皖南伏岭岩体岩石成因及对铷富集的指示 |
| 张军, 陶耐, 齐尚星, 王志强, 笪昊翔 |
|
Petrogenesis and rubidium enrichment indication of the Fuling rock mass in southern Anhui Province |
| ZHANG Jun, TAO Nai, QI Shang-Xing, WANG Zhi-Qiang, DA Hao-Xiang |
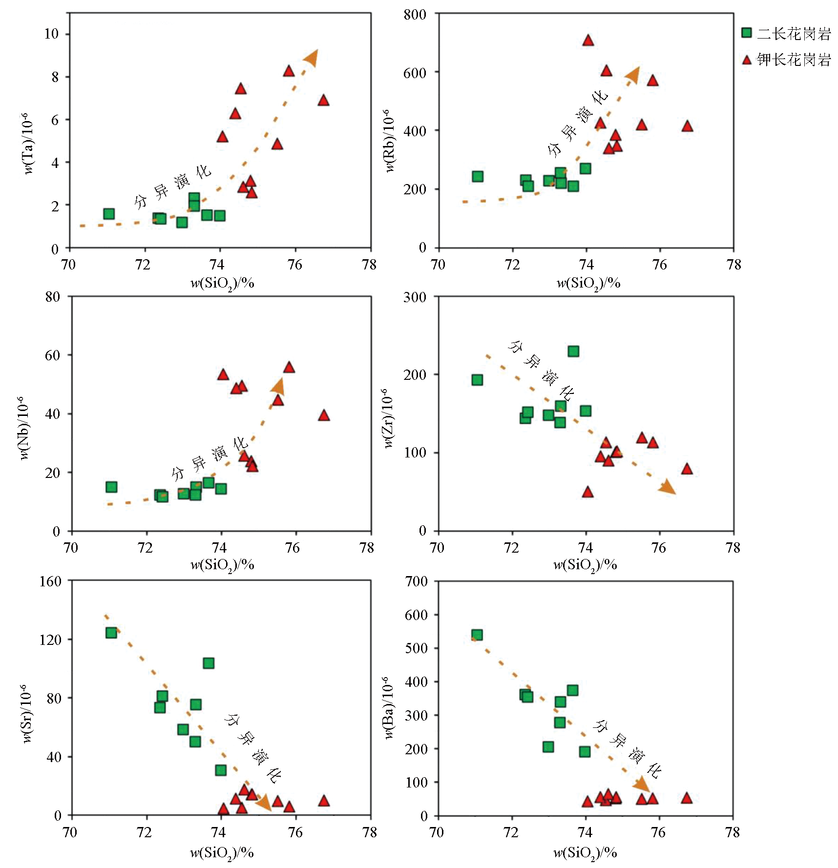
| 图6 伏岭岩体微量元素哈克图解 |
| Fig.6 Harker diagram of trace elements of Fuling pluton |
|