北京市房山区土壤重金属元素分布、富集特征及来源解析 |
| 韩冰, 黄勇, 李欢, 安永龙 |
|
Distributions, enrichment characteristics, and sources of heavy metals in soils in Fangshan District, Beijing |
| HAN Bing, HUANG Yong, LI Huan, AN Yong-Long |
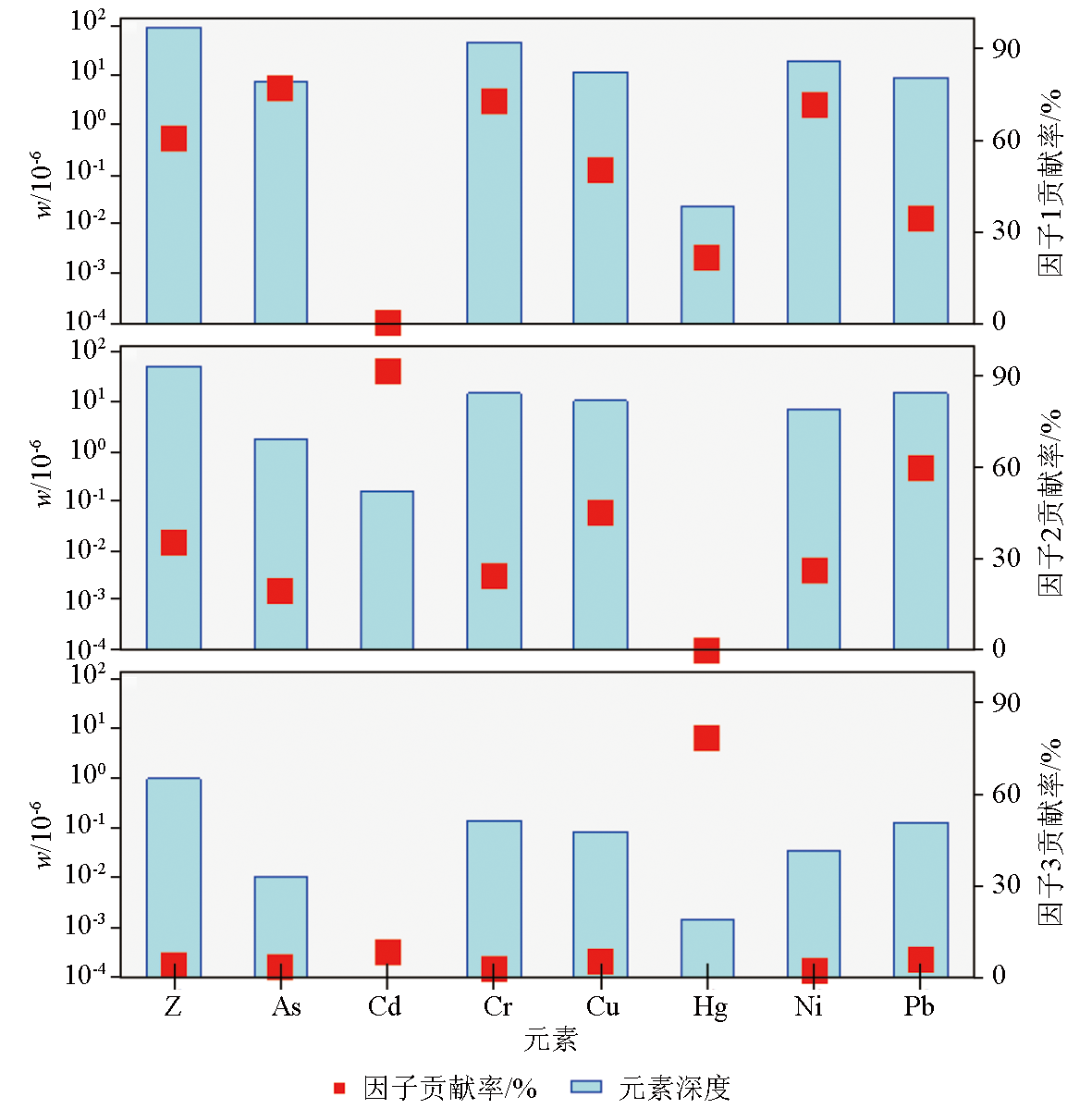
| 图10 重金属 PMF 源解析贡献 |
| Fig.10 Analytical contribution of heavy metal PMF source |
|