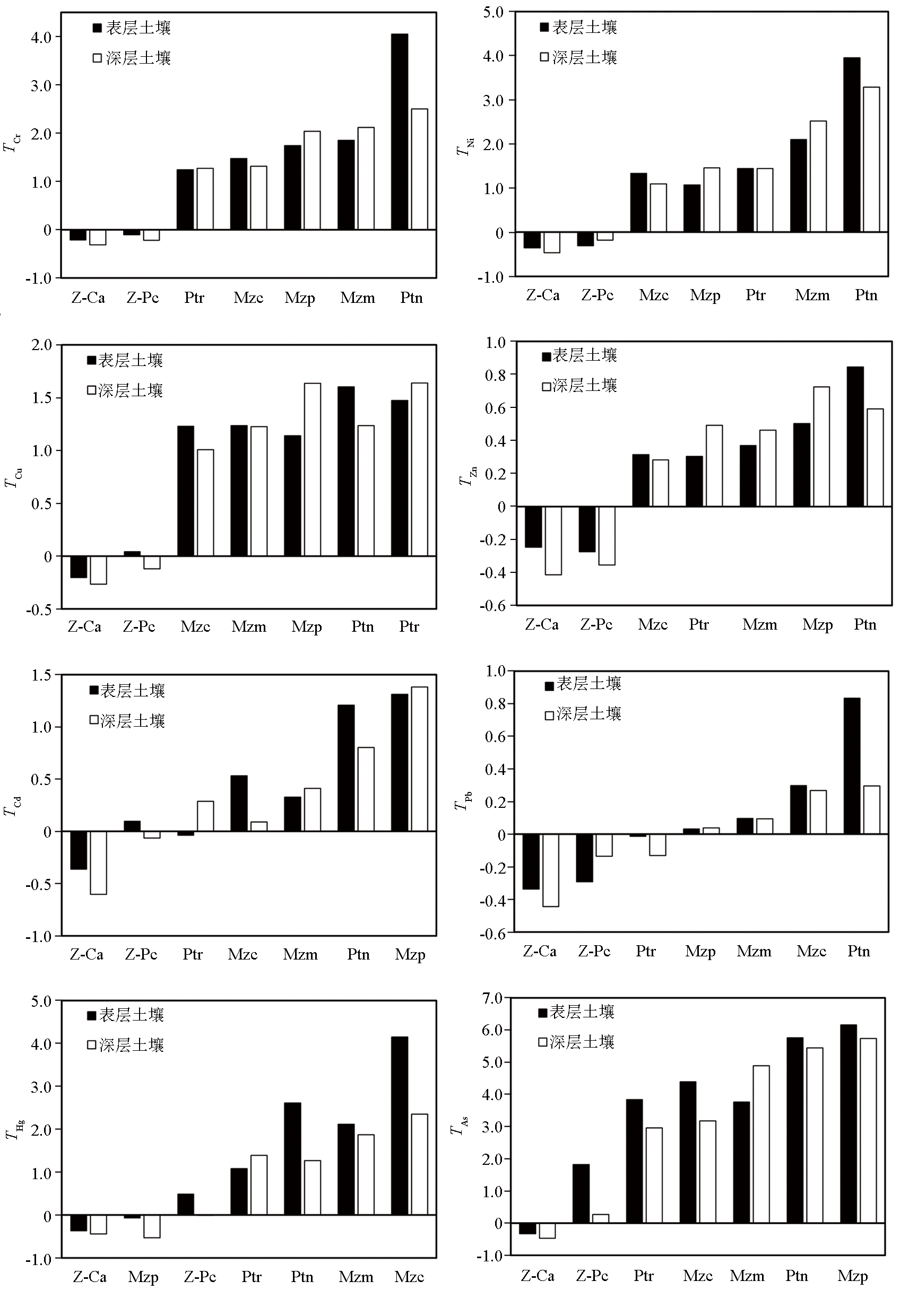
| 图5 表层、深层土壤重金属元素迁移系数 Mzc—中生代碎屑岩;Mzm—中生代中酸性岩;Mzp—中生代火山碎屑岩;Z-Pc—震旦纪-二叠纪碳酸盐岩;Z-Ca—震旦纪-石炭纪泥质碎屑岩;Ptn—前寒武纪基性岩;Ptr—前寒武纪变质岩 |
| Fig.5 Migration coefficient of heavy metal elements in surface and deep soils Mzc—Mesozoic clastic rock; Mzm—Mesozoic acid rock; Mzp—Mesozoic pyroclastic rock; Z-Pc—Sinian-Permian carbonate rocks; Z-Ca—Sinian-Carboniferous argillaceous clastic rock; Ptn—Precambrian base rock; Ptr—Precambrian metamorphic rock |
|