CSRMT正交水平发射源电磁场分布规律研究 |
| 陈兴朋, 王亮, 龙霞, 席振铢, 亓庆新, 薛军平, 戴云峰, 胡子君 |
|
Distribution patterns of the electromagnetic fields of orthogonal horizontal magnetic dipoles as sources in CSRMT |
| CHEN Xing-Peng, WANG Liang, LONG Xia, XI Zhen-Zhu, QI Qing-Xin, XUE Jun-Ping, DAI Yun-Feng, HU Zi-Jun |
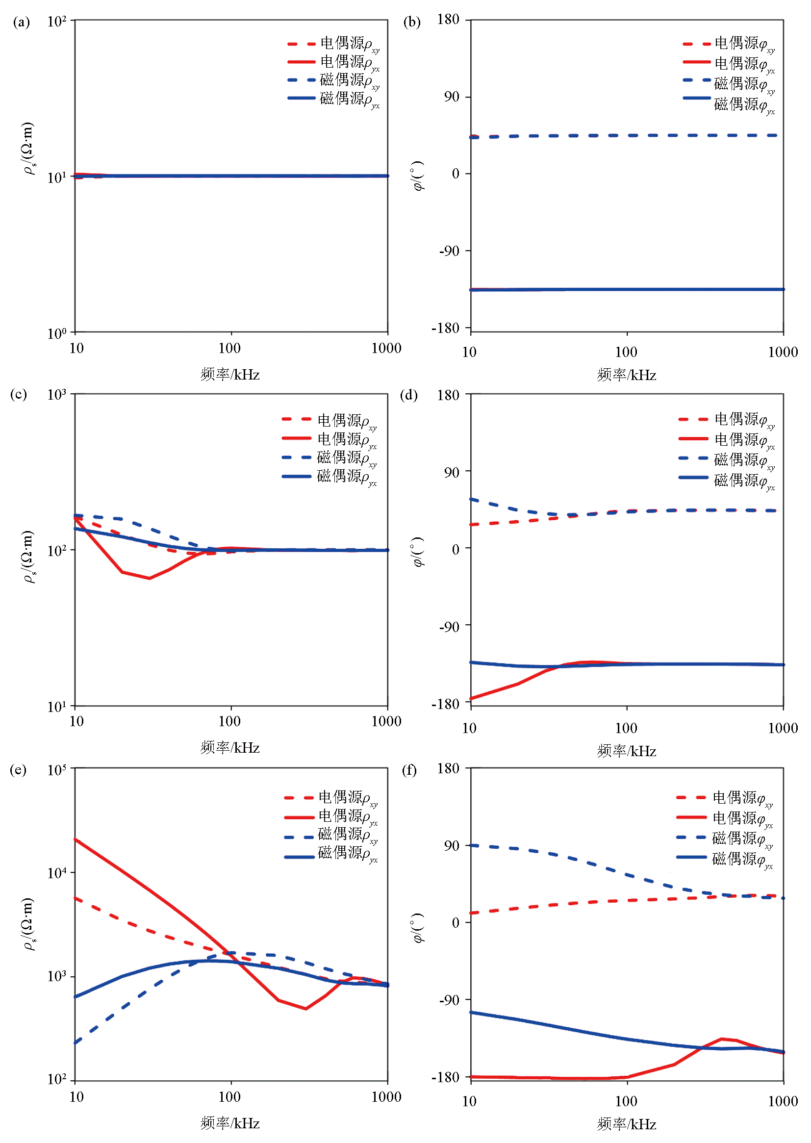
| 图11 不同背景电阻率在正交水平电偶源和磁偶源激励下张量视电阻率和相位随频率的变化 a—背景电阻率为10 Ω·m的视电阻率变化;b—背景电阻率为10 Ω·m的相位变化;c—背景电阻率为100 Ω·m的视电阻率变化;d—背景电阻率为100 Ω·m的相位变化;e—背景电阻率为1 000 Ω·m的视电阻率变化;f—背景电阻率为1 000 Ω·m的相位变化 |
| Fig.11 Variation of tensor apparent resistivity and phase with frequency for different background resistivities under the excitation of the orthogonal horizontal electric and magnetic dipole sources a—the change of tensor apparent resistivity on the background of 10 Ω·m;b—the change of phase on the background of 10 Ω·m;c—the change of tensor apparent resistivity on the background of 100 Ω·m;d—the change of phase on the background of 100 Ω·m;e—the change of tensor apparent resistivity on the background of 1 000 Ω·m;f—the change of phase on the background of 1 000 Ω·m |
|