CSRMT正交水平发射源电磁场分布规律研究 |
| 陈兴朋, 王亮, 龙霞, 席振铢, 亓庆新, 薛军平, 戴云峰, 胡子君 |
|
Distribution patterns of the electromagnetic fields of orthogonal horizontal magnetic dipoles as sources in CSRMT |
| CHEN Xing-Peng, WANG Liang, LONG Xia, XI Zhen-Zhu, QI Qing-Xin, XUE Jun-Ping, DAI Yun-Feng, HU Zi-Jun |
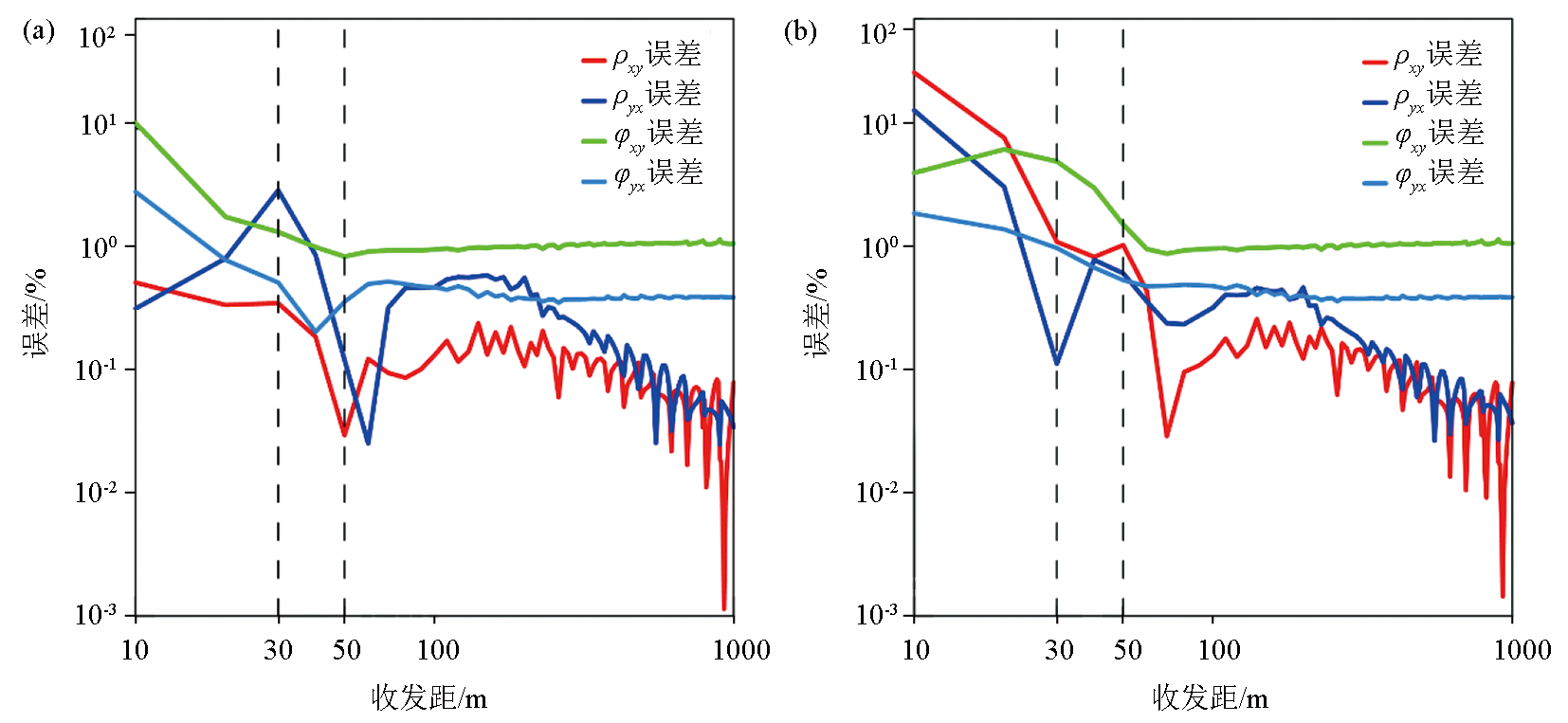
| 图9 不同收发距下正交水平电偶源(a)和磁偶源(b)忽略与包含位移电流的张量视电阻率和阻抗相位误差 |
| Fig.9 The errors of tensor apparent resisvitiy and impedance phase with and without displancement current at differennt separations between transmitter and receiver of the orthogonal horizontal electric dipole source (a) and the orthogonal horizontal magentic dipole source (b) |
|