北京市房山区土壤重金属元素分布、富集特征及来源解析 |
| 韩冰, 黄勇, 李欢, 安永龙 |
|
Distributions, enrichment characteristics, and sources of heavy metals in soils in Fangshan District, Beijing |
| HAN Bing, HUANG Yong, LI Huan, AN Yong-Long |
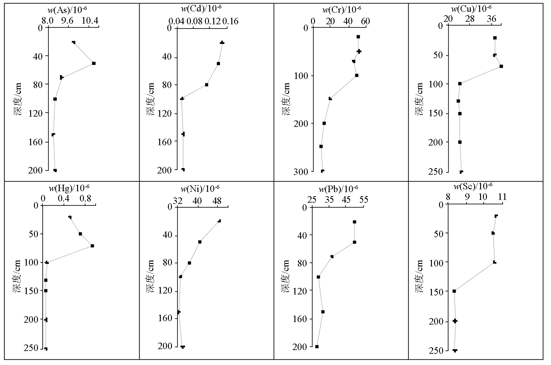
| 图5 研究区垂向剖面元素分布特征 |
| Fig.5 Vertical distribution characteristics of elements in soil profile |
|