基于微动的千米深度勘探关键影响因素
齐娟娟

Critical factors in microtremor-based exploration at a depth of thousands of meters
QI Juan-Juan
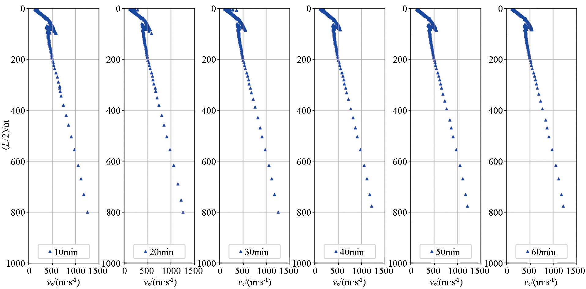
图7 不同采集时长所得频散曲线
Fig.7 Dispersion curves obtained with different acquisition duration