多源频率域地震勘探技术及应用 |
| 孙红林, 刘铁华, 刘铁, 张占荣, 陈支兴 |
|
Multi-source frequency-domain seismic exploration technique and its application |
| SUN Hong-Lin, LIU Tie-Hua, LIU Tie, ZHANG Zhan-Rong, CHEN Zhi-Xing |
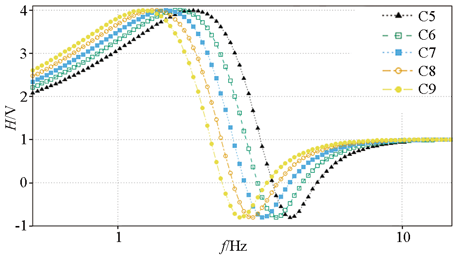
| 图7 不同测点谱比曲线 |
| Fig.7 Spectral ratio curves of different measuring points |
|