内蒙古额济纳旗东北部雅干断裂带深部构造特征分析——来自大地电磁的证据 |
| 王文杰, 陈磊, 雷聪聪, 石晓峰, 杨彪, 王文宝, 孙大鹏, 徐浩清 |
|
Deep structural characteristics of the Yagan fault zone in northeastern Ejina Banner, Inner Mongolia: Evidence from magnetotelluric sounding |
| WANG Wen-Jie, CHEN Lei, LEI Cong-Cong, SHI Xiao-Feng, YANG Biao, WANG Wen-Bao, SUN Da-Peng, XU Hao-Qing |
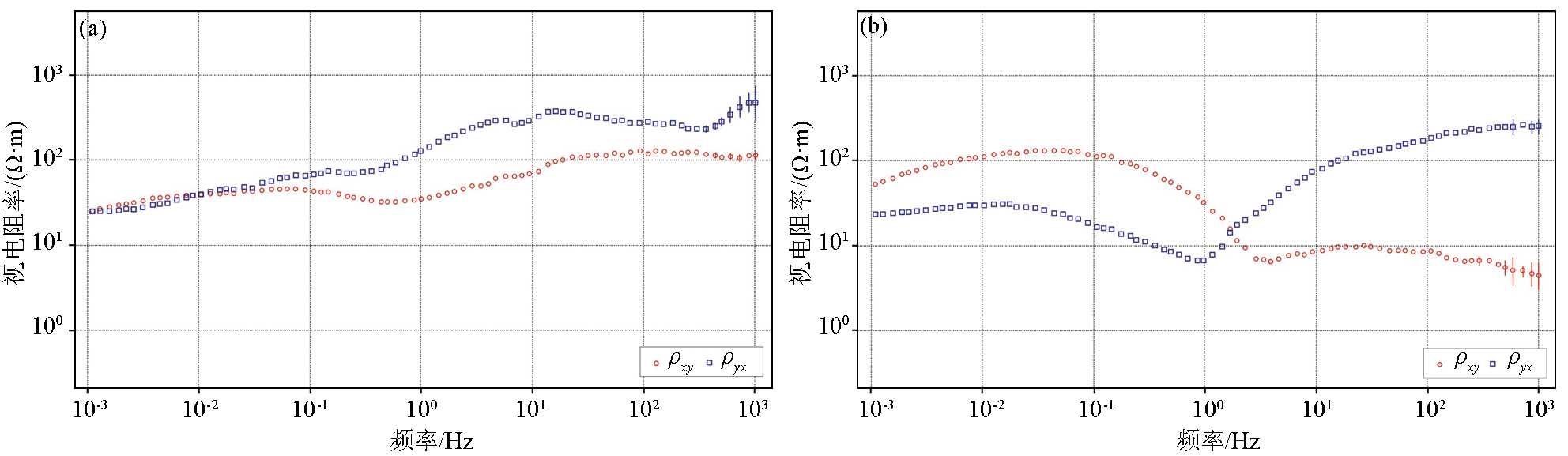
| 图4 典型测点大地电磁观测曲线 a—研究区西北侧岩浆岩体大地电磁观测曲线;b—研究区中部盆地大地电磁观测曲线 |
| Fig.4 Observation curve of typical magnetotelluric station a—magnetotelluric observation curve of magmatic rock mass on the northwest side of the survey area; b—magnetotelluric observation curve of Central Basin area |
|