低对比度油层测录井综合识别方法研究与应用——以珠江口盆地陆丰油田为例 |
| 刘伟男, 管耀, 刘道理, 石磊, 宋伟 |
|
Research and application of the log-based comprehensive identification method for low-contrast oil layers:A case study of the Lufeng oilfield in the Pearl River Mouth Basin |
| LIU Wei-Nan, GUAN Yao, LIU Dao-Li, SHI Lei, SONG Wei |
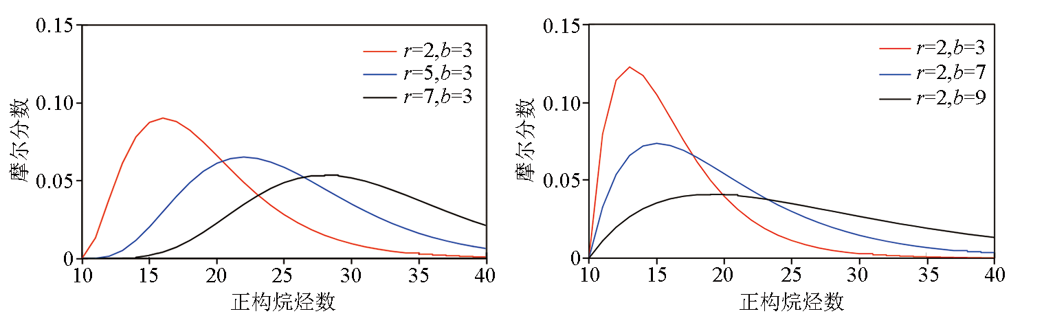
| 图12 不同尺度因子、形态因子伽马分布模拟 |
| Fig.12 The gamma distribution simulation of different scale factors and shape factors |
|