可控源音频大地电磁法电阻率与阻抗相位双参数综合判定煤矿双层采空区 |
| 秦长春, 牛峥, 李婧 |
|
Determining double-layer goafs in coal mines using CSAMT-derived apparent resistivity and impedance phase |
| QIN Chang-Chun, NIU Zheng, LI Jing |
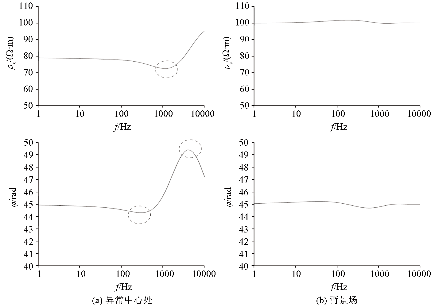
| 图2 单点测深视电阻率、相位曲线 |
| Fig.2 Single point sounding apparent resistivity, phase curve |
|